Finite Trigonometric Representation of Legendre Polynomials by Cosine Polynomials - Maple Application Center
Application Center Applications Finite Trigonometric Representation of Legendre Polynomials by Cosine Polynomials

Finite Trigonometric Representation of Legendre Polynomials by Cosine Polynomials

Author
: Konstantine NInidze
Engineering software solutions from Maplesoft
This Application runs in Maple. Don't have Maple? No problem!
 Try Maple free for 15 days!
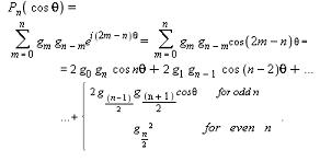
The main goal of present worksheet is to obtain first n terms of finite trigonometric Legendre polynomials by cosine polynomials with n- fold arguments, whereas Maple provides (orthopoly[P]) - Legendre and Jacobi polynomials in the power form.

Application Details

Publish Date: May 29, 2006
Created In: Maple 10
Language: English

More Like This

Lambert W function
0
Classroom Tips and Techniques: Partial Derivatives by Subscripting
Fourier Integrals
Fractal Dimension and Space-Filling Curves (with iterated function systems)
Classroom Tips and Techniques: Best Taylor-Polynomial Approximations
Daubechies Wavelets
Mathematics in the movie "Good Will Hunting"
The VariationalCalculus Package
Fourier Series: Square Wave
Taylor, Legendre, and Bernstein polynomials
0
A Counter-Example on the Density of Integers
0
New Advanced Mathematics Packages in Maple 8 (Updated 4/25/02)