Application Center - Maplesoft

App Preview:

How Fast Does An Advent Candle Burn?

You can switch back to the summary page by clicking here.

Learn about Maple
Download Application




How Fast Does An Advent Candle Burn?

by Jason Schattman
Sir John A. Macdonald Secondary School
Waterloo, Ontario, Canada
jschattman @ rogers.com

Introduction

 

Any kid who's ever been entranced by an advent wreath knows that a tapered advent candle shrinks faster on Sunday night when it's new and slender than on Saturday night when it's old, stubby and caked with melted wax.  

 

How much faster?  As an apropos application of math during this Christmas season, let's derive a formula for the height of a burning candle as a function of time.

 

Assuming the candle has the shape of a cone when it is new and that it drips wax at a constant rate as it burns, we show that the height of the candle shrinks roughly in proportion to the cube root of time.

 

Mathematical model

 

 

We model our partially burned candle as a truncated cone (or frustrum for all you Lateinophiles)

  

  Let  = Height of the candle t hours after it is lit

 

  Let  = Radius of the top of the candle at time t.

 

  Let  = Height of the candle when it is new

 

  Let R = Radius of the bottom of the candle

 

  Let  = Volume of the candle at time t

 

  Let k = the constant rate at which wax is consumed

 

  Distances are in centimeters, times are in hours, and

  volumes are in

 

 

 

 

Note that , and   

 

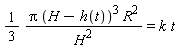
The volume of the frustrum is the volume of the new candle minus the volume that has already burned.  This is given by

(3.1)

We can eliminate  using the following proportion, which holds by similar triangles.

(3.2)

(3.3)

 

Substituting (3.3) into (3.1), we get

(3.4)

 

But since we assumed the candle loses volume at a constant rate k, the second term above is equal to .  

 

Thus, we have the following volume equation, which we can then solve for

 

 

 

Thus, the height of the candle shrinks in proportion to the cube root of time.

 

Let's also examine the rate of shrinking.

 

 =

 

This expression makes intuitive sense.  First of all, it's negative, meaning the height never increases.  More importantly, it predicts that the taller and thinner the candle , the faster its height shrinks with time.  This is what every kid knows.

Visualization

 

Notice that for a fixed height and burn rate, decreasing the diameter makes the graph steeper, meaning the candle's height will shrink more quickly.

 

Initial height (cm)
 

 

Diameter at the bottom (cm)

Burn rate ()

 

updateGraph:=proc()