Application Center - Maplesoft

App Preview:

Calculation of pressure drop in the horizontal pipeline

You can switch back to the summary page by clicking here.

Learn about Maple
Download Application




Calculation of pressure drop in the horizontal pipeline

Author: Valery Ochkov (http://twt.mpei.ac.ru/ochkov/v_ochkov.htm)

Introduction

 

This application calculates the of pressure drop in the horizontal pipeline

Friction coefficient

 

restart; with(ThermophysicalData); with(Units[Standard])

`&lambda;_friction` := proc (Delta, Reynolds) if 0 <= Reynolds and Reynolds < 2300 then 64/Reynolds elif 2300 <= Reynolds and Reynolds < 4000 then NaN elif 4000 <= Reynolds and Reynolds < 10/Delta then .3164/Reynolds^.25 elif 10/Delta <= Reynolds and Reynolds < 560/Delta then .11*(Delta+68/Reynolds)^.25 else .11*Delta^.25 end if end proc

Input Data

 

 

Inner pipe diameter: d := Units:-Standard:-`*`(32, Unit('mm')):

Length of pipe: L := Units:-Standard:-`*`(120, Units:-Standard:-Unit('m')):

Relative roughness of the inner surface of the pipe: Delta := 0.4e-3:

Fluid temperature: t := Units:-Standard:-`*`(80, Units:-Standard:-Unit('degC')):

Units:-Standard:-`*`(Fluid, pressure):

Fluid := water: 

g := Units:-Standard:-`*`(9.81, Units:-Standard:-`*`(Units:-Standard:-Unit('m'), Units:-Standard:-`/`(Units:-Standard:-`^`(Units:-Standard:-Unit('s'), 2)))):

Fluid mass flow:``

q := Units:-Standard:-`*`(4, Units:-Standard:-Unit(Units:-Standard:-`*`('tonne', Units:-Standard:-`/`('h')))):

Calculations

 

Fluid density:

rho := Property(density, pressure = p, temperature = t, Fluid);

972.1929651*Units:-Unit(kg/m^3)

(4.1)

Fluid volume flow:

Q := Units:-Standard:-`*`(q, Units:-Standard:-`/`(rho))

4.114409530*Units:-Unit(m^3/h)

(4.2)

Tube section

F := Units:-Standard:-`*`(Units:-Standard:-`*`(Pi, Units:-Standard:-`^`(d, 2)), Units:-Standard:-`/`(4)); -1; evalf[5](F)

8.042500000*Units:-Unit(cm^2)

(4.3)

Fluid velocity

v := Units:-Standard:-`*`(Q, Units:-Standard:-`/`(F))

1.421069042*Units:-Unit(m/s)

(4.4)

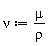
Fluid dynamic viscosity

mu := ThermophysicalData:-Property(viscosity, pressure = p, temperature = t, Fluid);

0.3542922180e-3*Units:-Unit(Pa*s)

(4.5)

Fluid kinematic viscosity

nu := Units:-Standard:-`*`(mu, Units:-Standard:-`/`(rho))

0.3644258194e-6*Units:-Unit(m^2/s)

(4.6)

Flow Reynolds*Number

Reynolds := Units:-Standard:-`*`(Units:-Standard:-`*`(v, d), Units:-Standard:-`/`(nu))

124783.1710

(4.7)

The*drag*coefficient*of*friction

lambda := `&lambda;_friction`(Delta, Reynolds)

0.1928609715e-1

(4.8)

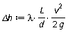
Hence the pressure drop in the horizontal pipeline

`&Delta;h` := Units:-Standard:-`*`(Units:-Standard:-`*`(lambda, Units:-Standard:-`*`(L, Units:-Standard:-`/`(d))), Units:-Standard:-`*`(Units:-Standard:-`^`(v, 2), Units:-Standard:-`/`(Units:-Standard:-`*`(2, g))))

7.444010408*Units:-Unit(m)

(4.9)

... and pressure loss

`&Delta;p` := Units:-Standard:-`*`(Units:-Standard:-`*`(rho, g), `&Delta;h`)

.7006672860*Units:-Unit(atm)

(4.10)

``

``