Application Center - Maplesoft

App Preview:

Saha's Equation (helium in a white dwarf)

You can switch back to the summary page by clicking here.

Learn about Maple
Download Application




Saha's Equation (helium in a white dwarf) ***

restart

 

Problem: The atmosphere of a DB white dwarf is pure helium. Use Saha's equation to calculate the ionization ratios NII/NI and NIII/NII for temperatures of 5,000 K, 15,000 K, and 25,000 K. Express NII/Nt (Nt = total number of ions) in terms of these ratios and plot NII/Nt for temperatures from 5,000 K to 25,000K. Determine the temperature at which half the helium is ionized.

NULL

Hints:

 

In Saha's equation, the eV value of the Boltzmann constant is used in the exponential term.

Use Saha's equation to find NII/NI  at 5,000 K, 15,000 K, and 25,000 K.

Use Saha's equation to find the ratio of NIII/NII at 5,000 K, 15,000 K, and 25,000 K.

Put the six results into a table for easy reference.

Express the ratio NII/Nt in terms of NII/NI and NIII/NII. Note that in this expression, the term NIII/NII can be ignored.

Substitute the expression for ne (in "Useful Equations", below) into the alternate version of Saha's equation for NII/NI.

Substitute the NII/NI into the expression for NII/Nt, expressed in terms of NII/NI (the NIII/NII factor having been dropped).

Multiply both sides of the resulting equation by NII/Nt.

Expand and rearrange the equation into the normal form of a quadratic equation.

Let x = NII/Nt and solve with the quadratic formula.

Plot the result. The plot should show that half the helium is ionized at approximately 15,000 K.  

 

 

Data: (All data are in SI units unless otherwise stated.)

 

NI = total number of un-ionized helium atoms

NII = total number of ionized helium atoms

Nt = total number of helium atoms and ions (NI + NII)

NULL

NULL

m[e] := 9.1094*10^(-31)

0.9109400000e-30

(1)

k := 1.3807*10^(-23)

0.1380700000e-22

(2)

kev := 8.6172*10^(-5)

0.8617200000e-4

(3)

 

h := 6.6261*10^(-34)

0.6626100000e-33

(4)

m[p] := 1.6727*10^(-27)

0.1672700000e-26

(5)

chi[I] := 24.6

24.6

(6)

chi[II] := 54.4NULL

54.4

(7)

Z[1] := 1

1

(8)

Z[2] := 2

2

(9)

Z[3] := 1

1

(10)

P[e] := 20

20

(11)

T1 := 5000

5000

(12)

T2 := 15000

15000

(13)

T3 := 25000

25000

(14)

 

 

Useful Equations:

NULL

NULL

NULL

NULL

NULL

NULL

NULL

NULL

Solution:

 

Finding the ratio of N[II]/N[I]

NULL

At 5,000 K:

N[II]/N[I] = 2*k*T1*Z[2]*(2*Pi*m[e]*k*T1/h^2)^(3/2)*exp(-chi[I]/(kev*T1))/(P[e]*Z[1])

N[II]/N[I] = 0.2393877302e-18*2^(1/2)*Pi^(3/2)

(15)

"(->)"

N[II]/N[I] = 0.18853e-17

(16)

NULL

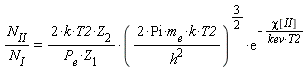
At 15,000 K:

 

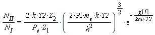
N[II]/N[I] = 2*k*T2*Z[2]*(2*Pi*m[e]*k*T2/h^2)^(3/2)*exp(-chi[I]/(kev*T2))/(P[e]*Z[1])

N[II]/N[I] = .1266581414*2^(1/2)*Pi^(3/2)

(17)

"(->)"

N[II]/N[I] = .99750

(18)

 

 

At 25,000 K:

 

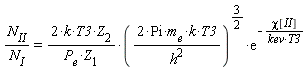
N[II]/N[I] = 2*k*T3*Z[2]*(2*Pi*m[e]*k*T3/h^2)^(3/2)*exp(-chi[I]/(kev*T3))/(P[e]*Z[1])

N[II]/N[I] = 919.1800728*2^(1/2)*Pi^(3/2)

(19)

"(->)"

N[II]/N[I] = 7238.9

(20)

 

NULL

Finding the ratio of N[III]/N[II]

 

At 5,000 K:

 

 

N[III]/N[II] = 2*k*T1*Z[2]*(2*Pi*m[e]*k*T1/h^2)^(3/2)*exp(-chi[II]/(kev*T1))/(P[e]*Z[1])

N[III]/N[II] = 0.2195631146e-48*2^(1/2)*Pi^(3/2)

(21)

"(->)"

N[III]/N[II] = 0.17291e-47

(22)

NULL

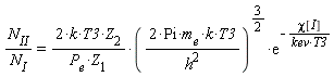
At 15,000 K:

 

 

N[II]/N[I] = 2*k*T2*Z[2]*(2*Pi*m[e]*k*T2/h^2)^(3/2)*exp(-chi[II]/(kev*T2))/(P[e]*Z[1])

N[II]/N[I] = 0.1230605766e-10*2^(1/2)*Pi^(3/2)

(23)

"(->)"

N[II]/N[I] = 0.96915e-10

(24)

NULL

NULL

At 25,000 K:

 

 

N[II]/N[I] = 2*k*T3*Z[2]*(2*Pi*m[e]*k*T3/h^2)^(3/2)*exp(-chi[II]/(kev*T3))/(P[e]*Z[1])

N[II]/N[I] = 0.9034249904e-3*2^(1/2)*Pi^(3/2)

(25)

"(->)"

N[II]/N[I] = 0.71148e-2

(26)

NULL

NULL

NULL

T

N[II]/N[I]

N[III]/N[II]

5000

1.8853*10^(-18)

1.7291*10^(-48)

15000

.99750

9.6915*10^(-11)

25000

7238.9

0.71148e-2NULL

 

 

 

Simplifying the ratio N[II]/N[t]

NULL

N[II]/N[t] = N[II]/(N[I]+N[II]+N[III])

N[II]/N[t] = N[II]/(N[I]+N[II]+N[III])

(27)

"(->)"

N[II]/(N[I]+N[II]+N[III])

(28)

Divide numerator and denominator by N[I].

 

N[II]/(N[I]*(1+N[II]/N[I]+N[III]/N[II]*(N[II]/N[I]))) 



From the table in (a), above, the last term in the denominator can be ignored for 5000 K to 25,000 K.

 

NULL

N[II]/N[t] = N[II]/(N[I]+N[II]) and N[II]/(N[I]+N[II]) = N[II]/(N[I]*(1+N[II]/N[I]))

 

0N[II]*(1+N[II]/N[I])/N[t] = N[II]/N[I]

 

 

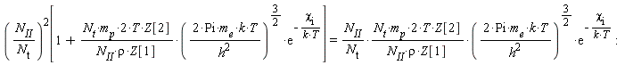
According to the Saha equation:

N[II]/N[I] = 2*T*Z[i+1]*(2*Pi*m[e]*k*T/h^2)^(3/2)*exp(-chi[i]/(k*T))/(n[e]*Z[i])

 

 

where

 

n[e] = N[II]*rho/(N[t]*m[p])

 

Substituting into the Saha equation yields:

NULL

N[II]/N[I] = 2*N[t]*m[p]*T*Z[2]*(2*Pi*m[e]*k*T/h^2)^(3/2)*exp(-chi[i]/(k*T))/(N[II]*rho*Z[1])

 

 

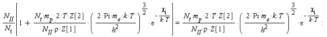
Substitute this into equation:

 

N[II]*(1+N[II]/N[I])/N[t] = N[II]/N[I]

 

to get

 

(N[II]/N[t])[1+2*N[t]*m[p]*T*Z[2]*(2*Pi*m[e]*k*T/h^2)^(3/2)*exp(-chi[i]/(k*T))/(N[II]*rho*Z[1])] = 2*N[t]*m[p]*T*Z[2]*(2*Pi*m[e]*k*T/h^2)^(3/2)*exp(-chi[i]/(k*T))/(N[II]*rho*Z[1])

NULL

 

Multiply both sides by N[II]/N[t]

NULL

(N[II]/N[t])^2*[1+2*N[t]*m[p]*T*Z[2]*(2*Pi*m[e]*k*T/h^2)^(3/2)*exp(-chi[i]/(k*T))/(N[II]*rho*Z[1])] = (N[II]/N[t]*(2*N[t]*m[p]*T*Z[2]/(N[II]*rho*Z[1])))*(2*Pi*m[e]*k*T/h^2)^(3/2)*exp(-chi[i]/(k*T))

 

Expand and re-arrange:

 

 

(N[II]/N[t])^2+2*m[p]*T*Z[2]*(2*Pi*m[e]*k*T/h^2)^(3/2)*exp(-chi[i]/(k*T))*N[II]/(rho*Z[1]*N[t])-m[p]*2^TZ[2]*(2*Pi*m[e]*k*T/h^2)^(3/2)*exp(-chi[i]/(k*T))/(rho*Z[1]) = 0

 

 

Let x = "(N[II])/(N[t]). "The equation is a quadratic equation with the solution x = (-b+sqrt(-4*a*c+b^2))/(2*a).NULLNULL

NULL

NULLNULL

Change back to the original form of the equation, using  `  n`[e] = P[e]/(k*T)

NULL

b := 2*k*T*Z[2]*(2*Pi*m[e]*k*T/h^2)^(3/2)*exp(-chi[I]/(kev*T))/(20*Z[1])

0.8467769052e-3*T*2^(1/2)*(Pi*T)^(3/2)*exp(-285475.5605/T)

(29)

NULL

NULL

NULL

a := 1NULL

NULL

1

(30)

c := -b

-0.8467769052e-3*T*2^(1/2)*(Pi*T)^(3/2)*exp(-285475.5605/T)

(31)

Solving for x and plotting the equation, changing x back to N[II]/N[t]:

NULL

 

x = (-b+sqrt(-4*a*c+b^2))/(2*a)

x = -0.4233884526e-3*T*2^(1/2)*(Pi*T)^(3/2)*exp(-285475.5605/T)+(1/2)*(0.3387107621e-2*T*2^(1/2)*(Pi*T)^(3/2)*exp(-285475.5605/T)+0.1434062254e-5*T^5*Pi^3*(exp(-285475.5605/T))^2)^(1/2)

(32)

NULL

f := -0.3334300000e-2*T^(5/2)*exp(-2.854800000*10^5/T)+(1/2)*sqrt(0.266744e-1*T^(5/2)*exp(-2.854800000*10^5/T)+0.4447022596e-4*T^5*(exp(-2.854800000*10^5/T))^2)

-0.3334300000e-2*T^(5/2)*exp(-285480.0000/T)+(1/2)*(0.266744e-1*T^(5/2)*exp(-285480.0000/T)+0.4447022596e-4*T^5*(exp(-285480.0000/T))^2)^(1/2)

(33)

 

plot(f, T = 5000 .. 25000)

Half the helium is ionized at approximately 15,000 K.

NULL