Application Center - Maplesoft

App Preview:

Pulsating Star

You can switch back to the summary page by clicking here.

Learn about Maple
Download Application




Pulsating Star ***

restart

NULL

Problem: Given the relevant data of a pulsating star, calculate the star's rate of change in surface velocity, radius, and  pressure. (This worksheet contains excerpts from Carroll and Ostlie (n.d.). See the complete exercise online at http://physics.weber.edu/carroll/images/aas00.pdf.)

 

 

Hints:

 

Assume a star has its entire mass, M, concentrated in its centre. Its surface layers of mass m<<M consist of a thin shell of radius r. Within the shell the pressure, P, is everywhere the same. Outside the shell, P is zero. Within the star, pressure and radius vary with pulsation. (Figure from Carroll and Ostlie (n.d.).)

 

 

 

By Newton's second law:

 

m*(diff(v, t)) = 4*Pi*r^2*P-G*M*m/r^2

where

 

v = diff(r, t)

``

Assumption of adiabatic expansion and contraction, with initial (i) and final (f) values related as follows:

 

P[i]*V[i]^gamma = P[f]*V[f]^gamma

``

where

 

V[i] := (4/3)*Pi*r[i]^3

(1)

 

V[f] := (4/3)*Pi*r[f]^3

 

``

Therefore,

 

P[i]*V[i]^gamma = P[f]*V[f]^gamma

P[i]*((4/3)*Pi*r[i]^3)^gamma = P[f]*((4/3)*Pi*r[f]^3)^gamma

(2)

``

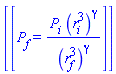
P[i]*(r[i]^3)^gamma = P[f]*(r[f]^3)^gamma

P[i]*(r[i]^3)^gamma = P[f]*(r[f]^3)^gamma

(3)

"(->)"

[[P[f] = P[i]*(r[i]^3)^gamma/(r[f]^3)^gamma]]

(4)

``

P[f] = P[i]*(r[i]/r[f])^(3*gamma)

``

``

Use differences instead of differentials in the first two equations:

 

m*(v[f]-v[i])/`&Delta;t` = 4*Pi*r[i]^2*P-G*M*m/r[i]^2

m*(v[f]-v[i])/`&Delta;t` = 4*Pi*r[i]^2*P-G*M*m/r[i]^2

(5)

"(->)"

[[v[f] = -(-4*P*Pi*`&Delta;t`*r[i]^4+G*M*m*`&Delta;t`-m*r[i]^2*v[i])/(r[i]^2*m)]]

(6)

``

v[f] = v[i]+4*P*Pi*`&Delta;t`*r[i]^2/m-G*M*`&Delta;t`/r[i]^2

``

v[f] = v[i]+(4*P*Pi*r[i]^2/m-G*M/r[i]^2)*`&Delta;t`

v[f] = v[i]+(4*P*Pi*r[i]^2/m-G*M/r[i]^2)*`&Delta;t`

(7)

 

NULL

v = (r[f]-r[i])/`&Delta;t`

v = (r[f]-r[i])/`&Delta;t`

(8)

"(->)"

[[r[f] = v*`&Delta;t`+r[i]]]

(9)

NULL

 

 

 

Data:

 

``

``

``

``

NULL

 

Useful Equations:

 

The following equations, derived above, determine the pressure, velocity, and radius of pulsation of the star, respectively:``

``

P[f] = P[i]*(r[i]/r[f])^(3*gamma):

``

v[f] = v[i]+(4*P*Pi*r[i]^2/m-G*M/r[i]^2)*`&Delta;t`:

 

r[f] = v*`&Delta;t`+r[i]:

 

(10)

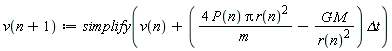
Note that some equations take as input, values that are output by other equations. Therefore, put the equations in the order: v, r, and P, and write them as functions of n:NULL

NULL

v(n+1) := simplify(v(n)+(4*P(n)*Pi*r(n)^2/m-G*M/r(n)^2)*`&Delta;t`)

-(-4*Pi*P(n)*r(n)^4*`&Delta;t`+G*M*m*`&Delta;t`-v(n)*m*r(n)^2)/(m*r(n)^2)

(11)

``

``

r(n+1) := simplify(v(n+1)*`&Delta;t`+r(n))

-(-4*Pi*P(n)*r(n)^4*`&Delta;t`^2+G*M*m*`&Delta;t`^2-v(n)*r(n)^2*m*`&Delta;t`-m*r(n)^3)/(m*r(n)^2)

(12)

``

NULL

P(n+1) := simplify(P(n)*(r(n)^3)^gamma/r(n+1)^(3*gamma))

P(n)*(r(n)^3)^gamma*(-(-4*Pi*P(n)*r(n)^4*`&Delta;t`^2+G*M*m*`&Delta;t`^2-v(n)*r(n)^2*m*`&Delta;t`-m*r(n)^3)/(m*r(n)^2))^(-3*gamma)

(13)

``

NULL

NULLNULL

Solution:

NULL

restart

``

with(ArrayTools):

NULL

 

To simplify the calculations, reset the constants and intial values without units.

``

G := 6.673*10^(-11)

0.6673000000e-10

(14)

M := 1.0*10^31

0.1000000000e32

(15)

``

m := 1.0*10^26

0.1000000000e27

(16)

n := 1

1

(17)

r(1) := 1.7*10^10

0.1700000000e11

(18)

v(1) := 0

0

(19)

``

P(1) := 5.6*10^4

56000.0

(20)

``

`&Delta;t` := 10^4

10000

(21)

_local(gamma); 1; gamma := 5/3

5/3

(22)

``

Create vectors to store the output of the calculations. N contains values of n; V contains values of v; R contains values of r; and S contains values of P:

 

N := Vector[column](150)

Vector(4, {(1) = ` 1 .. 150 `*Vector[column], (2) = `Data Type: `*anything, (3) = `Storage: `*rectangular, (4) = `Order: `*Fortran_order})

(23)

````

V := Vector[column](150)

Vector(4, {(1) = ` 1 .. 150 `*Vector[column], (2) = `Data Type: `*anything, (3) = `Storage: `*rectangular, (4) = `Order: `*Fortran_order})

(24)

R := Vector[column](150)

Vector(4, {(1) = ` 1 .. 150 `*Vector[column], (2) = `Data Type: `*anything, (3) = `Storage: `*rectangular, (4) = `Order: `*Fortran_order})

(25)

S := Vector[column](150)

Vector(4, {(1) = ` 1 .. 150 `*Vector[column], (2) = `Data Type: `*anything, (3) = `Storage: `*rectangular, (4) = `Order: `*Fortran_order})

(26)

``

Perform the calculations for 150 time increments:

``

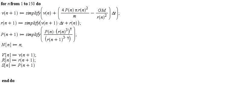
for n to 150 do v(n+1) := simplify(v(n)+(4*P(n)*Pi*r(n)^2/m-G*M/r(n)^2)*`&Delta;t`); r(n+1) := simplify(v(n+1)*`&Delta;t`+r(n)); P(n+1) := simplify(P(n)*(r(n)^3)^gamma/r(n+1)^(3*gamma)); N[n] := n; V[n] := v(n+1); R[n] := r(n+1); S[n] := P(n+1) end do:

NULLNULL

NULL

`<,>`(N)

Vector(4, {(1) = ` 150 x 1 `*Matrix, (2) = `Data Type: `*anything, (3) = `Storage: `*rectangular, (4) = `Order: `*Fortran_order})

(27)

``

Convert time units of 104 seconds to days and put these into a vector called M:

 

M := (1/72000)*N*10^4

Vector(4, {(1) = ` 1 .. 150 `*Vector[column], (2) = `Data Type: `*anything, (3) = `Storage: `*rectangular, (4) = `Order: `*Fortran_order})

(28)

``

`<,>`(V)

Vector(4, {(1) = ` 150 x 1 `*Matrix, (2) = `Data Type: `*anything, (3) = `Storage: `*rectangular, (4) = `Order: `*Fortran_order})

(29)

``

`<,>`(R)

Vector(4, {(1) = ` 150 x 1 `*Matrix, (2) = `Data Type: `*anything, (3) = `Storage: `*rectangular, (4) = `Order: `*Fortran_order})

(30)

`<,>`(S)

Vector(4, {(1) = ` 150 x 1 `*Matrix, (2) = `Data Type: `*anything, (3) = `Storage: `*rectangular, (4) = `Order: `*Fortran_order})

(31)

``

Create point plots of changes in velocity, radius, and pressure:

NULL

NULLNULL

with(plots):

pointplot(M, V, connect = true, title = "Change in Velocity", titlefont = [ROMAN, 15], labels = ["days", "velocity"], labeldirections = [horizontal, vertical])

NULL

``

NULL

pointplot(M, R, connect = true, title = "Change in Radius", titlefont = [ROMAN, 15], labels = ["days", radius], labeldirections = [horizontal, vertical])

NULL

NULLNULL

pointplot(M, S, connect = true, title = "Change in Pressure", titlefont = [ROMAN, 15], labels = ["days", pressure], labeldirections = [horizontal, vertical])

 

(from Carroll and Ostlie, n.d.)

 

The following diagram shows the magnitude variation of Delta Cephei. Note that the increase in magnitude is more rapid than the decrease (Isles, 2010). Pulsating stars typically expand faster than they contract. The simplified example above does not show this clearly.

 

 

 

------------------------------------------------------------------------

References

 

Carroll, B. and Ostlie, D. (n.d.). Bringing Pulsating Stars into the Physics Classroom. http://physics.weber.edu/carroll/images/aas00.pdf (Accessed: 2015-09-23).

 

Isles, J. (2010). The Top 12 Naked-Eye Variable Stars. Sky and Telescope. http://www.skyandtelescope.com/observing/celestial-objects-to-watch/the-top-12-naked-eye-variable-stars/ (Accessed: 2015-09-23).

NULL