Application Center - Maplesoft

App Preview:

Calculus II: Lesson 2: Solids of Revolution

You can switch back to the summary page by clicking here.

Learn about Maple
Download Application


 

L2-solidRevolution.mws

Calculus II

Lesson 2:  Solids of Revolution

Volumes of Revolution

Solids of revolution defined and plotted. Volume formulas for solids of revolution derived.  A detour into color plotting   plot3d

A simple extension of the ideas and definition of the definite integral permits evaluation of the surface area and the contained volume of solids of revolution.  By a solid of revolution we mean the solid formed when a plane curve is rotated in space around an axis in its plane.  Although we could rotate the curve around any coplanar straight line we will confine ourselves to the case where the line is the x or y axis or some line parallel to either. The important Maple plotting function;    plot3d   is in the plots package.

This function and its syntax requires some comment.  Maple recognizes two basic  means of defining a surface.  First, one may define a surface as a function or expression in x and y. This is equivalent to setting up an equation of the form z = f(x)  .  The ranges for x and y must be stated in the form appropriate to either an expression or function as required.  Second, Maple recognizes the parametric formulation of a surface. This requires three expressions or functions of two parameters, enclosed in square brackets, in xyz order. Maple recognized this as an ordered triplet (a point in space) for each pair of values of the parameters.  Again, the parameter ranges must be entered in a form appropriate for either function or expression.
The real fun is in the plot options which we will look at as we proceed.

Ex. 1

Given a function:     y = x^3-5*x^2  . Find the volume of the solid that results from rotating the curve around the x axis between the points x=0 and x=4.

>    restart: with(plots):

Warning, the name changecoords has been redefined

>    f:=x->x^3-5*x^2;

f := proc (x) options operator, arrow; x^3-5*x^2 end proc

>    plot(f,1..4);

[Maple Plot]

We proceed in a manner entirely analogous to the plane case.  We slice the surface perpendicular to the x=axis (the axis of rotation), and sum the volumes of each of the cylinders of constant radius.  Here's what it looks like.

plottools

>    with(plottools):

Warning, the name arrow has been redefined

>    c := seq(rotate(cylinder([0,0,k], f(k/5),1),0,3*Pi/2,0),k=5..20):

>    display(c,scaling=constrained,axes=normal);

[Maple Plot]

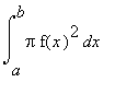
From the geometric picture, and the definition of the definite integral we immediately obtain:

Volume = Limit(Sum(Pi*f(a+k*(b-a)/n)^2*(b-a)/n,k = 0 .. n-1),n = infinity)  = Limit(Sum(Pi*f(a+k*(b-a)/n)^2*(b-a)/n,k = 1 .. infinity),n = infinity)  =

Int(Pi*f(x)^2,x = a .. b)  

>    a:=0: b:=4:

>    Vol:=Limit(Sum(Pi*f(a+k*(b-a)/n)^2*(b-a)/n,k=0..n-1),n=infinity):

>    value(%);

13312/21*Pi

>    Vol:=Limit(Sum(Pi*f(a+k*(b-a)/n)^2*(b-a)/n,k=1..n),n=infinity):

>    value(%);

13312/21*Pi

Now from the integral:

>   

>    int(Pi*f(x)^2,x=0..4);

13312/21*Pi

To find  volumes of solids of revolution around the y-axis is straightforward.  Simply interchange the role of the x and y variables. Of course the limits of integration must be along the y axis.  

Plotting with Color

This might be a good time for a detour to explain how the color option works.  There are a number of pre-defined colors.  These are listed in the Help index under plot[color]   For 3-D plots there is the HUE system of defining colors.  If the color is defined by a single valued expression, evaluating to values between zero and one, then this value is mapped to the HUE map.

>    display(seq(PLOT(POLYGONS([[n, 0], [n, 1], [n+1, 1], [n+1, 0]]),COLOR(HUE,evalf((n+1)/100)),AXESTICKS(DEFAULT,0),STYLE(PATCHNOGRID)),n = 0 .. 99));

[Maple Plot]

>   

There is also the RGB system for color designation. This requires the syntax, color=COLOR(RGB,v1,v2,v3), where v1,v2,v3 are values between zero and one.     

Example 2

Rotate the curve,   [Maple OLE 2.0 Object]  around the y axis from the point where y=2 to y=4, and find the volume of the resulting solid.

>    restart: with(plots):with(plottools):

Warning, the name changecoords has been redefined

Warning, the name arrow has been redefined

>    f:=x->x^2+x-1;  plot(f,2..4);

f := proc (x) options operator, arrow; x^2+x-1 end proc

[Maple Plot]

>    c := seq(rotate(cylinder([0,0,f(k/10)],k/10,1),Pi/2,0,0),k=20..40):

>    display(c,axes=normal,labels=[x,y,z]);

[Maple Plot]

>    X:=solve(f(x)=y,x);

X := -1/2+1/2*(5+4*y)^(1/2), -1/2-1/2*(5+4*y)^(1/2)

       We are interested in x = -1/2+1/2*sqrt(5+4*y)  .

>    Vol:=Pi*int(X[1]^2,y=2..4);

Vol := Pi*(-7/4*21^(1/2)+9+13/12*13^(1/2))

>   

Example 3

 Rotate the curve y = ln((1-x)/(1+x))  between the points x=0 and x=1 around the line y=2 and find the volume of the resulting solid.

>    restart: with(plots):

Warning, the name changecoords has been redefined

>    f:=ln((1-x)/(1+x));

f := ln((1-x)/(1+x))

>    plot({f,2},x=0..1);

[Maple Plot]

>    Volume:=Int(Pi*(2-f)^2,x=0..1);

Volume := Int(Pi*(2-ln((1-x)/(1+x)))^2,x = 0 .. 1)

>    Volume:=evalf(%);

Volume := 40.32248490

Practice

1. For each of these functions:
      a) Create a 3D plot of the solid of revolution  around the x axis
      b) Find the volume of the solid of revolution.

              [Maple OLE 2.0 Object]

2. For each of these functions:
       a)  Create a 3D plot of the solid of revolution  around the y axis
       b) Find the volume of the solid of revolution
               
[Maple OLE 2.0 Object]