Application Center - Maplesoft

App Preview:

Calculus II: Lesson 24: Conic Sections

You can switch back to the summary page by clicking here.

Learn about Maple
Download Application


 

L24-conicSections.mws

Calculus II

Lesson 24:  Conic Sections

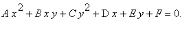
     The conic sections can be realized as the graphs of second degree equations. Consider the set of all equations of second degree: A*x^2+B*x*y+C*y^2+D*x+E*y+F = 0.  In the case where {A,B,C} are zero, this reduces to the equation of a straight line. We will, therefore,  consider those cases where this does not occur.

     The reason that these graphs arte called conic sections is that they also arise as the intersection of a plane with a cone.

Parabola

     The parabola arises as the intersection of a cone and a plane parallel to its side.

>    restart: with(plots):

Warning, the name changecoords has been redefined

>    c:=sqrt(x^2+y^2):    #The cone

>    p:=y+3:              #The plane

>    Y:=solve(c=p,y);     #The intersection of the cone and plane

Y := 1/6*x^2-3/2

>    intsect:=subs(y=Y,c);  #The curve of intersection, embedded in the                                                                  \\cone

intsect := (x^2+(1/6*x^2-3/2)^2)^(1/2)

>    P1:=plot3d(c,x=-5..5,y=-5..5,axes=normal,color=red,numpoints=2000,view=[-5..5,-5..5,0..5],style=wireframe):

>    P2:=plot3d(p,x=-5..5,y=-5..5,axes=normal,color=yellow,numpoints=2000,view=[-5..5,-5..5,0..5],style=patchnogrid):

>    P3:=spacecurve([x,Y,intsect],x=-5..5,color=black,thickness=3):

>    display(P1,P2,P3,scaling=constrained, orientation=[-10,75]);

[Maple Plot]

Hyperbola

     The hyperbola arises as the intersection of a cone with a plane that makes a steeper angle with the x-y plane than does the side of the cone.

>    restart: with(plots):

Warning, the name changecoords has been redefined

>    c:=sqrt(x^2+y^2):    #The cone

>    p:=4*y+5:            #The plane

>    Y:=solve(c=p,y);     #The intersection of the cone and plane

Y := -4/3+1/15*(25+15*x^2)^(1/2), -4/3-1/15*(25+15*x^2)^(1/2)

>    intsect:=subs(y=Y[1],c); #The curve of intersection, embedded in the //cone                                                  

intsect := (x^2+(-4/3+1/15*(25+15*x^2)^(1/2))^2)^(1/2)

>    P1:=plot3d(c,x=-5..5,y=-5..5,axes=normal,color=red,numpoints=2000,view=[-5..5,-5..5,0..5],style=wireframe):

>    P2:=plot3d(p,x=-5..5,y=-5..5,axes=normal,color=yellow,numpoints=2000,view=[-5..5,-5..5,0..5],style=patchnogrid):

>    P3:=spacecurve([x,Y[1],intsect],x=-5..5,color=black,thickness=3):

>    display(P1,P2,P3,scaling=constrained);

[Maple Plot]

Ellipse

      The ellipse arises as the intersection of a cone with a plane that makes a less steep angle with the x-y plane than does the side of the cone.

>    restart: with(plots):

Warning, the name changecoords has been redefined

>    c:=sqrt(x^2+y^2):     #The cone

>    p:=y/3+3:             #The plane

>    Y:=solve(c=p,y);    #The intersection of the cone and plane

Y := 9/8+3/8*(81-8*x^2)^(1/2), 9/8-3/8*(81-8*x^2)^(1/2)

>    E1:=subs(y=Y[1],c); E2:=subs(y=Y[2],c); #The curve of intersection, embedded in the cone                                                  

E1 := (x^2+(9/8+3/8*(81-8*x^2)^(1/2))^2)^(1/2)

E2 := (x^2+(9/8-3/8*(81-8*x^2)^(1/2))^2)^(1/2)

>    P1:=plot3d(c,x=-5..5,y=-5..5,axes=normal,color=red,numpoints=2000,view=[-5..5,-5..5,0..5],style=wireframe):

>    P2:=plot3d(p,x=-5..5,y=-5..5,axes=normal,color=yellow,numpoints=2000,view=[-5..5,-5..5,0..5],style=patchnogrid):

>    P3:=spacecurve({[x,Y[1],E1],[x,Y[2],E2]},x=-5..5,color=black,thickness=3,numpoints=2000):

>    display(P1,P2,P3,scaling=constrained);

[Maple Plot]

Circle

 The circle arises as the intersection of a cone and a plane parallel to its base.

>    restart: with(plots):

Warning, the name changecoords has been redefined

>    c:=sqrt(x^2+y^2):  #The cone

>    p:=3:              #The plane

>    Y:=solve(c=p,y);   #The intersection of the cone and plane

Y := (-x^2+9)^(1/2), -(-x^2+9)^(1/2)

>    circ1:=subs(y=Y[1],c); circ2:=subs(y=Y[2],c); #The curve of intersection, embedded in the                                                                  \\cone

circ1 := 9^(1/2)

circ2 := 9^(1/2)

>    P1:=plot3d(c,x=-5..5,y=-5..5,axes=normal,color=red,numpoints=2000,view=[-5..5,-5..5,0..5],style=wireframe):

>    P2:=plot3d(p,x=-5..5,y=-5..5,axes=normal,color=yellow,numpoints=2000,view=[-5..5,-5..5,0..5],style=patchnogrid):

>    P3:=spacecurve({[x,Y[1],circ1],[x,Y[2],circ2]},x=-5..5,color=black,thickness=3,numpoints=2000):

>    display(P1,P2,P3);

[Maple Plot]

The Standard Form of Equations

      The xy term in the general quadratic results in rotation of the xy plane about the origin. At present we will deal only with conic sections whose lines of symmetry are parallel to one of the axes.

       The parabola, with its line of symmetry at   -b/(2*a)  , is probably familiar to you.

>    restart: with(plots):with(student):

Warning, the name changecoords has been redefined

>    f:=a*x^2+b*x+c;

f := a*x^2+b*x+c

>    X:=solve(diff(f,x)=0,x);

X := -1/2*b/a

>    minmax:=subs(x=X,f);

minmax := -1/4/a*b^2+c

>    F:=completesquare(f,x);

F := a*(x+1/2*b/a)^2-1/4/a*b^2+c

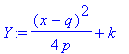
     Classically the equation of a parabola was put in the form: 4*p*(y-k) = (x-q)^2  

>    eq1:=4*p*(y-k)=(x-q)^2;

eq1 := 4*p*(y-k) = (x-q)^2

>    Y:=solve(eq1,y);

Y := 1/4*(4*p*k+x^2-2*x*q+q^2)/p

>    Y:=completesquare(Y,x);

Y := 1/4/p*(x-q)^2+k

      From which we conclude that q = -b/(2*a)  , k = -b^2/(4*a)+c  and p = 1/(4*a)  . the vertex of the parabola is at (q,k).

      Now we will draw an ellipse with its center at the origin.

>    restart:with(plots):

Warning, the name changecoords has been redefined

>    e:=x^2/9+y^2/4=1;

e := 1/9*x^2+1/4*y^2 = 1

>    implicitplot(e,x=-3..3,y=-2..2,scaling=constrained,thickness=2);

[Maple Plot]

         Note that the x intercepts occur at   y = 0  , x = +/-3, while the y intercepts occure at x =0,   y =+/-2. In general, an ellipse of the form x^2/(a^2)+y^2/(b^2) = 1  ,   a>b ,   will have a semi-major  axis of a  and a semi-minor axis of b . Now move the center of the ellipse to new coordinates, x= 3, y =2.

>    ee:=(x-3)^2/9+(y-2)^2/4=1;

ee := 1/9*(x-3)^2+1/4*(y-2)^2 = 1

>    ee:=36*expand(ee);

ee := 4*x^2-24*x+72+9*y^2-36*y = 36

>    implicitplot(ee,x=0..6,y=0..4,scaling=constrained,thickness=2);

[Maple Plot]

    Given an ellipse described by the equation:   4*x^2+9*y^2-32*x-90*y+145 = 0  we would proceed to analyze it like this.

>    eq1:=0 = 4*x^2-32*x+145+9*y^2-90*y;

eq1 := 0 = 4*x^2-32*x+145+9*y^2-90*y

>    with(student): eq2:=completesquare(eq1,[x,y]);

eq2 := 0 = 9*(y-5)^2-144+4*(x-4)^2

>    eq3:=(rhs(eq2)+144)/144=1;

eq3 := 1/16*(y-5)^2+1/36*(x-4)^2 = 1

     From this we would conclude that this ellipse is centered at (4,5) and has a s emi-major  axis of 6 and a semi-minor  axis of 4.

    Now  go back to the original ellipse, x^2/(3^2)+y^2/(2^2) = 1 . Change the sign of the y^2  term to obtain a hyperbola.

>    restart:with(student):with(plots):

Warning, the name changecoords has been redefined

>    eq1:=x^2/3^2-y^2/4^2=1;

eq1 := 1/9*x^2-1/16*y^2 = 1

>    implicitplot(eq1,x=-5..5,y=-5..5);

[Maple Plot]

      How far apart are the two branches at their closest approach to each other?

>    X:=solve({eq1,y=0},{x,y});

X := {y = 0, x = 3}, {y = 0, x = -3}

>    distance:=rhs(X[1,2]-X[2,2]);

distance := 6

     In general,

>    eq2:=x^2/a^2-y^2/b^2=1;

eq2 := x^2/a^2-y^2/b^2 = 1

>    X:=solve({eq2,y=0},{x,y});

X := {y = 0, x = -a}, {y = 0, x = a}

>    distance:=rhs(X[2,2]-X[1,2]);

distance := 2*a

     The distance between the two branches of the hyperbola is not affected by where we place the origin of the coordinate system.

       Ex.  1

     Find the shortest distance between the branches of the hyperbola, 7*x^2+3*x-5*y^2-3*y = 14

>    restart: with(plots): with(student):

Warning, the name changecoords has been redefined

>    eq1:=7*x^2+3*x-5*y^2-3*y-14=0;

eq1 := 7*x^2+3*x-5*y^2-3*y-14 = 0

>    eq2:=completesquare(eq1,{x,y});

eq2 := -5*(y+3/10)^2-971/70+7*(x+3/14)^2 = 0

>    eq3:=lhs(eq2)+971/70=971/70;

eq3 := -5*(y+3/10)^2+7*(x+3/14)^2 = 971/70

>    eq4:=eq3/(971/70);

eq4 := -350/971*(y+3/10)^2+490/971*(x+3/14)^2 = 1

>    distance:=2*sqrt(971/490);

distance := 1/35*9710^(1/2)

>   

>   

Practice

1.   Put each of the following parabolas into "standard" form, and read off

      a) The axis of symmetry.

      b) The coordinates of the vertex of the parabola.

                i. y = 4*x^2-2*x+3

               ii. y = 5*x^2+15*x-3

              iii. x = 12*y-4*y^2+2  

2.  Determine the nature of each of the following curves. Where is each curve centered?

     a) 3*y^2-2*y-7+4*x+3*x^2 = 0

     b) 4*x^2+3*x+5-2*y-3*y^2 = 0

     c) 6*x^2+7*x-25+4*y^2-3*y = 0

3.  Write the equation of the following ellipses.

                         Center             Semi-major axis         Parallel to:              Semi-minor axis

     a)                   (1,2)                      5                         y-axis                             3

     b)                   (-3,-2)                  7                          x-axis                             2

     c)                    (-5,1)                   6                          y-axis                             1