Application Center - Maplesoft

App Preview:

Classroom Tips and Techniques: Stepwise Solutions in Maple - Part 1

You can switch back to the summary page by clicking here.

Learn about Maple
Download Application


Image 

 

Classroom Tips and Techniques: Stepwise Solutions in Maple - Part 1Robert J. LopezEmeritus Professor of Mathematics and Maple FellowMaplesoft 

Introduction 

 

Maple's powerful mathematical engine is primarily designed to provide the results of mathematical operations. But there are commands, Assistants, Tutors, and Task Templates that show stepwise calculations in algebra, calculus (single-variable, multivariable, vector), and linear algebra. In this article we discuss Maple's functionality for providing these stepwise solutions to mathematical problems in algebra and calculus (both of one and several variables). In our next article, we will continue with stepwise tools in linear algebra and vector calculus. 

 

However, we hasten to point out that often, the underlying algorithms Maple uses are not the ones students see in their textbooks. For example, the standard calculus text contains a detailed section on methods of integration, a collection of manipulations designed to produce the antiderivatives of most of the elementary functions.  Maple, on the other hand, will use a number of other devices, including the Risch algorithm, to obtain these antiderivatives. 

 

Because Maple "does" symbolic math, it is always possible to guide Maple through nearly any segment of mathematical calculations.  Thus, if Maple does not have a built-in tool for displaying a calculation stepwise, the calculation can always be reduced to its rudiments by simply directing Maple to take the required steps. 

 

This worksheet is an updated version of an earlier article. It includes five new task templates that first appeared in Maple 14. The new task templates correlate a multiple integral with an image of the region the integral sweeps. 

 

Stepwise Algebra 

Solving Equations 

 

Maple's solve and fsolve commands solve equations analytically and numerically, respectively. Stepwise solutions are provided by the Equation Manipulator, an Assistant that can be accessed either from the Tools menu, or from the Context Menu by choosing the option "Manipulate Equation." 

 

Demonstrations of stepwise equation-solving can be viewed in the recorded webinar "Clickable Calculus: Precalculus, and Calculus of One and Several Variables."  

 

Partial Fraction Decomposition 

 

The indefinite integral of the function

 

 

requires the partial fraction decomposition 

 

 

`+`(`/`(`*`(x), `*`(`+`(`*`(`^`(x, 2)), 1))), `/`(1, `*`(`+`(`*`(`^`(x, 2)), 4)))) (1)
 

 

which can also be obtained from the Context Menu under the Conversions option.  A stepwise decomposition is available via the Task Template in Table 1. 

 

Tools≻Tasks≻Browse: Algebra≻Partial Fractions≻Stepwise 

Stepwise Partial Fraction Decomposition 

Initialize 

 

Write rational function here  Image 

Embedded component 

 

Factor DenominatorClear 

Write the partial-fraction decomposition template in this box  Image 

       Embedded componentEmbedded component* 

 

Check Template FractionsClear 

Embedded component 

 

To determine the constants, multiply both sides of the identity (*) by the denominator of the fraction on the left. 

 

Expand (Clear Parentheses)Clear 

Embedded componentEmbedded component 

 

Collect Like TermsClear 

Embedded componentEmbedded component 

 

Form EquationsClear 

 

Embedded component 

 

Solve Equations Clear 

 

Embedded component 

 

Partial Fractions:Clear 

 

Embedded component=Embedded component 

Table 1   Stepwise partial fraction Task Template 

 

The algebra for obtaining the equations that determine the coefficients is not unique.  This Task Template adopts one particular strategy for this, but there are other methods. 

 

These algebraic steps can also be implemented directly in Maple, either with the appropriate commands, or even via the Context Menu, as we show in Table 2. The left-hand column in this table states the action to perform, and the right-hand column shows the effect of carrying out that instruction.  The initial identity  

 

  • Enter identity.
    Press Enter key.

 

  • Context Menu:
    Move to Left



    Left-hand Side



    Simplify




    Numerator



    Collect≻




    Coefficients≻

    Solve


 

 

`/`(`*`(`+`(`*`(`^`(x, 3)), `*`(`^`(x, 2)), `*`(4, `*`(x)), 1)), `*`(`+`(`*`(`^`(x, 2)), 4), `*`(`+`(`*`(`^`(x, 2)), 1)))) = `+`(`/`(`*`(`+`(`*`(a, `*`(x)), b)), `*`(`+`(`*`(`^`(x, 2)), 4))), `/`(`*`(... (2)
 

 

`+`(`/`(`*`(`+`(`*`(`^`(x, 3)), `*`(`^`(x, 2)), `*`(4, `*`(x)), 1)), `*`(`+`(`*`(`^`(x, 2)), 4), `*`(`+`(`*`(`^`(x, 2)), 1)))), `-`(`/`(`*`(`+`(`*`(a, `*`(x)), b)), `*`(`+`(`*`(`^`(x, 2)), 4)))), `-`(... (3)
 

 

`+`(`/`(`*`(`+`(`*`(`^`(x, 3)), `*`(`^`(x, 2)), `*`(4, `*`(x)), 1)), `*`(`+`(`*`(`^`(x, 2)), 4), `*`(`+`(`*`(`^`(x, 2)), 1)))), `-`(`/`(`*`(`+`(`*`(a, `*`(x)), b)), `*`(`+`(`*`(`^`(x, 2)), 4)))), `-`(... (4)
 

 

`+`(`-`(`/`(`*`(`+`(`-`(`*`(`^`(x, 3))), `-`(`*`(`^`(x, 2))), `-`(`*`(4, `*`(x))), `-`(1), `*`(a, `*`(`^`(x, 3))), `*`(a, `*`(x)), `*`(b, `*`(`^`(x, 2))), b, `*`(c, `*`(`^`(x, 3))), `*`(4, `*`(c, `*`(...
`+`(`-`(`/`(`*`(`+`(`-`(`*`(`^`(x, 3))), `-`(`*`(`^`(x, 2))), `-`(`*`(4, `*`(x))), `-`(1), `*`(a, `*`(`^`(x, 3))), `*`(a, `*`(x)), `*`(b, `*`(`^`(x, 2))), b, `*`(c, `*`(`^`(x, 3))), `*`(4, `*`(c, `*`(...
(5)
 

 

`+`(`*`(`^`(x, 3)), `*`(`^`(x, 2)), `*`(4, `*`(x)), 1, `-`(`*`(a, `*`(`^`(x, 3)))), `-`(`*`(a, `*`(x))), `-`(`*`(b, `*`(`^`(x, 2)))), `-`(b), `-`(`*`(c, `*`(`^`(x, 3)))), `-`(`*`(4, `*`(c, `*`(x)))), ...
`+`(`*`(`^`(x, 3)), `*`(`^`(x, 2)), `*`(4, `*`(x)), 1, `-`(`*`(a, `*`(`^`(x, 3)))), `-`(`*`(a, `*`(x))), `-`(`*`(b, `*`(`^`(x, 2)))), `-`(b), `-`(`*`(c, `*`(`^`(x, 3)))), `-`(`*`(4, `*`(c, `*`(x)))), ...
(6)
 

 

`+`(`*`(`+`(1, `-`(a), `-`(c)), `*`(`^`(x, 3))), `*`(`+`(`-`(b), 1, `-`(d)), `*`(`^`(x, 2))), `*`(`+`(`-`(a), 4, `-`(`*`(4, `*`(c)))), `*`(x)), 1, `-`(b), `-`(`*`(4, `*`(d))))
`+`(`*`(`+`(1, `-`(a), `-`(c)), `*`(`^`(x, 3))), `*`(`+`(`-`(b), 1, `-`(d)), `*`(`^`(x, 2))), `*`(`+`(`-`(a), 4, `-`(`*`(4, `*`(c)))), `*`(x)), 1, `-`(b), `-`(`*`(4, `*`(d))))
(7)
 

 

`+`(1, `-`(b), `-`(`*`(4, `*`(d)))), `+`(`-`(a), 4, `-`(`*`(4, `*`(c)))), `+`(`-`(b), 1, `-`(d)), `+`(1, `-`(a), `-`(c)) (8)
 

 

{a = 0, b = 1, c = 1, d = 0} (9)
 

  • Using equation labels and the evaluation template from the Expression palette, transfer the values of the coefficients to the identity.
 

 

`/`(`*`(`+`(`*`(`^`(x, 3)), `*`(`^`(x, 2)), `*`(4, `*`(x)), 1)), `*`(`+`(`*`(`^`(x, 2)), 4), `*`(`+`(`*`(`^`(x, 2)), 1)))) = `+`(`/`(`*`(x), `*`(`+`(`*`(`^`(x, 2)), 1))), `/`(1, `*`(`+`(`*`(`^`(x, 2))... (10)
 

Table 2   Stepwise partial-fractions by first principles via the Context Menu 

 

Stepwise Calculus of a Single Variable 

Differential Calculus 

Limits 

 

The Limit Methods tutor, shown in Table 3 as a screen-shot, will guide the evaluation of a limit. This tutor is available from the Tools menu, or from the Context Menu after the Student Calculus 1 package has been loaded. 

 

Image 

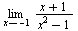
Table 3   The Limit Methods tutor applied to  

 

The sequence of steps can be copied and pasted from the tutor, but that does not salvage the per-step annotations.  Closing the tutor only provides the final answer, not the intermediate steps. The greatest value in the tutor seems to be its use as an experimental platform for investigating how a limit might be calculated. 

 

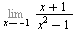
The annotated stepwise solution shown in Table 4 is available via the ShowSteps command, or better yet, from the Context Menu under the Solve≻Show Solution Steps option (after loading the Student Calculus 1 package with the Tools menu option: Load Package). 

 

Loading Student:-Calculus1  

 

Limit(`/`(`*`(`+`(x, 1)), `*`(`+`(`*`(`^`(x, 2)), `-`(1)))), x = -1)
 

 

Table 4   Stepwise limit via the Solve≻Show Solution Steps option in the Context Menu 

 

Derivatives 

 

The Differentiation Methods tutor, shown in Table 5 as a screen-shot, will guide the differentiation process. This tutor is available from the Tools menu, or from the Context Menu after the Student Calculus 1 package has been loaded. 

 

Image 

Table 5   The Differentiation Methods tutor applied to  

 

The sequence of steps can be copied and pasted from the tutor, but that does not salvage the per-step annotations.  Closing the tutor only provides the final answer, not the intermediate steps. The greatest value in the tutor seems to be its use as an experimental platform for investigating how a derivative might be evaluated. 

 

The annotated stepwise solution shown in Table 6 is available via the ShowSteps command, or better yet, from the Context Menu under the Solve≻Show Solution Steps option (after loading the Student Calculus 1 package with the Tools menu option: Load Package). 

 

Loading Student:-Calculus1  

 

Diff(`*`(`^`(x, 2), `*`(sin(x))), x)
 

 

 

Table 6   Stepwise differentiation via the Solve≻Show Solution Steps option in the Context Menu 

 

Notice that the differentiation operator "d" is gray, not black. This indicates the inert form of the operator, obtained by applying the Context Menu: 2-D Math≻Convert To≻Inert Form to the operator in the Expression palette. 

 

Tangent Line 

 

It is a staple of the calculus course to find the equation of the line tangent to a curve at a given point.  Since this requires computing a derivative to obtain the slope of the tangent line, and a bit of algebra to simplify the point-slope form of the equation of the line, this calculation can certainly be implemented "from first principles" directly in Maple.  However, as shown in Table 7, there is the Tangent Line task template, which we have used to find, at , the line tangent to . Both the solution and the details of the calculation are provided by this task template. 

 

Tools≻Tasks≻Browse:  

Calculus - Differential≻Applications≻Tangent Line 

Tangent Line 

Embedded component        

Embedded component   (Default value: ) 

Find Tangent Line Embedded component     Clear 

Compute Details 

Graph 

Embedded component 

Embedded component 

Embedded component 

Embedded component 

Embedded component 

Clear Details 

Clear Graph 

Table 7   Equation of a tangent line by the Tangent Line task template 

 

Normal Line 

 

It is also a staple of the calculus course to find the equation of the line normal to a curve at a given point.  Since this requires computing a derivative to obtain the slope of the tangent line, and a bit of algebra to simplify the point-slope form of the equation of the line, this calculation can certainly be implemented "from first principles" directly in Maple.  However, as shown in Table 8, there is the Normal Line task template, which we have used to find, at , the line normal to . Both the solution and the details of the calculation are provided by this task template. 

 

Tools≻Tasks≻Browse:  

Calculus - Differential≻Applications≻Normal Line 

Normal Line 

Embedded componentEmbedded component (Default value: ) 

Find Normal Line   Embedded component     Clear 

Compute Details 

Graph 

Embedded component 

Embedded component 

Embedded component 

Embedded component 

Normal Line:  Embedded component 

Clear Details 

Clear Graph 

Table 8   Equation of a normal line by the Normal Line task template 

 

Derivative by Definition 

 

Table 9 contains the "Derivatives by Definition" task template. 

 

Tools≻Tasks≻Browse:  

Calculus - Differential≻Derivatives≻Derivatives by Definition 

Derivatives by Definition 

Enter the function and the value of for which is to be obtained. 

Embedded component  

   Embedded component (Default value: ) 

Difference Quotient   Embedded component 

     Simplify 

  Derivative   Embedded component 

Clear All 

Table 9   The derivative of by definition, using the "Derivatives by Definition" task template 

 

Difference (or Newton) Quotient 

 

The difference (or Newton) quotient is the slope of the secant line, which, in the limit, becomes the slope of the tangent line.  In essence, this is the expression whose limit yields the derivative.  This calculation is captured by the Difference (or Newton) Quotient task template, as shown in Table 10. 

 

Tools≻Tasks≻Browse:  

Calculus - Differential≻Derivatives≻Difference (or Newton) Quotient 

The Difference (or Newton) Quotient 

 

Enter the function to be evaluated, the -coordinate of the point of tangency, , and , where is the 

-coordinate of the point at which the secant line will be found. 

 

Embedded component Embedded component Embedded component        Launch Tutor  Clear All 

Slope of Secant Line      Embedded component 

Equation of Secant Line   Embedded component 

Equation of Tangent Line  Embedded component 

Embedded component 

Embedded component 

Graph 

Animation 

Table 10   The difference quotient for  

 

Clicking the "Launch Tutor" button in the task template will launch the Tangent (Newton Quotient) tutor that is shown in Table 11. This tutor could be accessed independently from the Tools≻Tutors menu. 

 

Image 

Table 11   The Tangent (Newton Quotient) tutor for  

 

Implicit Differentiation 

 

The implicit derivative of defined by the equation can be obtained with the Context Menu option "Differentiate Implicitly." It can be obtained stepwise with the task template in Table 12. 

 

Tools≻Tasks≻Browse:  

Calculus - Differential≻Derivatives≻Implicit Differentiation≻  

Implicit Differentiation 

Enter an equation in two variables: 

 

Clear All 

Embedded component 

Dependent variable: Embedded component       Independent variable: Embedded component 

Implicit Derivative:  

 

Execute 

Embedded component 

Stepwise Calculation 

Make dependent variable explicit: 

 

Execute 

Embedded component 

Differentiate with respect to independent variable: 

 

Execute    Stepwise 

Embedded component 

Isolate Derivative: 

 

Execute 

Embedded component 

Make independent variable implicit: 

 

Execute 

Embedded component 

Table 12   Stepwise implicit differentiation via task template 

 

Clicking the "Stepwise" button will launch the Differentiation Methods tutor in which the derivative can be computed step-by-step. 

 

Mean Value Theorem 

 

The Mean Value theorem states that under suitable conditions, for some in the interval . In this form, the theorem relates to the linear (or tangent line) approximation.  If rearranged to 

 

 

 

the theorem has a geometric interpretation: in the interval , there is a point where the tangent line is parallel to the secant line connecting with . This is well illustrated by the Mean Value Theorem tutor shown in Table 13, where the tutor is applied to the function on the interval . 

 

Image 

Table 13   Mean Value Theorem tutor applied to on  

 

The graph in the tutor shows the geometry - the tangent line is parallel to the secant line. The value of is also determined to be , and the linear "approximation" is exact at this value because . 

 

Table 14 contains a task template that might be a more convenient implementation of the Mean Value theorem calculations. 

 

Tools≻Tasks≻Browse:  

Calculus - Differential≻Theorems≻Mean Value Theorem 

Mean Value Theorem 

Enter and an interval  

Embedded component  Clear 

Embedded component 

Mean Value Theorem                     Clear 

Embedded component         Embedded component 

 

   Clear a            Clear b 

  Computational Mode: 

 

Analytic        Numeric 

 

Embedded component 

Table 14   Mean Value theorem via task template 

 

The task template has two advantages: the value of can be obtained exactly, when possible; and the display of the linear approximation is easier to read. 

 

Rolle's Theorem 

 

Rolle's theorem states that under suitable conditions, when , there is in the interval where the tangent line is horizontal, that is, where . This theorem, used to prove the Mean Value theorem, is illustrated by the graph in Table 15, constructed with the RollesTheorem command in the Student Calculus 1 package. 

 

Loading Student:-Calculus1  

 

Plot_2d
 

Table 15   Rolle's theorem illustrated by the RollesTheorem command 

 

The usage 

 

 

 

returns the value of at which the horizontal tangent is found. 

 

Table 16 contains a task template that might be a more convenient implementation of the Rolle's theorem calculations. 

 

Tools≻Tasks≻Browse:  

Calculus - Differential≻Theorems≻Rolle's Theorem 

Rolle's Theorem 

Enter and an interval for which  

Embedded component  Clear 

Embedded component 

Rolle's Theorem              Clear 

Embedded component         Embedded component 

 

   Clear a            Clear b 

  Computational Mode: 

 

Analytic        Numeric 

Points where : 

Embedded component 

Table 16   Rolle's theorem via task template 

 

Curve Analysis 

 

In the era before the widespread availability of graphing hardware and software, a significant portion of a first calculus course was devoted to curve sketching. Surprisingly, few modern calculus texts deviate from this historic practice, in spite of the reasonable cost of graphing technology. 

 

Maple has a Curve Analysis tutor that implements its FunctionChart (equivalently, FunctionPlot) command. In addition to drawing an annotated graph, the tutor provides much of the data upon which the traditional approach to curve sketching is based. Unfortunately, when the tutor is closed, only the graph is preserved.  Hence, the task template "Find Special Points on a Function" is a useful addition to the tutor. 

 

Table 17 shows the tutor applied to the function on the interval . 

 

Image 

Table 17   The Curve Analysis tutor applied to  

 

Clicking on the eight radio-buttons provides the raw data with which a graph could be sketched in the historic approach to this task. 

 

Table 18 shows, for the function 

 

 

 

some of this information being captured with a task template. 

 

Tools≻Tasks≻Browse:  

Calculus - Differential≻Graphical Analysis≻Find Special Points on a Function 

>
 

proc (x) options operator, arrow; `+`(`*`(`^`(x, 3)), `*`(3, `*`(`^`(x, 2))), `-`(`*`(5, `*`(x))), `-`(1)) end proc (11)
 

>
 

(12)
 

>
 

[`+`(`-`(1), `-`(`*`(`/`(2, 3), `*`(`^`(6, `/`(1, 2)))))), `+`(`-`(1), `*`(`/`(2, 3), `*`(`^`(6, `/`(1, 2)))))] (13)
 

>
 

[`+`(`-`(1), `-`(`*`(`/`(2, 3), `*`(`^`(6, `/`(1, 2)))))), `+`(`-`(1), `*`(`/`(2, 3), `*`(`^`(6, `/`(1, 2)))))] (14)
 

>
 

[-1] (15)
 

>
 

(16)
 

>
 

Table 18   The task template "Find Special Points on a Function" applied to  

 

The graph in Table 17 shows that has three -intercepts in the interval , yet the Roots command did not find any zeros.  The following modification of the Roots command  

 

 

[-4.147430234, -.1814419483, 1.328872182]
 

 

yields the three -intercepts as floating-point numbers.  These values are the same as those computed via 

 

 

-4.147430234, -.1814419483, 1.328872182
 

 

Maple's solve command returns the exact solutions on the left in Table 19. Although these solutions contain , they are actually real, as can be seen from their equivalents shown on the right. 

 

 


 

 

 


 

 

Table 19   Exact zeros of the cubic function  

 

Integral Calculus 

Methods of Integration 

 

The Integration Methods tutor, shown in Table 20 as a screen-shot, will guide the integration process. This tutor is available from the Tools menu, or from the Context Menu after the Student Calculus 1 package has been loaded. 

 

Image 

Table 20   The Integration Methods tutor applied to  

 

The sequence of steps can be copied and pasted from the tutor, but that does not salvage the per-step annotations.  Closing the tutor only provides the final answer, not the intermediate steps. The greatest value in the tutor seems to be its use as an experimental platform for investigating how an integral might be evaluated. 

 

The annotated stepwise solution shown in Table 21 is available via the ShowSteps command, or better yet, from the Context Menu under the Solve≻Show Solution Steps option (after loading the Student Calculus 1 package with the Tools menu option: Load Package). 

 

Loading Student:-Calculus1  

 

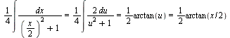
Int(`/`(1, `*`(`+`(`*`(`^`(x, 2)), 4))), x)
 

 

 

Table 21   Stepwise integration via the Solve≻Show Solution Steps option in the Context Menu 

 

The integral operator is not black, but gray, the inert form of the operator, obtained by applying the Context Menu: 2-D Math≻Convert To≻Inert Form to the operator in the Expression palette. 

 

The change annotation in Table 8 includes the required change of variable, something that the tutor does not provide. Note too, that the procedure followed by Maple is not the only method of solution.  It is also possible to "factor out the 4" and set to obtain 

 

 

 

Riemann Sums 

 

The Riemann sum for finding the area bounded by and the -axis can be explored graphically and numerically by tutor; and analytically, by task template. 

 

Table 22 shows the Riemann Sums tutor applied to this function. 

 

Image 

Table 22   Application of the Riemann Sums tutor to the function  

 

By default, a midpoint sum is chosen, but we have elected to demonstrate the left sum. The graph shows the interval divided into equal subintervals, each one supporting a rectangle whose height is determined at the left edge of the subinterval. The area under curve is displayed, along with the approximate area, namely, the sum of the areas in the left-rectangles. 

 

Table 23 shows via task template the analytic evaluation of the corresponding Riemann sum for , arbitrary, rectangles. 

 

Tools≻Tasks≻Browse:  

Calculus - Integral≻Integration≻Riemann Sums≻Left 

The Left Riemann Sum 

Enter : 

>
 

`+`(6, x, `-`(`*`(`^`(x, 2)))) (17)
 

Enter the interval : 

>
 

[-2, 3] (18)
 

Enter the value of : 

>
 

n (19)
 

The left Riemann sum: 

>
 

`+`(`/`(`*`(5, `*`(Sum(`+`(4, `/`(`*`(5, `*`(i)), `*`(n)), `-`(`*`(`^`(`+`(`-`(2), `/`(`*`(5, `*`(i)), `*`(n))), 2)))), i = 0 .. `+`(n, `-`(1))))), `*`(n))) (20)
 

Value of the Riemann sum: 

>
 

`+`(`/`(`*`(5, `*`(`+`(`*`(`/`(25, 6), `*`(n)), `-`(`/`(`*`(`/`(25, 6)), `*`(n)))))), `*`(n))) (21)
 

>
 

Table 23   Analytic approach to left Riemann sum for by task template 

 

Of course, the analytic expression obtained for this left Riemann sum approaches as . 

 

Numeric Integration 

 

The Riemann Sums tutor is actually the Approximate Integration tutor. This one tutor can be used to explore Riemann sums, or different methods of numeric integration. Underlying this tutor is the ApproximateInt command from the Student Calculus1 package. 

 

Table 24 shows the ApproximateInt command applied to the function , integrated by the trapezoid rule. The command can output a graph, a sum, the value of the sum, or an animation. 

 


 

`+`(`*`(`/`(1, 10), `*`(Pi, `*`(Sum(`+`(sin(`+`(`*`(`/`(1, 5), `*`(i, `*`(Pi))))), sin(`+`(`*`(`/`(1, 5), `*`(`+`(i, 1), `*`(Pi)))))), i = 0 .. 4)))))
 


 

`+`(`*`(`/`(1, 10), `*`(Pi, `*`(`^`(2, `/`(1, 2)), `*`(`+`(`*`(`^`(`+`(5, `-`(`*`(`^`(5, `/`(1, 2))))), `/`(1, 2))), `*`(`^`(`+`(5, `*`(`^`(5, `/`(1, 2)))), `/`(1, 2)))))))))
 


 

Plot_2d
 

Table 24   The ApproximateInt command  

 

Surface Area of a Surface of Revolution 

 

The surface area of the surface of revolution formed when , is rotated about the -axis can be computed by means of the Surface of Revolution tutor, as shown in Table 25. 

 

Image 

Table 25  Surface of Revolution tutor used to obtain the surface area of a surface of revolution 

 

In addition to the graph, this tutor displays the integral whose value is the required surface area, the exact value of the integral, and its floating-point equivalent. Clicking the "Frustums" radio button and then the "Display" button will show the surface approximated by segments (frustums) of cones. After these choices have been made, the display will include a Riemann-sum approximation corresponding to the discretization. 

 

Volume of a Solid of Revolution 

 

The volume of the solid of revolution formed when , is rotated about the -axis can be computed by means of the Volume of Revolution tutor, as shown in Table 26. 

 

Image 

Table 26   Volume of Revolution tutor used to obtain the volume of a solid of revolution. 

 

In addition to the graph, this tutor displays the integral whose value is the required volume, the exact value of the integral, and its floating-point equivalent. For a horizontal axis of rotation, the "Disks" radio button is available; for a vertical axis, the "Shells" radio button is available. If "Disks" are selected, the solid is shown segmented into the chosen number of disks, and the display will include the corresponding Riemann sum. A similar statement can be made for shells, mutatis mutandis. In either event, the corresponding Riemann-sum approximation is provided. 

 

Stepwise Calculus of Several Variables 

The MultiInt Command 

 

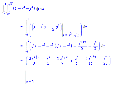
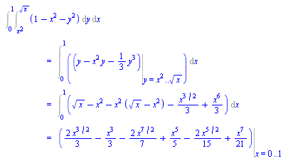
The MultiInt command of the Student Multivariate Calculus package will formulate and evaluate an iterated multiple integral.  One of its output options is a display of the steps involved in executing the calculation. Table 27 shows the use of this command to evaluate the volume of the region  

 

 

 

Loading Student:-MultivariateCalculus  

 

 

`/`(17, 105)
 

Table 27   Volume of the region computed stepwise by the MultiInt command 

 

The first line of the output is the unevaluated integral; and the last, the value of the integral. The second line shows the outer integral after the inner integral has been evaluated as far as the antiderivative with respect to .  For this antiderivative, has been held fixed. The antiderivative must be evaluated at the limits in the inner integral. The third line shows the outer integral completely in . The fourth line is the antiderivative with respect to that must be evaluated at the limits in the outer integral.  The final value is in the last line. 

 

This integration tool is available as the task template in Table 28. 

 

Tools≻Tasks≻Browse:  

Calculus - Multivariate≻Integration≻Multiple Integration≻Cartesian 2-D 

Iterated Double Integral in Cartesian Coordinates 

Integrand: 

>
 

`+`(1, `-`(`*`(`^`(x, 2))), `-`(`*`(`^`(y, 2)))) (22)
 

Region:  

 

>
 

`*`(`^`(x, 2)) (23)
 

 

>
 

`*`(`^`(x, `/`(1, 2))) (24)
 

 

>
 

0 (25)
 

 

>
 

1 (26)
 

Inert integral:  

>
 

Int(Int(`+`(1, `-`(`*`(`^`(x, 2))), `-`(`*`(`^`(y, 2)))), y = `*`(`^`(x, 2)) .. `*`(`^`(x, `/`(1, 2)))), x = 0 .. 1) (27)
 

Value: 

>
 

`/`(17, 105) (28)
 

Stepwise Evaluation: 

>
 

 

`/`(17, 105) (29)
 

>
 

Table 28   Access to the MultiInt command through a task template 

 

Visualizing Regions of Integration 

Cartesian Coordinates: 2D 

 

Integrate over the plane region bounded by the curves and . 

 

The task template in Table 29 provides a solution. The location of the task template is given at the top of the table. 

 

Tools≻Tasks≻Browse:  

Calculus - Multivariate≻Integration≻Visualizing Regions of Integration≻Cartesian 2-D 

Evaluate and Graph  

Area Element  

 

Embedded component 

Embedded component, Embedded component   Clear 

Value of Integral 

Embedded component 

Exact       Numeric 

Embedded componentClear 

Embedded componentClear 

Embedded componentClear 

Embedded componentClear 

 

 

 

 

Draw Graphs 

 

 

 

Clear Graphs 

 

 

 

Clear All 

 

Bounding Curves 

Embedded component 

"Volume" 

Embedded component 

Table 29   Task template for an iterated double integral in Cartesian coordinates 

 

After selecting the order of integration (here, ), and entering the relevant data, the graph of the left shows that the inner (or first) integral is in the -direction. The graph of the left shows the region whose "volume" is computed if the function is interpreted as defining a surface . 

 

Cartesian Coordinates: 3D 

 

Compute the first-octant volume bounded by the cylinder and the plane . 

 

The region whose volume is to be computed is the scrap cut off from a piece of quarter-round molding when its left end is mitered at a angle prior to fitting it into an inside corner.  The task template in Table 30 provides an image of this region. 

 

Tools≻Tasks≻Browse:  

Calculus - Multivariate≻Integration≻Visualizing Regions of Integration≻Cartesian 3-D 

Evaluate and Graph  

Volume Element  

 

Embedded component 

  Embedded component, where Embedded component   Clear 

Embedded componentClear 

Embedded componentClear 

Embedded componentClear 

Embedded componentClear 

Embedded componentClear 

Embedded componentClear 

 

Exact Value               Floating-Point Value 

 

Embedded component 

 

Plot       Clear Graph            Clear All 

 

Embedded component 

 

Table 30   Task template for an iterated triple integral in Cartesian coordinates 

 

A common order for an iterated triple integral in Cartesian coordinates is . Surprisingly, the order used in Table 30 results in an iterated integral for which the upper bound in both the first and second integral is the same! The visual feedback from the graph in Table 30 suggests that the region has been correctly swept by writing the integral as shown. 

 

Polar Coordinates 

 

Compute the area inside the lima?on . 

 

The task template in Table 31 provides a solution. The location of the task template is given at the top of the table. 

 

Tools≻Tasks≻Browse:  

Calculus - Multivariate≻Integration≻Visualizing Regions of Integration≻Polar 

Evaluate and Graph  

Area Element  

 

 

 

Embedded component, Embedded component  

Clear                

Value of Integral 

Embedded component 

Exact       Numeric 

Embedded componentClear 

Embedded componentClear 

Embedded componentClear 

Embedded componentClear 

 

 

 

 

Draw Graphs 

 

 

 

Clear Graphs 

 

 

 

Clear All 

 

Bounding Curves 

Embedded component 

"Volume" 

Embedded component 

Table 31   Task template for an iterated double integral in polar coordinates 

 

The graph on the left is an animation, showing how the radius varies with angle. The graph on the right shows the volume computed when the integrand is . The number computed by the integral is then the requisite area. 

 

Cylindrical Coordinates 

 

Use cylindrical coordinates to calculuate the volume of the solid cut from a unit sphere by a cone whose vertex is at the center of the sphere, and whose generator makes a angle with the axis of symmetry of the cone. 

 

The task template in Table 32 provides a solution. The location of the task template is given at the top of the table. 

 

Tools≻Tasks≻Browse:  

Calculus - Multivariate≻Integration≻Visualizing Regions of Integration≻Cylindrical 

Evaluate and Graph  

Volume Element  

 

 

 

 

 

 

 

 

 

 

 

 

  Embedded component, where Embedded component   Clear 

Embedded componentClear 

Embedded componentClear 

Embedded componentClear 

Embedded componentClear 

Embedded componentClear 

Embedded componentClear 

 

Exact Value               Floating-Point Value 

 

Embedded component 

 

Plot       Clear Graph            Clear All 

 

Embedded component 

 

Table 32   Task template for an iterated triple integral in cylindrical coordinates 

 

As long as the integration in the -direction precedes the integration in the -direction, the volume can be computed with a single triple integral. 

 

Spherical Coordinates 

 

 

Use spherical coordinates to calculate the volume of the solid cut from a unit sphere by a cone whose vertex is at the center of the sphere, and whose generator makes a angle with the axis of symmetry of the cone. 

 

The task template in Table 33 provides a solution. The location of the task template is given at the top of the table. 

 

Tools≻Tasks≻Browse:  

Calculus - Multivariate≻Integration≻Visualizing Regions of Integration≻Spherical 

Evaluate and Graph  

Volume Element



 

 

 

 

 

 

 

 

 

 

 

 

 

  Embedded component, where Embedded component   Clear 

Embedded componentClear 

Embedded componentClear 

Embedded componentClear 

Embedded componentClear 

Embedded componentClear 

Embedded componentClear 

 

Exact Value               Floating-Point Value 

 

Embedded component 

 

Plot       Clear Graph            Clear All 

 

Embedded component 

 

Table 33   Task template for an iterated triple integral in spherical coordinates 

 

Critical Points and the Second-Derivative Test 

 

A common task in the first multivariate calculus course is the determination and classification of critical points of a multivariate function.  Table 34 addresses this with a task template. 

 

Tools≻Tasks≻Browse: Multivariate Calculus≻Critical Points & Second Derivative Test 

Critical Points and the Second Derivative Test 

Objective Function  

>
 

`+`(`*`(`^`(x, 2)), `*`(3, `*`(x, `*`(`^`(y, 2)))), `-`(`*`(5, `*`(`^`(y, 3))))) (30)
 

List of Independent Variables 

>
 

[x, y] (31)
 

Equations  

>
 

[`+`(`*`(2, `*`(x)), `*`(3, `*`(`^`(y, 2)))), `+`(`*`(6, `*`(x, `*`(y))), `-`(`*`(15, `*`(`^`(y, 2)))))] (32)
 

Critical Points 

>


 

[[0, 0], [-`/`(25, 6), -`/`(5, 3)]] (33)
 

Second Derivative Test 

>
 

LocalMin = [], LocalMax = [], Saddle = [[-`/`(25, 6), -`/`(5, 3)]] (34)
 

Hessians and their Eigenvalues 

>



 

 

(35)
 

>
 

Table 34   Finding and classifying critical points for a multivariate function 

 

The given function has two critical points, both found with the Solve command. However, the format of the solution is not "points" so the output has to put into the form of a list of lists. The second-derivative test is applied to each point. The origin cannot be classified by this test, so nothing is said about it by the test.  The other point is found to be a saddle point. In the final "row" of the template, the Hessian matrix (the matrix of second derivatives) and its eigenvalues is given for each point. Since the Hessian is symmetric, the signs of its eigenvalues suffice to determine if the matrix is positive or negative definite, or even indefinite.  At the origin, the Hessian has a zero eigenvalue, and is singular.  That is why the origin cannot be classified by the second-derivative test.  The eigenvalues at the other point are of opposite sign, so the Hessian there is indefinite.  That's why the second point is a saddle. 

 

Center of Mass 

 

The Student Precalculus package contains a CenterOfMass command that will determine the center of mass of a discrete distribution of masses in . The Student Multivariate Calculus package contains a CenterOfMass command that will determine the center of mass of a continuous distribution of mass in or , using Cartesian, polar, spherical, or cylindrical coordinates. In each case, this command writes the expressions for the coordinates of the center of mass, then evaluates the integrals expressing the appropriate moments and total mass. In (Cartesian and polar), the CenterOfMass command can draw a graph of the density function over the planar region on which it is defined. All of the continuous cases are implemented in task templates. 

 

Cartesian 2-D 

 

To find the center of mass of the planar region 

 

 

 

whose density is , use the task template in Table 35. 

 

Tools≻Tasks≻Browse: Multivariate Calculus≻Center of Mass≻Cartesian 2-D 

Center of Mass for Planar Region in Cartesian Coordinates 

Density: 

>
 

`*`(`^`(x, 2), `*`(y)) (36)
 

Region:  

 

>
 

`*`(`^`(x, 2)) (37)
 

 

>
 

`*`(`^`(x, `/`(1, 2))) (38)
 

 

>
 

0 (39)
 

 

>
 

1 (40)
 

MomentsMass: 

Inert Integral -  

>
 

`/`(`*`(Int(Int(`*`(`^`(x, 3), `*`(y)), y = `*`(`^`(x, 2)) .. `*`(`^`(x, `/`(1, 2)))), x = 0 .. 1)), `*`(Int(Int(`*`(`^`(x, 2), `*`(y)), y = `*`(`^`(x, 2)) .. `*`(`^`(x, `/`(1, 2)))), x = 0 .. 1))), `... (41)
 

Explicit values for and  

>
 

`/`(7, 10), `/`(56, 81) (42)
 

Plot: 

>
 

Plot_2d
 

>
 

Table 35   Center of mass of a planar region in Cartesian coordinates 

 

The red region in the graph is the planar region whose center of mass is located at the green dot, whereas the blue surface is a graph of the density function . 

 

Polar 

 

To find the center of mass of the planar region 

 

 

 

whose density is , use the task template in Table 36. 

 

Tools≻Tasks≻Browse: Multivariate Calculus≻Center of Mass≻Polar 

Center of Mass for Planar Region in Polar Coordinates 

Density: 

>
 

`*`(`^`(r, 2)) (43)
 

Region:  

 

>
 

1 (44)
 

 

>
 

2 (45)
 

 

>
 

`+`(`*`(`/`(1, 6), `*`(Pi))) (46)
 

 

>
 

`+`(`*`(`/`(1, 3), `*`(Pi))) (47)
 

MomentsMass: 

Inert Integral -  

>
 

`/`(`*`(Int(Int(`*`(cos(theta), `*`(`^`(r, 4))), r = 1 .. 2), theta = `+`(`*`(`/`(1, 6), `*`(Pi))) .. `+`(`*`(`/`(1, 3), `*`(Pi))))), `*`(Int(Int(`*`(`^`(r, 3)), r = 1 .. 2), theta = `+`(`*`(`/`(1, 6)... (48)
 

Explicit values for and  

>
 

`+`(`/`(`*`(`/`(8, 5), `*`(`^`(2, `/`(1, 2)), `*`(`+`(`-`(`/`(31, 10)), `*`(`/`(31, 10), `*`(`^`(3, `/`(1, 2)))))))), `*`(Pi))), `+`(`*`(`/`(1, 4), `*`(Pi))) (49)
 

Plot: 

>
 

Plot_2d
 

>
 

Table 36   Center of mass of a planar region in polar coordinates 

 

The red region in the graph is the planar region whose center of mass is located at the green dot, whereas the blue surface is a graph of the density function . 

 

Cartesian 3-D 

 

To find the center of mass of the region 

 

 

 

whose density is , use the task template in Table 37. 

 

Tools≻Tasks≻Browse: Multivariate Calculus≻Center of Mass≻Cartesian 3-D 

Center of Mass for 3D Region in Cartesian Coordinates 

Density: 

>
 

`*`(x, `*`(y, `*`(z))) (50)
 

Region:  

 

>
 

`+`(1, `-`(x), `-`(y)) (51)
 

 

>
 

`+`(10, `-`(`*`(`^`(x, 2))), `-`(`*`(`^`(y, 2)))) (52)
 

 

>
 

`*`(`^`(x, 2)) (53)
 

 

>
 

`*`(`^`(x, `/`(1, 2))) (54)
 

 

>
 

0 (55)
 

 

>
 

1 (56)
 

MomentsMass: 

Inert Integral -  

>
 

`/`(`*`(Int(Int(Int(`*`(`^`(x, 2), `*`(y, `*`(z))), z = `+`(1, `-`(x), `-`(y)) .. `+`(10, `-`(`*`(`^`(x, 2))), `-`(`*`(`^`(y, 2))))), y = `*`(`^`(x, 2)) .. `*`(`^`(x, `/`(1, 2)))), x = 0 .. 1)), `*`(I... (57)
 

Explicit values for , , and  

>
 

`/`(9316139, 14918332), `/`(9316139, 14918332), `/`(3507743, 573782) (58)
 

>
 

Table 37   Center of mass of a spatial region in Cartesian coordinates 

 

The task template fixes the order of integration, but the CenterOfMass command will accept any of the other five possible orders for integration over a region in . 

 

Cylindrical 

 

To find the center of mass of the region 

 

 

 

whose density is , use the task template in Table 38. 

 

Tools≻Tasks≻Browse: Multivariate Calculus≻Center of Mass≻Cylindrical 

Center of Mass for 3D Region in Cylindrical Coordinates 

Density: 

>
 

`*`(`^`(z, 2)) (59)
 

Region:  

 

>
 

`*`(`^`(r, 2)) (60)
 

 

>
 

1 (61)
 

 

>
 

0 (62)
 

 

>
 

1 (63)
 

 

>
 

0 (64)
 

 

>
 

`+`(`*`(`/`(1, 3), `*`(Pi))) (65)
 

Moments ? Mass:Inert Integral -  

>
 

`/`(`*`(Int(Int(Int(`*`(cos(theta), `*`(`^`(r, 2), `*`(`^`(z, 2)))), theta = 0 .. `+`(`*`(`/`(1, 3), `*`(Pi)))), z = `*`(`^`(r, 2)) .. 1), r = 0 .. 1)), `*`(Int(Int(Int(`*`(r, `*`(`^`(z, 2))), theta =... (66)
 

Explicit values for , , and , the center of mass given in cylindrical coordinates: 

>
 

`+`(`/`(`*`(`/`(16, 9)), `*`(Pi))), `+`(`*`(`/`(1, 6), `*`(Pi))), `/`(4, 5) (67)
 

>
 

Table 38   Center of mass of a spatial region in cylindrical coordinates 

 

Spherical 

 

To find the center of mass of the region 

 

 

 

whose density is , use the task template in Table 39. 

 

Tools≻Tasks≻Browse: Multivariate Calculus≻Center of Mass≻Spherical 

Center of Mass for 3D Region in Spherical Coordinates 

( is the colatitude, measured down from the -axis) 

Density: 

>
 

rho (68)
 

Region:  

 

>
 

0 (69)
 

 

>
 

1 (70)
 

 

 

>
 

0 (71)
 

 

 

>
 

`+`(`*`(`/`(1, 6), `*`(Pi))) (72)
 

 

 

>
 

0 (73)
 

 

 

>
 

`+`(`*`(2, `*`(Pi))) (74)
 

 

Moments ? Mass:Inert Integral -  

>
 

`/`(`*`(Int(Int(Int(`*`(`^`(sin(phi), 2), `*`(cos(theta), `*`(`^`(rho, 4)))), theta = 0 .. `+`(`*`(2, `*`(Pi)))), phi = 0 .. `+`(`*`(`/`(1, 6), `*`(Pi)))), rho = 0 .. 1)), `*`(Int(Int(Int(`*`(`^`(rho,...
`/`(`*`(Int(Int(Int(`*`(`^`(sin(phi), 2), `*`(cos(theta), `*`(`^`(rho, 4)))), theta = 0 .. `+`(`*`(2, `*`(Pi)))), phi = 0 .. `+`(`*`(`/`(1, 6), `*`(Pi)))), rho = 0 .. 1)), `*`(Int(Int(Int(`*`(`^`(rho,...
(75)
 

 

Explicit values for , and , the center of mass given in spherical coordinates: 

>
 

`+`(`/`(`*`(`/`(1, 20), `*`(Pi)), `*`(`+`(`*`(`/`(1, 2), `*`(Pi)), `-`(`*`(`/`(1, 4), `*`(Pi, `*`(`^`(3, `/`(1, 2)))))))))), 0, 0 (76)
 

 

>
 

Table 39   Center of mass of a spatial region in spherical coordinates 

 

 

Legal Notice: ? Maplesoft, a division of Waterloo Maple Inc. 2010. Maplesoft and Maple are trademarks of Waterloo Maple Inc. This application may contain errors and Maplesoft is not liable for any damages resulting from the use of this material. This application is intended for non-commercial, non-profit use only. Contact Maplesoft for permission if you wish to use this application in for-profit activities.