Application Center - Maplesoft

App Preview:

Introduction to infinite series

You can switch back to the summary page by clicking here.

Learn about Maple
Download Application


 

L16-series1.mws

Calculus II

Lesson 16: Introduction to Infinite Series

Infinite Series

What does it mean to add up a sequence of numbers? (Remember that sequences are always infinite, so this is a question about adding up an infinite set of numbers.) As explained in Section 10.2, to compute the sum sum(a_n,n = 1 .. infinity) , we first form the sequence s of partial sums:

s_1 = a_1 , s_2 = a_1+a_2 , s_3 = a_1+a_2+a_3 , ... ,

whose general term is

s_n = sum(a_i,i = 1 .. n) = a_1 + a_2 + a_3 + ... + a_n ,

and then compute the limit s = limit(s_n,n = infinity) .

This procedure can be very hard to do directly by hand---a large part of Chapter 10 is devoted to showing you ways of doing it indirectly---but it is sometimes feasible with Maple . Let's look at summing the series

sum((5/9)^n,n = 0 .. infinity) .

We begin by defining the sequence a of terms of the series, and the sequence s of partial sums. To save some typing, we will use the function syntax to define a_n and s_n as functions of n . Note that both sequences actually start with n = 0 , rather than n = 1 , since the first term in the sum is n = 0 .

> a := proc(n) (5/9)^n end:

> s := proc(n) sum(a(i), i=0..n) end:

We can now easily print out the first few terms; for example,

> a(n) $n=0..10;

1, 5/9, 25/81, 125/729, 625/6561, 3125/59049, 15625...

Similarly, here are the first few partial sums:

> s(n) $n=0..10;

1, 14/9, 151/81, 1484/729, 13981/6561, 128954/59049...

Notice that these two sequences are different!!! The second sequence consists of sums of the terms in the first sequence; for example, the first three partial sums are

> a(0); a(0) + a(1); a(0) + a(1) + a(2);

1

14/9

151/81

In case you still need convincing, here are plots of the two sequences. First is a plot of the sequence of terms; next is a plot of the sequence of partial sums.

> plot([[n,a(n)] $n=0..50], x=0..50, style=point);

[Maple Plot]

> plot([[n,s(n)] $n=0..50], x=0..50, style=point);

[Maple Plot]

The sequences of terms appears to converges to 0, and you can check with limit that this is correct. This does not mean that the series has a sum of 0. The sum of the series is the limit of the partial sums:

> limit(s(n), n=infinity);

9/4

This means we can write sum((5/9)^n,n = 0 .. infinity) = 9/4 . Not surprisingly, Maple could have given us this answer in one step.

> sum((5/9)^n, n=0..infinity);

9/4

>

Question 4

For each of the following series, define the sequence of terms and the sequence of partial sums, then find the sum of the series by taking the limit of the latter, if it exists. (Some of the series may diverge.) For each example, check your result by asking Maple to sum the series.

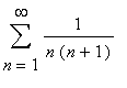
(a) sum(5/((-2)^n),n = 1 .. infinity) (b) sum(1/(n*(n+1)),n = 1 .. infinity) (c) sum(1/n,n = 1 .. infinity) (d) sum(1/(n^2),n = 1 .. infinity)

(Hint for (b): if Maple has trouble computing the partial sums of this one, use partial fractions.)

Solutions. Here is the first series:

> a := proc(n) 5/(-2)^n end:

> s := proc(n) sum(a(j), j=1..n) end:

> limit(s(n), n=infinity);

-5/3

Series (a) converges, and its sum is -5/3. We can now do the others just by re-defining a ; since all our series start the summation at n = 1 , the expression for s in terms of a will be the same every time.

> a := proc(n) 1/(n*(n+1)) end:

> limit(s(n), n=infinity);

1

Series (b) converges, with sum 1.

> a := proc(n) 1/n end:

> limit(s(n), n=infinity);

infinity

The answer infinity shows that series (c) diverges.

> a := proc(n) 1/n^2 end:

> limit(s(n), n=infinity);

1/6*Pi^2

Series (d) converges, with sum Pi^2 /6 . (Strange but true: what has Pi have to do with summing reciprocals of squares of positive integers?)