Application Center - Maplesoft

App Preview:

Limites multidirectionnelles

You can switch back to the summary page by clicking here.

Learn about Maple
Download Application


 

limitemulti.mw

[Inserted Image]Limites multidirectionnelles  

Pierre Lantagne (fvrier 2001)

Collge de Maisonneuve

plantag@edu.cmaisonneuve.qc.ca

http://math.cmaisonneuve.qc.ca/plantagne

Cas o la limite existe

Soit la fonction f dfinie par f(x, y) = 10+x*y^2 .

On a que dom[f] = R.

Traons cette fonction sur un pav circulaire centr l'origine de rayon 5, soit pour x epsilon [-5, 5] et pour y epsilon [-sqrt(25-x^2), sqrt(25-x^2) ].

> f:=(x,y)->10+x*y^2;

f := proc (x, y) options operator, arrow; 10+x*y^2 end proc

> Surface:=plot3d([x,y,f(x,y)],x=-5..5,y=-sqrt(25-x^2)..sqrt(25-x^2),
           grid=[30,30],

           axes=boxed,linestyle=0):

> with(plots,display):

> Vue:=display(Surface):

> display(Vue,shading=ZHUE,orientation=[45,80]);

[Plot]

>

Slectionnez le graphique et en tenant le bouton gauche de la souris press, modifiez l'orientation du graphique. La perception de la troisime dimension sera son maximum.

Illustrons graphiquement l'existence de la limite de cette fonction lorsque proc (x, y) options operator, arrow; 1, 2 end proc .

Traons nouveau cette fonction mais sur un pav rectangulaire pour illustrer notre propos. Soit donc pour x epsilon [-2, 3] et pour y epsilon [-2, 3].

> Surface:=plot3d([x,y,f(x,y)],x=-2..3,y=-2..3,
           grid=[20,20],

           axes=normal,linestyle=2):

> Vue_1:=display(Surface):

> display(Vue_1,shading=ZHUE,orientation=[30,60]);

[Plot]

>

Puisque dom[f] = R, quelque soit le vosinage de (1,2), la fonction f est toujours dfinie.

Superposons au graphique prcdent, un voisinage circulaire de (1,2) et ralisons le trac de l'image de ce voisinage:

ce voisinage sera visualis par un cercle centr au point (1,2,0) dans le plan XY

l'image de ce voisinage sera visualis par la portion intrieure de la surface limite par l'image du primtre du voisinage de (1,2,0).

> with(plots,spacecurve):

> Voisinage:=spacecurve([1+cos(t)/4,2+sin(t)/4,0],t=0..2*Pi,color=orange,thickness=2):
Image:=spacecurve([1+cos(t)/4,2+sin(t)/4,f(1+cos(t)/4,2+sin(t)/4)],t=0..2*Pi,

       color=orange,

       thickness=2):

Horizontale:=spacecurve([1,t,0],t=0..2,color=black,thickness=1):

Verticale:=spacecurve([t,2,0],t=0..1,color=black,thickness=1):

> Vue_2:=display([Vue_1,Voisinage,Image,Horizontale,Verticale]):

> display(Vue_2,shading=ZHUE,orientation=[25,77]);

[Plot]

>

Illustrons maintenant la projection de ces images sur le plan XZ et bornons, dans le plan XZ, la cote de ces images entre les traces des plans d'quations   z = 14-epsilon et z = 14+epsilon en prenant epsilon = 2 .

> Proj_xz:=spacecurve([1+cos(t)/4,0,f(1+cos(t)/4,2+sin(t)/4)],t=0..2*Pi,
       color=orange,

       thickness=2):

Verticale:=spacecurve([1,2,t],t=0..f(1,2),linestyle=2,thickness=1,color=orange):

Horizontale:=spacecurve([1,t,f(1,2)],t=0..2,linestyle=2,thickness=1,color=orange):

L:=spacecurve([t,0,14],t=0..3,thickness=2,color=orange,linestyle=2):

epsilon:=2:

L_moins_delta:=spacecurve([t,0,14-epsilon],t=0..3,thickness=2,color=khaki,linestyle=2):

L_plus_delta:=spacecurve([t,0,14+epsilon],t=0..3,thickness=2,color=khaki,linestyle=2):

> Vue_3:=display([Vue_2,L,L_moins_delta,L_plus_delta,Proj_xz,Verticale,Horizontale]):

> display(Vue_3,shading=ZHUE,orientation=[45,60]);

[Plot]

>

Effectuons un zoom vers l'avant pour mieux voir

> display(Vue_3,shading=ZHUE,view=[0..3,0..3,0..20],orientation=[45,60]);

[Plot]

>

Visualisons la courbe sur la surface entre les plans d'quations  z = 14-epsilon et z = 14+epsilon

> Plan_sup:=plot3d([x,y,14+epsilon],x=0..3,y=0..3,style=WIREFRAME,color=wheat):
Plan_inf:=plot3d([x,y,14-epsilon],x=0..3,y=0..3,style=PATCHNOGRID,color=wheat):

Vue_4:=display([Voisinage,Image,L,L_moins_delta,L_plus_delta,Proj_xz,Verticale,Horizontale],

Plan_sup,Plan_inf):

> display(Vue_4,shading=ZHUE,Surface,axes=normal,orientation=[27,87]);

[Plot]

>

Effectuons un zoom vers l'avant et n'affichons pas la surface afin de mieux visualiser les valeurs d'images qui sont comprises entre ces deux plans.

> display(Vue_4,axes=normal,orientation=[26,82]);

[Plot]

>

On voit mieux maintenant que pour tout 0 < epsilon , il sera toujours possible d'obtenir un voisinage circulaire de (1,2,0) de telle manire que les cotes de toutes les images de ce voisinage seront comprises entre les plans d'quations  z = 14-epsilon et d'quation  z = 14+epsilon .

valuons finalement cette limite avec Maple.

> 'limit'(f(x,y),{x=1,y=2})=limit(f(x,y),{x=1,y=2});

limit(10+x*y^2, {x = 1, y = 2}) = 14

>

REMARQUE: Dans le cas d'une fonction o l'image d'un voisinage trou W[0](a, b) ne serait pas plane ( le cas o il y aurait des bosses) , il est clair que la projection dans le plan XZ de l'image de la "frontire de W[0](a, b) " pourrait ne pas contenir le maximum et/ou le minimun de l'image. Dans de tels cas, cette projection dans le plan XZ ne serait pas approprie pour ce voisinage W[0](a, b) . Mais, il n'en demeure pas moins, lorsque la limite existe, qu'il sera toujours possible d'obtenir un W[0](a, b) de telle manire que l'image de ce voisinage soit tout entier compris entre les plans d'quations  z = 14-epsilon et  z = 14+epsilon , et ce, quelque soit epsilon .

>

Cas o la limite n'existe pas

Cas o la limite n'existe pas par dfaut

Soit la fonction f dfinie par f(x) = (x^2+y^2)/(x+y) .

Illustrons graphiquement que la limite de cette fonction lorsque proc (x, y) options operator, arrow; 0, 0 end proc n'existe pas par dfaut. En effet, puisque le dom[f] =  RxR \ {(x,y) | y = -x }, tout voisinage de (0,0) possde des points de la droite d'quation y = -x . Et donc, que la limite n'existe pas.

Montrons graphiquement qu'il n'existe aucun voisinage de (0,0) pour lequel la fonction est toujours dfinie.

> f:=(x,y)->(x^2+y^2)/(x+y);

f := proc (x, y) options operator, arrow; (x^2+y^2)/(x+y) end proc

Traons la surface correspondant l'quation f(x) = (x^2+y^2)/(x+y)  pour x epsilon [-0,25; 0,25] et pour y epsilon [-0,25; 0,25].

> Surface:=plot3d([x,y,f(x,y)],x=-0.25..0.25,y=-0.25..0.25,
        axes=normal,linestyle=2,

        grid=[20,20]):

> display(Surface,shading=zhue,axes=normal,orientation=[-25,40]);

[Plot]

>

On constate donc une faille dans la direction du plan d'quation y = -x . En grossissant le graphique, cela devient plus apparent. (Cliquez sur la troisime loupe et ensuite, avec la souris, obtenez diffrentes orientations de cette surface).

Aprs avoir visualis diffrentes orientations de cette surface et compte tenu de la manire dont l'afficheur reprsente cette surface,  il semble qu'il y a des voisinages appropris de (0,0) o la fonction f est partout dfinie. Cela est d au fait que lorsque y est peu prs gale -x , la fonction f prend de trs petites valeurs (de l'ordre de (-10)^15 ) et que l'afficheur doit composer en mme temps avec des valeurs d'abscisses et d'ordonnes prs de zro.

En fait, cette faille n'est pas graphiquement raliste.

Amliorons le trac de cette surface par un contrle de l'affichage avec l'option view.

> display(Surface,shading=zhue,orientation=[-43,43],
       axes=normal,view=[-0.25..0.25,-0.25..0.25,-2..2]);

[Plot]

>

Amliorons encore plus ce trac avec un grid suprieur.

> Surface:=plot3d([x,y,f(x,y)],x=-0.25..0.25,y=-0.25..0.25,
        axes=normal,linestyle=2,

        grid=[60,60]):

> display(Surface,shading=zhue,orientation=[-43,43],
       axes=normal,view=[-0.25..0.25,-0.25..0.25,-5..5]);

[Plot]

>

En augmentant la "rsolution", le trac est davantage prs du trac correct de cette surface. Dans le plan y = -x , il n'y a toujours pas de points.

Mais ce contrle de l'axe des z est-il judicieusement fait pour qu'on puisse " voir " correctement cette surface ? La surface semble avoir une "courbure" qui a t tronque par un contrle insuffisant de la cote. Peaufinons davantage le trac en diminuant l'intervalle de valeurs de la cote dans l'option view.

> Surface:=plot3d([x,y,f(x,y)],x=-0.25..0.24,y=-0.25..0.24,
        linestyle=1,

        grid=[60,60]):

> display(Surface,orientation=[-15,66],
       shading=zhue,axes=boxed,

       scaling=constrained,

       view=[-0.25..0.25,-0.25..0.25,-0.18..0.18]);

[Plot]

>

(Pour mieux voir la surface obtenue, slectionnez le graphique et agrandissez l'affichage en pressant les touches Ctrl-4 ou Ctrl-5 ou Ctrl-6)

Dans ce dernier trac, la faille s'est transforme en un pseudo-plan d'quation y = -x . Malheureusement, pour les trac en 3D, on ne dispose pas de l'option discont=true qui liminerait les pseudo-plans comme pour les tracs en 2D o cela limine les pseudo-asymptotes. Avec une telle option, le trac aurait t fait avec plus de discernement en vitant de relier les points dont les cotes extrmes sont obtenues avec des valeurs de y presqu'gales celles de -x .

En fait, le trac correct de cette surface est une surface dont toutes sections parallles au plan XY est un cercle quasi-tangent au plan d'quation y = -x . En effet, rsolvons l'quation f(x, y) = k :

> Eq_1:=f(x,y)=k;

Eq_1 := (x^2+y^2)/(x+y) = k

> Eq_2:=(x+y)*Eq_1;

Eq_2 := x^2+y^2 = (x+y)*k

> Eq_3:=expand(Eq_2-(rhs(Eq_2)=rhs(Eq_2)));

Eq_3 := x^2+y^2-k*x-k*y = 0

> Eq_4:=student[completesquare](Eq_3,x);

Eq_4 := (x-1/2*k)^2-1/4*k^2+y^2-k*y = 0

> Eq_5:=student[completesquare](Eq_4,y);

Eq_5 := (y-1/2*k)^2-1/2*k^2+(x-1/2*k)^2 = 0

> Eq_6:=Eq_5+(1/2*k^2=1/2*k^2);

Eq_6 := (y-1/2*k)^2+(x-1/2*k)^2 = 1/2*k^2

On a donc, pour toute " hauteur" k epsilon R \ {0}, nous avons un cercle centr au point (k/2, k/2 ) de rayon (sqrt(2)*abs(k)/2 ) qui exclu les points o y = -x .

> Eq_7:=(subs(y=-x,Eq_6));

Eq_7 := (-x-1/2*k)^2+(x-1/2*k)^2 = 1/2*k^2

> solve(Eq_7,{x});

{x = 0}, {x = 0}

L'unique solution de l'quation prcdente, pour tout k, est (0,0) mais, (0,0) n'appartient pas au domaine de f.

Le dernier trac est presque un trac parfait de la surface. Si le trac avait t parfait, il aurait t moins vident de visualiser qu'il n'existe aucun voisinage de (0,0) pour lequel la fonction est toujours dfinie puisque les point manquants de cette surface le long de l'axe des z (et appartenant au plan y = -x ) ne peuvent tre visibles l'cran. Un point tant de dimension nulle.

valuez cette limite et voyez le rsultat que l'valuateur donnera.

> limit(f(x,y),{x=0,y=0});

limit((x^2+y^2)/(x+y), {y = 0, x = 0})

L'valuateur a rpt la requte telle quelle (on a obtenu un cho de la requte). Cela signifie que l'valuateur n'a pas t en mesure de rsoudre la simplification demande. Mais nous, nous savons que cette limite n'existe pas par dfaut.

>

Cas o la limite n'existe pas par approche

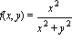
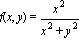
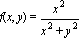
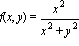
Soit la fonction f dfinie par f(x, y) = x^2/(x^2+y^2) .  Le domaine de la fonction f est R \ { (0,0) }. Dans ce cas, la fonction f est toujours dfinie dans n'importe quel voisinage de (0,0).

Demandons immdiatement l'valuateur de calculer la limite de f(x, y) lorsque proc (x, y) options operator, arrow; 0, 0 end proc .

> f:=(x,y)->x^2/(x^2+y^2);

f := proc (x, y) options operator, arrow; x^2/(x^2+y^2) end proc

> limit(f(x,y),{x=0,y=0});

undefined

Cette fois-ci, on a pas obtenu un cho de la requte. Lorsque que l'valuateur rpond undefined , c'est parce que la limite demande dpend de la faon dont on s'approche de (0,0). Et donc, que la limite n'existe pas.

Traons cette fonction pour x epsilon [-0.25, 0.25] et pour y epsilon [-0.25,0.25].

> Surface:=plot3d([x,y,f(x,y)],x=-0.25..0.25,y=-0.25..0.25,
           grid=[60,60],

           axes=normal,linestyle=2,orientation=[56,68]):

> Vue_1:=display(Surface):

> display(Vue_1,shading=zhue);

[Plot]

>

Sur le graphique de la surface, on voit bien qu'avec une approche de (0,0) le long de l'axe des x (y = 0 ), les images f(x, 0) par la fonction f tend vers 1 lorsque proc (x) options operator, arrow; 0 end proc .

En augmentant la rsolution du trac, cela devient davantage vident. (Essayez avec diffrentes valeurs de numpoints)

> Surface:=plot3d([x,y,f(x,y)],x=-0.25..0.25,y=-0.25..0.25,
           grid=[80,80],

           numpoints=6400,

           axes=normal,linestyle=2,orientation=[65,60]):

> Vue_2:=display(Surface):

> display(Vue_2,shading=zhue);

[Plot]

>

Illustrons les images de (x,y) avec le chemin y = 0 , c'est--dire le long de l'axe des y = 0 .

> Chemin:=spacecurve([t,0,0],t=0..0.25,
       color=black,

       thickness=3):

Image:=spacecurve([t,0,f(t,0)],t=0..0.25,

       grid=[60,60],color=black,

       thickness=3):

> display([Surface,Chemin,Image],shading=zhue,orientation=[65,65]);

[Plot]

>

valuons la limite avec l'approche y = 0 .

> Limit(subs(y=0,f(x,y)),x=0)=limit(subs(y=0,f(x,y)),x=0);

Limit(1, x = 0) = 1

Alors, avec cette approche, f(x, y) = x^2/(x^2+y^2) se rduit x^2/(x^2) , soit 1, et donc que la limite de f(x, y) selon ce chemin est 1.

En modifiant l'orientation du graphique prcdent, cela nous permet de constater qu'avec une approche le long de l'axe des  y, (x = 0 ), les images f(0, y) par la fonction f tend vers 0 lorsque proc (y) options operator, arrow; 0 end proc .

> display(Vue_2,shading=zhue,orientation=[30,65]);

[Plot]

>

Illustrons les images de (x,y) le long de l'axe des y avec le chemin x = 0 .

> Chemin:=spacecurve([0,t,0],t=0..0.25,
       color=black,

       thickness=3):

Image:=spacecurve([0,t,f(0,t)],t=0..0.25,

       color=black,

       thickness=3):

> display([Surface,Chemin,Image],shading=zhue,orientation=[30,65]);

[Plot]

>

valuons la limite avec l'approche x = 0 .

> Limit(subs(x=0,f(x,y)),y=0)=limit(subs(x=0,f(x,y)),y=0);

Limit(0, y = 0) = 0

Analytiquement, avec cette approche (x = 0 ), f(x, y) = x^2/(x^2+y^2) se rduit 0 (y <> 0 ), et donc que la limite de f(x, y) selon ce chemin est 0.

On conclut donc que la limite demande,  la limite de f(x, y) lorsque proc (x, y) options operator, arrow; 0, 0 end proc , n'existe pas.

Il y a bien sr d'autres chemins menant l'origine; par exemple, (x,y) peut atteindre l'origine en suivant la droite y = 2*x , ou bien en suivant la parabole y = x^2 , ou bien en suivant la courbe x = arcsin(y) , ou bien en suivant la parabole cubique y = x^3 , ou bien en suivant le chemin y = exp(x)-1 , etc... Il y a une infinit de chemins passant par (0,0).

Illustrons les images de (x,y) avec le chemin y = x .

> Chemin:=spacecurve([t,t,0],t=0..0.25,
       color=black,

       thickness=3):

Image:=spacecurve([t,t,f(t,t)],t=0..0.25,

       color=black,

       thickness=3):

> display([Surface,Chemin,Image],shading=zhue,orientation=[15,70]);

[Plot]

>

valuons la limite avec l'approche y = x .

> Limit(subs(y=x,f(x,y)),x=0)=limit(subs(y=x,f(x,y)),x=0);

Limit(1/2, x = 0) = 1/2

Analytiquement, avec cette approche (y = x ), f(x, y) = x^2/(x^2+y^2) se rduit x^2/(x^2+x^2) = 1/2  et donc, que la limite de f(x, y) selon ce chemin est 1/2 .

Allons-y avec un dernier chemin y = exp(x)-1 .

> Chemin:=spacecurve([t,exp(t)-1,0],t=0..0.22,
       color=black,

       thickness=3):

Image:=spacecurve([t,exp(t)-1,f(t,exp(t)-1)],t=0..0.22,

       color=black,

       thickness=3):

> display([Surface,Chemin,Image],shading=zhue,orientation=[15,65]);

[Plot]

>

valuons la limite avec l'approche y = exp(x)-1 .

> Limit(subs(y=exp(x)-1,f(x,y)),x=0)=limit(subs(y=exp(x)-1,f(x,y)),x=0);

Limit(x^2/(x^2+(exp(x)-1)^2), x = 0) = 1/2

Analytiquement, avec cette approche (y = exp(x)-1 ), f(x, y) = x^2/(x^2+y^2) se rduit x^2/(x^2+(exp(x)-1)^2) et donc, que la limite de f(x, y) selon ce chemin est 1/2 .

>