Application Center - Maplesoft

App Preview:

Work Done by an Electric Field and Fluid Circulation

You can switch back to the summary page by clicking here.

Learn about Maple
Download Application


 

lineintvec.mws

Line Integrals of Vector Fields

Using Maple and the vec_calc Package

This worksheet shows how to compute line integrals of vector fields using Maple and the vec_calc package. As examples we compute

* The Work Done by an Electric Field

* The Circulation of a Fluid

To start the vec_calc package, execute the following commands:

> restart;

> libname:=libname,"C:/mylib/vec_calc7":

> with(vec_calc): vc_aliases:

> with(linalg):with(student):with(plots):

Warning, the protected names norm and trace have been redefined and unprotected

Warning, the name changecoords has been redefined

The Work Done by an Electric Field

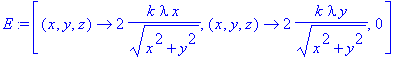
The electric field of a line of charge with charge density lambda is E = [2*k*lambda*x/sqrt(x^2+y^2), 2*k*lambda*y/sqrt(... where k is a constant. A particle of charge q moves through this field along the line segment from [1, 2, 3] to [3, 2, 1] . We want to find the work done by this electric field on the charged particle.

We input the field as the function:

> E:=MF([x,y,z],[2*k*lambda*x/sqrt(x^2+y^2),2*k*lambda*y/sqrt(x^2+y^2),0]);

E := [proc (x, y, z) options operator, arrow; 2*k*l...

We input the line segment as

> r:=MF(t, evall([1,2,3]+t*([3,2,1]-[1,2,3])));

r := [proc (t) options operator, arrow; 1+2*t end p...

where 0 <= t ` ` <= 1 . So the velocity is

> v:=D(r);

v := [2, 0, -2]

On the line segment, the electric field is

> Er:=E(op(r(t)));

Er := [2*k*lambda*(1+2*t)/((1+2*t)^2+4)^(1/2), 4*k*...

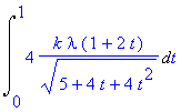
The work is defined as Work = Int(q*E*`.`,r) = Int(q*E(r(t))*`.`*v(t),t = 0 .. 1) . Consequently,

> qEv:=q*Er &. v(t);

qEv := 4*q*k*lambda*(1+2*t)/(5+4*t+4*t^2)^(1/2)

> Work:=Int(qEv,t=0..1); Work:=value(%);

Work := Int(4*q*k*lambda*(1+2*t)/(5+4*t+4*t^2)^(1/2...

Work := 2*sqrt(13)*q*k*lambda-2*sqrt(5)*q*k*lambda

Another way to compute this line integral is to use the Line_int_vector command (or its alias Liv ) from the vec_calc package which works directly with the parametrized curve and the vector field:

> Liv(E,r,t=0..1); Work:=q*value(%);

Int(4*k*lambda*(1+2*t)/(5+4*t+4*t^2)^(1/2),t = 0 .....

Work := q*(2*sqrt(13)*k*lambda-2*sqrt(5)*k*lambda)

There is a second way to compute this work. The electric field is conservative because it is curl-free:

> CURL(E);

[0, 0, 0]

So the electric field has a scalar potential, phi .

> POT(E,'phi');

true

> phi(x,y,z);

2*k*lambda*sqrt(x^2+y^2)

By the Fundamental Theorem of Calculus, the work is the change in the potential energy:

> Work:=q*phi(3,2,1)-q*phi(1,2,3);

Work := 2*sqrt(13)*q*k*lambda-2*sqrt(5)*q*k*lambda

>

The Circulation of a Fluid

The velocity of the water in a sink going down the drain is V = [(-y-z)/(x^2+y^2), (x-z)/(x^2+y^2), z^2*(-x-y)/... . We want to find the circulation of the fluid counterclockwise around the circle x^2+y^2 = 4 with z = 2 .

We enter the fluid velocity as a function:

> V:=MF([x,y,z],[(-y-z)/(x^2+y^2), (x-z)/(x^2+y^2), z^2*(-x-y)/((x^2+y^2)^2)]);

V := [proc (x, y, z) options operator, arrow; (-y-z...

The circle may be parametrized as

> r:=MF(t,[2*cos(t),2*sin(t),3]);

r := [proc (t) options operator, arrow; 2*cos(t) en...

Its tangent vector (velocity) is:

> v:=D(r);

v := [proc (t) options operator, arrow; -2*sin(t) e...

Caution: Don't confuse the velocity (tangent vector) of the curve v with the velocity of the fluid V .

On the curve, the fluid velocity becomes:

> V(op(r(t))); Vr:=simplify(%);

[(-2*sin(t)-3)/(4*cos(t)^2+4*sin(t)^2), (2*cos(t)-3...

Vr := [-1/2*sin(t)-3/4, 1/2*cos(t)-3/4, -9/8*cos(t)...

The circulation is defined as Circ = Int(V*`.`,r) = Int(V(r(t))*`.`*v(t),t = 0 .. 2*Pi) . Consequently,

> Vr_v:=Vr &. v(t);

Vr_v := 3/2*sin(t)-3/2*cos(t)+1

> Circ:=Int(Vr_v,t=0..2*Pi); Circ:=value(%);

Circ := Int(3/2*sin(t)-3/2*cos(t)+1,t = 0 .. 2*Pi)

Circ := 2*Pi

Another way to compute this line integral is to use the Line_int_vector command (or its alias Liv ) from the vec_calc package which works directly with the parametrized curve and the vector field:

> Liv(V,r,t=0..2*Pi); Circ:=value(%);

Int(3/2*sin(t)-3/2*cos(t)+1,t = 0 .. 2*Pi)

Circ := 2*Pi

>

>