Animation of the Motion of a Charged Particle Under an Electric Field
Pauline Hong Duke University pauline.hong@duke.edu
Hello: The Problem
All my life I have heard this piece of wisdom: Gain some intuition about the solution to your problem before you hurry to tackle it. You will avoid frustrating hours filled with headaches, no smiles and desires to simply pull out all your hair. I have learned that this applies to all aspects of my life, even to my physics homework.
Suppose you have one or more stationary charged particles on a plane. These stationary particles produce an electric field at all points on the plane. Let us place a moving charged particle on this plane. The moving particle will experience a force exerted by the electric field, causing it to accelerate. Will it move, and if it does, where will it move? I have always struggled to draw a mental picture of how I expect P will behave under the electric field before actually turning to my pencil and paper to do the calculations.
That's why I wrote a simple program using Maple 6 to help me gain the intuition that I lack. The program will produce an animation of the motion of a charged particle under an electric field. Here I would like to share my program with you, and hopefully it will help you gain some intuition too!
Time to Recall: The Physics
Hmm... a disclaimer first: In the following I will assume that the acceleration of the charged particle is negligible. Therefore, we will safely ignore the effects of magnetic fields, electromagnetic induction, saving me from physics induced migraine headache. The end of the disclaimer.
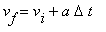
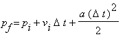
Still with me? Good. The main idea is as follows:
Time to Program: The Code
The programs are structured in top-down fashion: the main routine is at the top followed by its subroutines.
Time to Play: The Examples
How to use the program
The main procedure you will use is called move_particle . It takes the following arguments:
Repelling particles
Attracting particles
Weeee! :-)
Challenge for you!
Can you make the moving particle trace the outline of the Maple logo approximately?
Bye bye: The Final Thoughts
Yay! I have accomplished my goal: To create an animation using Maple that would help me gain some intuition about how particles behave under an electric field.
I hope my program has helped you gain some intuition about the solution to your problem before you hurried to tackle it!
Disclaimer: While every effort has been made to validate the solutions in this worksheet, Waterloo Maple Inc. and the contributors are not responsible for any errors contained and are not liable for any damages resulting from the use of this material.