Application Center - Maplesoft

App Preview:

Integrales de línea respecto a la longitud de arco 2

You can switch back to the summary page by clicking here.

Learn about Maple
Download Application


 

Integral de Linea - Respecto a la longitud de arco.mws

Integrales de lnea respecto a la longitud de arco

por, Dante Yvn Chavil Montenegro
email: math_dante@hotmail.com

>   

Mini programas

>    restart:
libname := "C:\\mylib/CyS", libname:
with(CyS):with(plots):with(plottools):with(Student[Calculus1]):

Warning, the name changecoords has been redefined

Warning, the name arrow has been redefined

Interpretacin geomtrica

>    Plot_Int_Line_Long:=proc(f,alpha1,alpha2,a,b)
local xc, yc, fc, xmin, xmax, ymin, ymax, g1, g2, g3, g4, g5:

xc:=unapply(alpha1,t);
yc:=unapply(alpha2,t);
fc:=unapply(f,x,y):

# Lmites con respecto al eje vertical
xmin:=evalf(min(op[1](map(xc,(CriticalPoints(xc(t), t=a..b, numeric=true)))),xc(a),xc(b)));
xmax:=evalf(max(op[1](map(xc,(CriticalPoints(xc(t), t=a..b, numeric=true)))),xc(a),xc(b)));

# Lmites con respecto al eje horizontal
ymin:=evalf(min(op[1](map(yc,(CriticalPoints(yc(t), t=a..b, numeric=true)))),yc(a),yc(b)));
ymax:=evalf(max(op[1](map(yc,(CriticalPoints(yc(t), t=a..b, numeric=true)))),yc(a),yc(b)));

g1:=CTraza([alpha1,alpha2,0],[t=a..b,color=red,numpoints=1200,thickness=3]):
g2:=CTraza([alpha1,alpha2,fc(alpha1,alpha2)],[t=a..b,color=blue,numpoints=1200,thickness=3]):
g3:=plot3d(fc(x,y),x=xmin..xmax,y=ymin..ymax,style=HIDDEN,thickness=1,shading=XYZ,transparency=0.1):
g4:=plot3d(0,x=xmin..xmax,y=ymin..ymax,style=PATCHNOGRID,color=yellow):
g5:=seq(line([xc(a+(b-a)*i/20),yc(a+(b-a)*i/20),0],[xc(a+(b-a)*i/20),yc(a+(b-a)*i/20),fc(xc(a+(b-a)*i/20),yc(a+(b-a)*i/20))],linestyle=1,thickness=2,color=black),i=0..20):
display([g1,g2,g3,g4,g5],axes=boxed,scaling=constrained,lightmodel=light4);

end:

Clculo de la Integral de Lnea

>    Cal_Int_Linea:=proc(f,alpha,a,b)
local xc, yc, zc, fc, cr, fcc:

if nops(alpha)=2 then
   xc:=unapply(alpha[1],t);
   yc:=unapply(alpha[2],t);
   fc:=unapply(f,x,y):
   fcc:=fc(xc(t),yc(t)):
   cr:=Cr([xc(t),yc(t)])(t):
   RETURN(Int(fcc*cr,t=a..b)=int(fcc*cr,t=a..b));
end:
if nops(alpha)=3 then
   xc:=unapply(alpha[1],t);
   yc:=unapply(alpha[2],t);
   zc:=unapply(alpha[3],t);
   fc:=unapply(f,x,y,z):
   fcc:=fc(xc(t),yc(t),zc(t)):
   cr:=Cr([xc(t),yc(t),zc(t)])(t):
   RETURN(Int(fcc*cr,t=a..b)=int(fcc*cr,t=a..b));
end:
end:

>   

[Maple Bitmap]

[Maple Bitmap]

[Maple Bitmap]

Ejemplo

[Maple Bitmap]

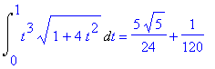
>    f:=(x,y)->x*y:
x:=t->t: y:=t->t^2:
t0:=0: t1:=1:

>    Cal_Int_Linea(f(x,y),[x(t),y(t)],t0,t1):
expand(%);

Int(t^3*(1+4*t^2)^(1/2),t = 0 .. 1) = 5/24*5^(1/2)+1/120

>    Plot_Int_Line_Long(f(x,y),x(t),y(t),t0,t1);

[Maple Plot]

>   

Ejemplo

[Maple Bitmap]

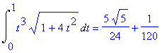
>    f:=(x,y)->x*y:
x:=t->t: y:=t->t^2:
t0:=0: t1:=1:

>    Cal_Int_Linea(f(x,y),[x(t),y(t)],t0,t1):
expand(%);

Int(t^3*(1+4*t^2)^(1/2),t = 0 .. 1) = 5/24*5^(1/2)+1/120

>    Plot_Int_Line_Long(f(x,y),x(t),y(t),t0,t1);

[Maple Plot]

>   

Ejemplo

[Maple Bitmap]

>    f:=(x,y)->x^2+y^2:
x:=t->-sin(t/2): y:=t->cos(t/2):
t0:=-Pi: t1:=Pi:

>    Cal_Int_Linea(f(x,y),[x(t),y(t)],t0,t1):
expand(%);

1/2*Int(sin(1/2*t)^2+cos(1/2*t)^2,t = -Pi .. Pi) = Pi

>    Plot_Int_Line_Long(f(x,y),x(t),y(t),t0,t1);

[Maple Plot]

>   

Ejemplo

[Maple Bitmap]

>    f:=(x,y)->x^2+y^2:
x:=t->-cos(t^2/Pi): y:=t->sin(t^2/Pi):
t0:=-Pi: t1:=Pi:

>    Cal_Int_Linea(f(x,y),[x(t),y(t)],t0,t1):
expand(%);

2/Pi*Int(csgn(t)*t*sin(t^2/Pi)^2+csgn(t)*t*cos(t^2/Pi)^2,t = -Pi .. Pi) = 2*Pi

>    Plot_Int_Line_Long(f(x,y),x(t),y(t),t0,t1);

[Maple Plot]

>   

>