Application Center - Maplesoft

App Preview:

Section 1.1 The Origin of Complex Numbers

You can switch back to the summary page by clicking here.

Learn about Maple
Download Application


 

C01-1.mws

COMPLEX ANALYSIS: Maple Worksheets,  2001
(c) John H. Mathews          Russell W. Howell

mathews@fullerton.edu     howell@westmont.edu


Complimentary software to accompany the textbook:

COMPLEX ANALYSIS: for Mathematics & Engineering, 4th Ed, 2001, ISBN: 0-7637-1425-9
Jones and Bartlett Publishers, Inc.,      40  Tall  Pine  Drive,      Sudbury,  MA  01776

Tele.  (800) 832-0034;      FAX:  (508)  443-8000,      E-mail:  mkt@jbpub.com,      http://www.jbpub.com/


CHAPTER 1  COMPLEX NUMBERS


Section 1.1  The Origin of Complex Numbers


     Complex analysis can roughly be thought of as that subject which applies the ideas of calculus to imaginary numbers. But what exactly are imaginary numbers? Usually, students learn about them in high school with introductory remarks from their teachers along the following lines: ``We can't take the square root of a negative number. But, let's
pretend we can---and since these numbers are really imaginary, it will be convenient notationally to set i = sqrt(-1) .'' Rules are then learned for doing arithmetic with these numbers. The rules make sense. If i = sqrt(-1) , it stands to reason that i^2 = -1 . On the other hand, it is not uncommon for students to wonder all along whether they are really doing magic rather than mathematics.  

    If you ever felt that way, congratulate yourself! You're in the company of some of the great mathematicians from the sixteenth through the nineteenth centuries. They, too, were perplexed with the notion of roots of negative numbers. The purpose of this section is to highlight some of the episodes in what turns out to be a very colorful history of how imaginary numbers were introduced, investigated, avoided, mocked, and---eventually---accepted by the mathematical community. We intend to show you that, contrary to popular belief, there is really nothing imaginary about "imaginary numbers'' at all. In a metaphysical sense, they are just as real as "real numbers.''

    Our story begins in 1545. In that year the Italian mathematician Girolamo Cardano published Ars Magna (The Great Art), a 40-chapter masterpiece in which he gave for the first time an algebraic solution to the general cubic equation    

      x^3+a*x^2+b*x+c = 0 .

    His technique involved transforming this equation into what is called a depressed cubic. This is a cubic equation without the quadratic term, so that it can be written as

    x^3+b*x+c = 0 .

Ferro and Tartaglia showed that one solution to this equation is:x = [-c/2+sqrt(c^2/4+b^3/27)]^(1/3)-[c/2+sqrt(c^2/4+b^3/27)]^(1/3)


Example in narrative on Page 2 of Section 1.1.

Consider the simple depressed cubic equation  
x^3-15*x-4 = 0 .
Maple can easily find all the solutions!

> x:='x':
eqn := x^3 - 15 *x - 4 = 0:

`Solve the equation  `,eqn; ` `;

solset := {solve(eqn, x )}:

`Solution set `, solset;

`Solve the equation  `, x^3-15*x-4 = 0

` `

`Solution set `, {4, -2+sqrt(3), -2-sqrt(3)}

We want to investigate the Ferro-Tartaglia formula and verify that  x  is a solution.

> b:='b': c:='c': w:='w': x:='x': X:='X':
x^3 + b*x + c = 0;

x:=(-c/2 + sqrt(c^2/4 +b^3/27))^(1/3) +

  (-c/2 - sqrt(c^2/4 +b^3/27))^(1/3):

`x ` = x; ` `;

`Substitute`;

b := -15:

c := -4:

x :='x':

`b ` = b, `c ` = c;

eqn := x^3 + b*x + c = 0: eqn;

x:=(-c/2 + sqrt(c^2/4 +b^3/27))^(1/3) -

  ( c/2 + sqrt(c^2/4 +b^3/27))^(1/3):

`x ` = x; ` `;

`The result is:`;

eqn;

x^3+b*x+c = 0

`x ` = (-1/2*c+1/18*sqrt(81*c^2+12*b^3))^(1/3)+(-1/2*c-1/18*sqrt(81*c^2+12*b^3))^(1/3)

` `

Substitute

`b ` = -15, `c ` = -4

x^3-15*x-4 = 0

`x ` = (2+11*I)^(1/3)-(-2+11*I)^(1/3)

` `

`The result is:`

((2+11*I)^(1/3)-(-2+11*I)^(1/3))^3-15*(2+11*I)^(1/3)+15*(-2+11*I)^(1/3)-4 = 0

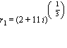
The principal value  r[1] = (2+11*i)^(1/3)  is correct.  However, a different choice (or branch) of
the cube root must be used to compute  
(-2+11*i)^(1/3) .   Its value is obtained by multiplying
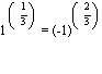
by a "cube root of
1 ", the special cube root is  1^(1/3) = (-1)^(2/3) .   Now compute the second
root using  
r[2] = (-2+11*i)^(1/3)*(-1)^(2/3)  .   And then compute using   x = r[1]-r[2] .

> r2 := (-2 + 11*I)^(1/3)*(-1)^(2/3):
`r2 = (-2 + 11 i)^(1/3)` = r2;

r1 := (2 + 11*I)^(1/3):

`r1 ` = r1;` `;

r2 := evalc((-2 + 11*I)^(1/3)*(-1)^(2/3)):

`r2 ` = expand(r2);

r1 := evalc((2 + 11*I)^(1/3)):

`r1 ` = r1; ` `;

`Use the roots to form x = r1 - r2.`;

`Then substitute x into the cubic equation:`;

x:='x':

eqn := x^3 -15*x - 4 = 0:

eqn;

x := expand(r1 - r2):

`x ` = x; ` `;

eqn;

`Expand things on the left side and obtain:`;

evalf(eqn);

`r2 = (-2 + 11 i)^(1/3)` = (-2+11*I)^(1/3)*(-1)^(2/3)

`r1 ` = (2+11*I)^(1/3)

` `

`r2 ` = -sqrt(5)*cos(1/3*arctan(11/2))+I*sqrt(5)*sin(1/3*arctan(11/2))

`r1 ` = sqrt(5)*cos(1/3*arctan(11/2))+I*sqrt(5)*sin(1/3*arctan(11/2))

` `

`Use the roots to form x = r1 - r2.`

`Then substitute x into the cubic equation:`

x^3-15*x-4 = 0

`x ` = 2*sqrt(5)*cos(1/3*arctan(11/2))

` `

40*sqrt(5)*cos(1/3*arctan(11/2))^3-30*sqrt(5)*cos(1/3*arctan(11/2))-4 = 0

`Expand things on the left side and obtain:`

0. = 0.

> `We could use numerical approximations for the roots`;
`r2 ` = evalf(r2);

`r1 ` = evalf(r1);

`And use a numerical approximation for x = r1 - r2.`;

`x ` = evalf(r1 - r2); ` `;

`Then substitute x into the cubic equation:`;

x:='x':

eqn := x^3 -15*x - 4 = 0:

eqn;

x := evalf(r1 - r2):

eqn,`  Look, it is almost zero!`;

`We could use numerical approximations for the roots`

`r2 ` = -2.000000000+1.000000000*I

`r1 ` = 2.000000000+1.000000000*I

`And use a numerical approximation for x = r1 - r2.`

`x ` = 4.000000000+0.*I

` `

`Then substitute x into the cubic equation:`

x^3-15*x-4 = 0

0.+0.*I = 0, `  Look, it is almost zero!`

>

End of Section 1.1.