Application Center - Maplesoft

App Preview:

Complex Analysis Project

You can switch back to the summary page by clicking here.

Learn about Maple
Download Application


 

Image 

Complex Analysis for Mathematics and Engineering, 5th Edition, 2006  

Chapter 1  Complex Numbers 

1.1  The Origin of Complex Numbers  

 

     Complex analysis can roughly be thought of as that subject which applies the ideas of calculus to imaginary numbers. But what exactly are imaginary numbers? Usually, students learn about them in high school with introductory remarks from their teachers along the following lines: ``We can't take the square root of a negative number. But, let's pretend we can---and since these numbers are really imaginary, it will be convenient notationally to set i = sqrt(-1).'' Rules are then learned for doing arithmetic with these numbers. The rules make sense. If i = sqrt(-1), it stands to reason that i^2 = -1. On the other hand, it is not uncommon for students to wonder all along whether they are really doing magic rather than mathematics.    

    If you ever felt that way, congratulate yourself! You're in the company of some of the great mathematicians from the sixteenth through the nineteenth centuries. They, too, were perplexed with the notion of roots of negative numbers. The purpose of this section is to highlight some of the episodes in what turns out to be a very colorful history of how imaginary numbers were introduced, investigated, avoided, mocked, and---eventually---accepted by the mathematical community. We intend to show you that, contrary to popular belief, there is really nothing imaginary about "imaginary numbers'' at all. In a metaphysical sense, they are just as real as are "real numbers.'' 

    Our story begins in 1545. In that year the Italian mathematician Girolamo Cardano published Ars Magna (The Great Art), a 40-chapter masterpiece in which he gave for the first time an algebraic solution to the general cubic equation     

      x^3+a*x^2+b*x+c = 0. 

 

    His technique involved transforming this equation into what is called a depressed cubic. This is a cubic equation without the  term, so that it can be written as 

    x^3+b*x+c = 0 .
 

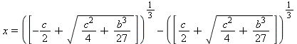
Ferro and Tartaglia showed that one solution to this equation is:x = ([-c/2+sqrt(c^2/4+b^3/27)])^(1/3)-([c/2+sqrt(c^2/4+b^3/27)])^(1/3).  

 

Example in narrative in Section 1.1.
Consider the simple depressed cubic equation  x^3-15*x-4 = 0 .
Maple can easily find all the solutions!
 

 

> x:='x':
eqn := x^3 - 15 *x - 4 = 0:
`Solve the equation  `,eqn; ` `;
solset := {solve(eqn, x )}:
`Solution set `, solset;
 

We want to investigate the Ferro-Tartaglia formula and verify that  x  is a solution. 

 

> b:='b': c:='c': w:='w': x:='x': X:='X':
x^3 + b*x + c = 0;
x:=(-c/2 + sqrt(c^2/4 +b^3/27))^(1/3) +
  (-c/2 - sqrt(c^2/4 +b^3/27))^(1/3):
`x ` = x; ` `;
`Substitute`;
b := -15:
c := -4:
x :='x':
`b ` = b, `c ` = c;
eqn := x^3 + b*x + c = 0: eqn;
x:=(-c/2 + sqrt(c^2/4 +b^3/27))^(1/3) -
  ( c/2 + sqrt(c^2/4 +b^3/27))^(1/3):
`x ` = x; ` `;
`The result is:`;
eqn;
 

The principal value  r[1] = (2+11*i)^(1/3)  is correct.  However, a different choice (or branch) of
the cube root must be used to compute the  (-2+11*i)^(1/3) .   It's value is obtained by multiplying
by a "cube root of 1 ", the special cube root is  1^(1/3) = (-1)^(2/3) .   Now compute the second
root using  r[2] = (-2+11*i)^(1/3)*(-1)^(2/3)  .   And then compute using   x = r[1]-r[2] .

 

> r2 := (-2 + 11*I)^(1/3)*(-1)^(2/3):
`r2 = (-2 + 11 i)^(1/3)` = r2;
r1 := (2 + 11*I)^(1/3):
`r1 ` = r1;` `;
r2 := evalc((-2 + 11*I)^(1/3)*(-1)^(2/3)):
`r2 ` = expand(r2);
r1 := evalc((2 + 11*I)^(1/3)):
`r1 ` = r1; ` `;
`Use the roots to form x = r1 - r2.`;
`Then substitute x into the cubic equation:`;
x:='x':
eqn := x^3 -15*x - 4 = 0:
eqn;
x := expand(r1 - r2):
`x ` = x; ` `;
eqn;
`Expand things on the left side and obtain:`;
evalf(eqn);
 

> `We could use numerical approximations for the roots`;
`r2 ` = evalf(r2);
`r1 ` = evalf(r1);
`And use a numerical approximation for x = r1 - r2.`;
`x ` = evalf(r1 - r2); ` `;
`Then substitute x into the cubic equation:`;
x:='x':
eqn := x^3 -15*x - 4 = 0:
eqn;
x := evalf(r1 - r2):
eqn,`  Look, it is almost zero!`;
 

>
 

 

Chapter 1  Complex Numbers - Links 

1.1  The Origin of Complex Numbers  

1.2  The Algebra of Complex Numbers  

1.3  The Geometry of Complex Numbers  

1.4  The Geometry of Complex Numbers, Continued  

1.5  The Algebra of Complex Numbers, Revisited  

1.6  The Topology of Complex Numbers  

Library Research Experience for Undergraduates  

Complex Numbers  

DeMoivre's Theorem  

Roots of Cubic Equations  

Roots of Quartic Equations  

Complex Roots of Polynomials  

Quaternions  

History of Complex Numbers 

Return to the Complex Analysis Project  

(c) 2006 John H. Mathews, Russell W. Howell  


Legal Notice: The copyright for this application is owned by the author(s). Neither Maplesoft nor the author are responsible for any errors contained within and are not liable for any damages resulting from the use of this material. This application is intended for non-commercial, non-profit use only. Contact the author for permission if you wish to use this application in for-profit activities.
 

Image