Application Center - Maplesoft

App Preview:

TWO-DIMENSIONAL PARTIAL ELLIPTIC DIFFERENTIAL EQUATIONS IN MAPLE

You can switch back to the summary page by clicking here.

Learn about Maple
Download Application


 

Image 

TWO-DIMENSIONAL PARTIAL ELLIPTIC
DIFFERENTIAL EQUATIONS IN MAPLE

Alexei V. Tikhonenko

General Physics Department,
State Technical University of Nuclear Power Engineering,
Obninsk, Russia

futureprint@obninsk.com 

This work introduces functional programming method in MAPLE for boundary
problem solving of two-dimensional partial elliptic differential equations in polar coordinates.
 

1. Introduction 

1.1. Two-dimensional Laplace's equation in polar coordinates 

> Typesetting:-mrow(Typesetting:-mi(
 

Solution of boundary-value problem for Laplace's equation 

Δu = 0 

for circle and ring can be solved by the variable separation method. 

For this purpose we will use "VectorCalculus" package 

 

0 < r < ∞, 0 < φ < 2π, 

> Typesetting:-mrow(Typesetting:-mi(
 

and polar coordinate system: 

> Typesetting:-mrow(Typesetting:-mi(
 

polar[r, `ϕ`] (1.1.1)
 

So programming of Laplace's equation in these coordinates gives: 

> Typesetting:-mrow(Typesetting:-mi(
 

`+`(`/`(`*`(diff(u(r, `ϕ`), r)), `*`(r)), diff(diff(u(r, `ϕ`), r), r), `/`(`*`(diff(diff(u(r, `ϕ`), `ϕ`), `ϕ`)), `*`(`^`(r, 2)))) = 0 (1.1.2)
 

1.2. Variable separation and general solution 

Laplace's equation admits the variable separation and with MAPLE aids we will have separated equations: 

> Typesetting:-mrow(Typesetting:-mi(
 

PDESolStruc(u(r, `ϕ`) = `*`(R(r), `*`(Phi(`ϕ`))), [{diff(diff(R(r), r), r) = `+`(`/`(`*`(R(r), `*`(_c[1])), `*`(`^`(r, 2))), `-`(`/`(`*`(diff(R(r), r)), `*`(r)))), diff(diff(Phi(`&varphi... (1.2.1)
 

After constant replacement 

> Typesetting:-mrow(Typesetting:-mi(
 

_c1 = `*`(`^`(n, 2)) (1.2.2)
 

we will solve separated equations. 

Angular equation: 

> Typesetting:-mrow(Typesetting:-msub(Typesetting:-mi(
 

diff(diff(Phi(`ϕ`), `ϕ`), `ϕ`) = `+`(`-`(`*`(Phi(`ϕ`), `*`(`^`(n, 2))))) (1.2.3)
 

> Typesetting:-mrow(Typesetting:-mi(
 

Phi(`ϕ`) = `+`(`*`(_C1, `*`(sin(`*`(n, `*`(`ϕ`))))), `*`(_C2, `*`(cos(`*`(n, `*`(`ϕ`)))))) (1.2.4)
 

Solution for angular function Φ(φ) will satisfy to periodicity condition with integer n. 

Radial equation: 

a)  n ≠ 0: 

> Typesetting:-mrow(Typesetting:-mi(
 

diff(diff(R(r), r), r) = `+`(`/`(`*`(R(r), `*`(`^`(n, 2))), `*`(`^`(r, 2))), `-`(`/`(`*`(diff(R(r), r)), `*`(r)))) (1.2.5)
 

> Typesetting:-mrow(Typesetting:-mi(
 

R(r) = `+`(`*`(_C1, `*`(`^`(r, `+`(`-`(n))))), `*`(_C2, `*`(`^`(r, n)))) (1.2.6)
 

b)  n= 0: 

> Typesetting:-mrow(Typesetting:-mi(
 

diff(diff(R(r), r), r) = `+`(`-`(`/`(`*`(diff(R(r), r)), `*`(r)))) (1.2.7)
 

> Typesetting:-mrow(Typesetting:-mi(
 

R(r) = `+`(_C1, `*`(_C2, `*`(ln(r)))) (1.2.8)
 

So solutions of angular and radial equations will have forms (with changed constants): 

> Typesetting:-mrow(Typesetting:-mi(
 

`+`(`*`(A1[n], `*`(sin(`*`(n, `*`(`ϕ`))))), `*`(A2[n], `*`(cos(`*`(n, `*`(`ϕ`)))))) (1.2.9)
 

> Typesetting:-mrow(Typesetting:-mi(
 

`+`(`*`(B1[n], `*`(`^`(r, n))), `*`(B2[n], `*`(`^`(r, `+`(`-`(n)))))) (1.2.10)
 

> Typesetting:-mrow(Typesetting:-mi(
 

`+`(B1[0], `*`(B2[0], `*`(ln(r)))) (1.2.11)
 

Thus general solution of two-dimensional Laplace's equation in polar coordinates is: 

> Typesetting:-mrow(Typesetting:-mi(
 

u(r, `ϕ`) = `+`(B1[0], `*`(B2[0], `*`(ln(r))), sum(`*`(`+`(`*`(B1[n], `*`(`^`(r, n))), `*`(B2[n], `*`(`^`(r, `+`(`-`(n)))))), `*`(`+`(`*`(A1[n], `*`(sin(`*`(n, `*`(`ϕ`))))), `*`(A2[n], `... (1.2.12)
 

2. The first boundary-value problem for Laplace's equation in circle 

2.1. The first boundary-value problem statement (inside of circle) 

 

Consider the first boundary-value problem for Laplace's equation inside of circle (internal Dirichlet problem for circle). 

This problem implies that function u satisfies the Laplace's equation: 

Δu = 0 

and boundary condition on the circle boundary S: 

u(S) = f, 

where f is given function and S is circumference of radius R0. 

General solution of two-dimensional Laplace's equation in polar coordinates is (see point 1.2): 

> Typesetting:-mrow(Typesetting:-mi(
 

u(r, `ϕ`) = `+`(B1[0], `*`(B2[0], `*`(ln(r))), sum(`*`(`+`(`*`(B1[n], `*`(`^`(r, n))), `*`(B2[n], `*`(`^`(r, `+`(`-`(n)))))), `*`(`+`(`*`(A1[n], `*`(sin(`*`(n, `*`(`ϕ`))))), `*`(A2[n], `... (2.1.1)
 

and boundary conditions are: 

1) boundedness of solution at origin of coordinates: 

u < ∞; 

2) value of function u on the circle boundary S is: 

u(R0,φ) = f(φ). 

2.2. Accounting of boundary conditions (inside of circle) 

1) Boundedness of solution at origin of coordinates implies: 

B20 = 0, B2n = 0, 

whence it follows (with redefinition of A1n, A2n and B1n): 

> Typesetting:-mrow(Typesetting:-msub(Typesetting:-mi(
 

 

 

0
0
1 (2.2.1)
 

> Typesetting:-mrow(Typesetting:-msub(Typesetting:-mrow(Typesetting:-mi(
 

 

 

`+`(`*`(A1[n], `*`(sin(`*`(n, `*`(`ϕ`))))), `*`(A2[n], `*`(cos(`*`(n, `*`(`ϕ`))))))
B1[0]
`^`(r, n) (2.2.2)
 

So we have: 

> Typesetting:-mrow(Typesetting:-mi(
 

u(r, `ϕ`) = `+`(B1[0], sum(`*`(`^`(r, n), `*`(`+`(`*`(A1[n], `*`(sin(`*`(n, `*`(`ϕ`))))), `*`(A2[n], `*`(cos(`*`(n, `*`(`ϕ`)))))))), n = 1 .. infinity)) (2.2.3)
 

> Typesetting:-mrow(Typesetting:-mi(
 

`+`(B1[0], sum(`*`(`^`(r, n), `*`(`+`(`*`(A1[n], `*`(sin(`*`(n, `*`(`ϕ`))))), `*`(A2[n], `*`(cos(`*`(n, `*`(`ϕ`)))))))), n = 1 .. infinity)) (2.2.4)
 

2) The second boundary condition implies: 

> Typesetting:-mrow(Typesetting:-mi(
 

`+`(B1[0], sum(`*`(`^`(r, n), `*`(`+`(`*`(A1[n], `*`(sin(`*`(n, `*`(psi))))), `*`(A2[n], `*`(cos(`*`(n, `*`(psi)))))))), n = 1 .. infinity)) (2.2.5)
 

> Typesetting:-mrow(Typesetting:-mi(
 

`+`(B1[0], sum(`*`(`^`(R[0], n), `*`(`+`(`*`(A1[n], `*`(sin(`*`(n, `*`(psi))))), `*`(A2[n], `*`(cos(`*`(n, `*`(psi)))))))), n = 1 .. infinity)) (2.2.6)
 

> Typesetting:-mrow(Typesetting:-msub(Typesetting:-mi(
 

f(psi) = `+`(B1[0], sum(`*`(`^`(R[0], n), `*`(`+`(`*`(A1[n], `*`(sin(`*`(n, `*`(psi))))), `*`(A2[n], `*`(cos(`*`(n, `*`(psi)))))))), n = 1 .. infinity)) (2.2.7)
 

Using these relations we will find: 

> Typesetting:-mrow(Typesetting:-msubsup(Typesetting:-mo(
 

int(`*`(f(psi), `*`(sin(`*`(k, `*`(psi))))), psi = 0 .. `+`(`*`(2, `*`(Pi)))) = int(`*`(`+`(B1[0], sum(`*`(`^`(R[0], n), `*`(`+`(`*`(A1[n], `*`(sin(`*`(n, `*`(psi))))), `*`(A2[n], `*`(cos(`*`(n, `*`(p... (2.2.8)
 

> Typesetting:-mrow(Typesetting:-mi(
 

int(`*`(f(psi), `*`(cos(`*`(k, `*`(psi))))), psi = 0 .. `+`(`*`(2, `*`(Pi)))) = int(`*`(`+`(B1[0], sum(`*`(`^`(R[0], n), `*`(`+`(`*`(A1[n], `*`(sin(`*`(n, `*`(psi))))), `*`(A2[n], `*`(cos(`*`(n, `*`(p... (2.2.9)
 

2.3. Calculation of coefficients (inside of circle) 

Using of formulas (6.1) - (6.6) (see Appendix 1) - orthonormality conditions - gives: 

> Typesetting:-mrow(Typesetting:-msubsup(Typesetting:-mo(
 

Int(`*`(`^`(R[0], n), `*`(`+`(`*`(A1[n], `*`(sin(`*`(n, `*`(psi))))), `*`(A2[n], `*`(cos(`*`(n, `*`(psi)))))), `*`(sin(`*`(n, `*`(psi)))))), psi = 0 .. `+`(`*`(2, `*`(Pi)))) = `*`(`^`(R[0], n), `*`(A1... (2.3.1)
 

> Typesetting:-mrow(Typesetting:-msubsup(Typesetting:-mo(
 

Int(`*`(`^`(R[0], n), `*`(`+`(`*`(A1[n], `*`(sin(`*`(n, `*`(psi))))), `*`(A2[n], `*`(cos(`*`(n, `*`(psi)))))), `*`(cos(`*`(n, `*`(psi)))))), psi = 0 .. `+`(`*`(2, `*`(Pi)))) = `*`(`^`(R[0], n), `*`(A2... (2.3.2)
 

> Typesetting:-mrow(Typesetting:-msubsup(Typesetting:-mo(
 

 

 

int(`*`(f(psi), `*`(sin(`*`(n, `*`(psi))))), psi = 0 .. `+`(`*`(2, `*`(Pi)))) = `*`(`^`(R[0], n), `*`(A1[n], `*`(Pi)))
int(`*`(f(psi), `*`(cos(`*`(n, `*`(psi))))), psi = 0 .. `+`(`*`(2, `*`(Pi)))) = `*`(`^`(R[0], n), `*`(A2[n], `*`(Pi)))
int(f(psi), psi = 0 .. `+`(`*`(2, `*`(Pi)))) = `+`(`*`(2, `*`(B1[0], `*`(Pi)))) (2.3.3)
 

As a result of calculations we find: 

> Typesetting:-mrow(Typesetting:-mi(
 

 

 

`+`(`/`(`*`(`/`(1, 2), `*`(int(f(psi), psi = 0 .. `+`(`*`(2, `*`(Pi)))))), `*`(Pi)))
`/`(`*`(int(`*`(f(psi), `*`(sin(`*`(n, `*`(psi))))), psi = 0 .. `+`(`*`(2, `*`(Pi))))), `*`(`^`(R[0], n), `*`(Pi)))
`/`(`*`(int(`*`(f(psi), `*`(cos(`*`(n, `*`(psi))))), psi = 0 .. `+`(`*`(2, `*`(Pi))))), `*`(`^`(R[0], n), `*`(Pi))) (2.3.4)
 

or 

> Typesetting:-mrow(Typesetting:-msub(Typesetting:-mi(
 

 

 

`+`(`/`(`*`(`/`(1, 2), `*`(int(f(psi), psi = 0 .. `+`(`*`(2, `*`(Pi)))))), `*`(Pi)))
`/`(`*`(int(`*`(f(psi), `*`(sin(`*`(n, `*`(psi))))), psi = 0 .. `+`(`*`(2, `*`(Pi))))), `*`(`^`(R[0], n), `*`(Pi)))
`/`(`*`(int(`*`(f(psi), `*`(cos(`*`(n, `*`(psi))))), psi = 0 .. `+`(`*`(2, `*`(Pi))))), `*`(`^`(R[0], n), `*`(Pi))) (2.3.5)
 

And solution of the first boundary-value problem for Laplace's equation inside of circle is: 

> Typesetting:-mrow(Typesetting:-mi(
 

`+`(`/`(`*`(`/`(1, 2), `*`(int(f(psi), psi = 0 .. `+`(`*`(2, `*`(Pi)))))), `*`(Pi)), sum(`*`(`^`(r, n), `*`(`+`(`/`(`*`(int(`*`(f(psi), `*`(sin(`*`(n, `*`(psi))))), psi = 0 .. `+`(`*`(2, `*`(Pi)))), `... (2.3.6)
 

2.4. Poisson integral (inside of circle) 

This solution can be represented by the Poisson integral. For this purpose we will perform the transformation: 

> Typesetting:-mrow(Typesetting:-mi(
 

`+`(sum(int(`/`(`*`(`^`(r, n), `*`(`^`(R[0], `+`(`-`(n))), `*`(f(psi), `*`(cos(`*`(n, `*`(`+`(`ϕ`, `-`(psi))))))))), `*`(Pi)), psi = 0 .. `+`(`*`(2, `*`(Pi)))), n = 1 .. infinity), int(`+`(`/`(... (2.4.1)
 

and use variables 

r = ρ⋅R0, 

α = φ - ψ. 

and formulas: 

> Typesetting:-mrow(Typesetting:-msup(Typesetting:-mi(
 

`*`(`^`(r, n), `*`(`^`(R[0], `+`(`-`(n))), `*`(cos(`*`(n, `*`(`+`(`ϕ`, `-`(psi)))))))) = `*`(cos(`*`(n, `*`(alpha))), `*`(`^`(rho, n))) (2.4.2)
 

> Typesetting:-mrow(Typesetting:-mi(
 

`+`(Sum(`*`(cos(`*`(n, `*`(alpha))), `*`(`^`(rho, n))), n = 1 .. infinity), `/`(1, 2)) = `+`(`-`(`/`(`*`(`/`(1, 2), `*`(`+`(`-`(1), `*`(`^`(rho, 2))))), `*`(`+`(`-`(`*`(2, `*`(rho, `*`(cos(alpha))))),... (2.4.3)
 

After additional transformations we have: 

> Typesetting:-mrow(Typesetting:-mi(
 

`+`(`-`(`/`(`*`(`/`(1, 2), `*`(`+`(`-`(`*`(`^`(R[0], 2))), `*`(`^`(r, 2))), `*`(int(`/`(`*`(f(psi)), `*`(`+`(`-`(`*`(2, `*`(r, `*`(cos(`+`(`ϕ`, `-`(psi))), `*`(R[0]))))), `*`(`^`(R[0], 2)), `*`... (2.4.4)
 

Using denotation (kernel of  Poisson integral): 

> Typesetting:-mrow(Typesetting:-msub(Typesetting:-mi(
 

`/`(`*`(`+`(`*`(`^`(R[0], 2)), `-`(`*`(`^`(r, 2))))), `*`(`+`(`-`(`*`(2, `*`(r, `*`(cos(`+`(`ϕ`, `-`(psi))), `*`(R[0]))))), `*`(`^`(R[0], 2)), `*`(`^`(r, 2))))) (2.4.5)
 

we receive integral form of the solution (Poisson integral): 

> Typesetting:-mrow(Typesetting:-mi(
 

`+`(`/`(`*`(`/`(1, 2), `*`(int(`/`(`*`(f(psi), `*`(`+`(`*`(`^`(R[0], 2)), `-`(`*`(`^`(r, 2)))))), `*`(`+`(`-`(`*`(2, `*`(r, `*`(cos(`+`(`ϕ`, `-`(psi))), `*`(R[0]))))), `*`(`^`(R[0], 2)), `*`(`^... (2.4.6)
 

2.5. The first boundary-value problem statement (outside of circle) 

> Typesetting:-mrow(Typesetting:-mi(
 

Consider the first boundary-value problem for Laplace's equation outside of circle (external Dirichlet problem for circle). 

This problem implies that function u satisfies the Laplace's equation: 

Δu = 0 

and boundary condition on the circle boundary S: 

u(S) = f, 

where f is given function and S is circumference of radius R0. 

General solution of two-dimensional Laplace's equation in polar coordinates is (see point 1.2): 

> Typesetting:-mrow(Typesetting:-mi(
 

u(r, `ϕ`) = `+`(B1[0], `*`(B2[0], `*`(ln(r))), sum(`*`(`+`(`*`(B1[n], `*`(`^`(r, n))), `*`(B2[n], `*`(`^`(r, `+`(`-`(n)))))), `*`(`+`(`*`(A1[n], `*`(sin(`*`(n, `*`(`ϕ`))))), `*`(A2[n], `... (2.5.1)
 

and boundary conditions are: 

1) boundedness of solution at infinity: 

u < ∞; 

2) value of function u on the circle boundary S is: 

u(R0,φ) = f(φ). 

2.6. Accounting of boundary conditions (outside of circle) 

1) Boundedness of solution at infinity implies: 

B10 = 0, 

B1n = 0, 

whence it follows (with redefinition of A1n, A2n and B2n): 

> Typesetting:-mrow(Typesetting:-msub(Typesetting:-mi(
 

 

 

0
0
1 (2.6.1)
 

> Typesetting:-mrow(Typesetting:-msub(Typesetting:-mrow(Typesetting:-mi(
 

 

 

`+`(`*`(A1[n], `*`(sin(`*`(n, `*`(`ϕ`))))), `*`(A2[n], `*`(cos(`*`(n, `*`(`ϕ`))))))
B1[0]
`^`(r, `+`(`-`(n))) (2.6.2)
 

So we have: 

> Typesetting:-mrow(Typesetting:-mi(
 

`+`(B1[0], sum(`*`(`^`(r, `+`(`-`(n))), `*`(`+`(`*`(A1[n], `*`(sin(`*`(n, `*`(`ϕ`))))), `*`(A2[n], `*`(cos(`*`(n, `*`(`ϕ`)))))))), n = 1 .. infinity)) (2.6.3)
 

> Typesetting:-mrow(Typesetting:-mi(
 

`+`(B1[0], sum(`*`(`^`(r, `+`(`-`(n))), `*`(`+`(`*`(A1[n], `*`(sin(`*`(n, `*`(`ϕ`))))), `*`(A2[n], `*`(cos(`*`(n, `*`(`ϕ`)))))))), n = 1 .. infinity)) (2.6.4)
 

2) The second boundary condition implies: 

> Typesetting:-mrow(Typesetting:-mi(
 

`+`(B1[0], sum(`*`(`^`(r, `+`(`-`(n))), `*`(`+`(`*`(A1[n], `*`(sin(`*`(n, `*`(psi))))), `*`(A2[n], `*`(cos(`*`(n, `*`(psi)))))))), n = 1 .. infinity)) (2.6.5)
 

> Typesetting:-mrow(Typesetting:-mi(
 

`+`(B1[0], sum(`*`(`^`(R[0], `+`(`-`(n))), `*`(`+`(`*`(A1[n], `*`(sin(`*`(n, `*`(psi))))), `*`(A2[n], `*`(cos(`*`(n, `*`(psi)))))))), n = 1 .. infinity)) (2.6.6)
 

> Typesetting:-mrow(Typesetting:-msub(Typesetting:-mi(
 

f(psi) = `+`(B1[0], sum(`*`(`^`(R[0], `+`(`-`(n))), `*`(`+`(`*`(A1[n], `*`(sin(`*`(n, `*`(psi))))), `*`(A2[n], `*`(cos(`*`(n, `*`(psi)))))))), n = 1 .. infinity)) (2.6.7)
 

Using these relations we will find: 

> Typesetting:-mrow(Typesetting:-msubsup(Typesetting:-mo(
 

int(`*`(f(psi), `*`(sin(`*`(k, `*`(psi))))), psi = 0 .. `+`(`*`(2, `*`(Pi)))) = int(`*`(`+`(B1[0], sum(`*`(`^`(R[0], `+`(`-`(n))), `*`(`+`(`*`(A1[n], `*`(sin(`*`(n, `*`(psi))))), `*`(A2[n], `*`(cos(`*... (2.6.8)
 

> Typesetting:-mrow(Typesetting:-mi(
 

int(`*`(f(psi), `*`(cos(`*`(k, `*`(psi))))), psi = 0 .. `+`(`*`(2, `*`(Pi)))) = int(`*`(`+`(B1[0], sum(`*`(`^`(R[0], `+`(`-`(n))), `*`(`+`(`*`(A1[n], `*`(sin(`*`(n, `*`(psi))))), `*`(A2[n], `*`(cos(`*... (2.6.9)
 

2.7. Calculation of coefficients (outside of circle) 

Using of formulas (6.1) - (6.6) (see Appendix 1) - orthonormality conditions - gives: 

> Typesetting:-mrow(Typesetting:-msubsup(Typesetting:-mo(
 

Int(`*`(`^`(R[0], `+`(`-`(n))), `*`(`+`(`*`(A1[n], `*`(sin(`*`(n, `*`(psi))))), `*`(A2[n], `*`(cos(`*`(n, `*`(psi)))))), `*`(sin(`*`(n, `*`(psi)))))), psi = 0 .. `+`(`*`(2, `*`(Pi)))) = `*`(`^`(R[0], ... (2.7.1)
 

> Typesetting:-mrow(Typesetting:-msubsup(Typesetting:-mo(
 

Int(`*`(`^`(R[0], `+`(`-`(n))), `*`(`+`(`*`(A1[n], `*`(sin(`*`(n, `*`(psi))))), `*`(A2[n], `*`(cos(`*`(n, `*`(psi)))))), `*`(cos(`*`(n, `*`(psi)))))), psi = 0 .. `+`(`*`(2, `*`(Pi)))) = `*`(`^`(R[0], ... (2.7.2)
 

> Typesetting:-mrow(Typesetting:-msubsup(Typesetting:-mo(
 

 

 

int(`*`(f(psi), `*`(sin(`*`(n, `*`(psi))))), psi = 0 .. `+`(`*`(2, `*`(Pi)))) = `*`(`^`(R[0], `+`(`-`(n))), `*`(A1[n], `*`(Pi)))
int(`*`(f(psi), `*`(cos(`*`(n, `*`(psi))))), psi = 0 .. `+`(`*`(2, `*`(Pi)))) = `*`(`^`(R[0], `+`(`-`(n))), `*`(A2[n], `*`(Pi)))
int(f(psi), psi = 0 .. `+`(`*`(2, `*`(Pi)))) = `+`(`*`(2, `*`(B1[0], `*`(Pi)))) (2.7.3)
 

As a result of calculations we find: 

> Typesetting:-mrow(Typesetting:-mi(
 

 

 

`+`(`/`(`*`(`/`(1, 2), `*`(int(f(psi), psi = 0 .. `+`(`*`(2, `*`(Pi)))))), `*`(Pi)))
`/`(`*`(int(`*`(f(psi), `*`(sin(`*`(n, `*`(psi))))), psi = 0 .. `+`(`*`(2, `*`(Pi)))), `*`(`^`(R[0], n))), `*`(Pi))
`/`(`*`(int(`*`(f(psi), `*`(cos(`*`(n, `*`(psi))))), psi = 0 .. `+`(`*`(2, `*`(Pi)))), `*`(`^`(R[0], n))), `*`(Pi)) (2.7.4)
 

or 

> Typesetting:-mrow(Typesetting:-msub(Typesetting:-mi(
 

 

 

`+`(`/`(`*`(`/`(1, 2), `*`(int(f(psi), psi = 0 .. `+`(`*`(2, `*`(Pi)))))), `*`(Pi)))
`/`(`*`(int(`*`(f(psi), `*`(sin(`*`(n, `*`(psi))))), psi = 0 .. `+`(`*`(2, `*`(Pi)))), `*`(`^`(R[0], n))), `*`(Pi))
`/`(`*`(int(`*`(f(psi), `*`(cos(`*`(n, `*`(psi))))), psi = 0 .. `+`(`*`(2, `*`(Pi)))), `*`(`^`(R[0], n))), `*`(Pi)) (2.7.5)
 

And solution of the first boundary-value problem for Laplace's equation outside of circle is: 

> Typesetting:-mrow(Typesetting:-mi(
 

`+`(`/`(`*`(`/`(1, 2), `*`(int(f(psi), psi = 0 .. `+`(`*`(2, `*`(Pi)))))), `*`(Pi)), sum(`*`(`^`(r, `+`(`-`(n))), `*`(`+`(`/`(`*`(int(`*`(f(psi), `*`(sin(`*`(n, `*`(psi))))), psi = 0 .. `+`(`*`(2, `*`... (2.7.6)
 

2.8. Poisson integral (outside of circle) 

This solution can be represented by the Poisson integral. For this purpose we will perform the transformation: 

> Typesetting:-mrow(Typesetting:-mi(
 

`+`(sum(int(`/`(`*`(`^`(r, `+`(`-`(n))), `*`(`^`(R[0], n), `*`(f(psi), `*`(cos(`*`(n, `*`(`+`(`ϕ`, `-`(psi))))))))), `*`(Pi)), psi = 0 .. `+`(`*`(2, `*`(Pi)))), n = 1 .. infinity), int(`+`(`/`(... (2.8.1)
 

and use variables 

R0 = ρ⋅r, 

α = φ - ψ. 

and formulas: 

> Typesetting:-mrow(Typesetting:-mi(
 

`*`(`^`(r, `+`(`-`(n))), `*`(`^`(R[0], n), `*`(cos(`*`(n, `*`(`+`(`ϕ`, `-`(psi)))))))) = `*`(cos(`*`(n, `*`(alpha))), `*`(`^`(rho, n))) (2.8.2)
 

> Typesetting:-mrow(Typesetting:-mi(
 

`+`(Sum(`*`(cos(`*`(n, `*`(alpha))), `*`(`^`(rho, n))), n = 1 .. infinity), `/`(1, 2)) = `+`(`-`(`/`(`*`(`/`(1, 2), `*`(`+`(`*`(`^`(rho, 2)), `-`(1)))), `*`(`+`(`-`(`*`(2, `*`(rho, `*`(cos(alpha))))),... (2.8.3)
 

After additional transformations we have: 

> Typesetting:-mrow(Typesetting:-mi(
 

`+`(`/`(`*`(`/`(1, 2), `*`(`+`(`-`(`*`(`^`(R[0], 2))), `*`(`^`(r, 2))), `*`(int(`/`(`*`(f(psi)), `*`(`+`(`-`(`*`(2, `*`(R[0], `*`(cos(`+`(`ϕ`, `-`(psi))), `*`(r))))), `*`(`^`(r, 2)), `*`(`^`(R[... (2.8.4)
 

Using denotation (kernel of  Poisson integral): 

> Typesetting:-mrow(Typesetting:-msub(Typesetting:-mi(
 

`/`(`*`(`+`(`-`(`*`(`^`(R[0], 2))), `*`(`^`(r, 2)))), `*`(`+`(`-`(`*`(2, `*`(R[0], `*`(cos(`+`(`ϕ`, `-`(psi))), `*`(r))))), `*`(`^`(r, 2)), `*`(`^`(R[0], 2))))) (2.8.5)
 

we receive integral form of the solution (Poisson integral): 

> Typesetting:-mrow(Typesetting:-mi(
 

`+`(`-`(`/`(`*`(`/`(1, 2), `*`(int(`/`(`*`(f(psi), `*`(`+`(`-`(`*`(`^`(R[0], 2))), `*`(`^`(r, 2))))), `*`(`+`(`-`(`*`(2, `*`(R[0], `*`(cos(`+`(`ϕ`, `-`(psi))), `*`(r))))), `*`(`^`(r, 2)), `*`(`... (2.8.6)
 

2.9. General representation of the solution in expanded form for circle 

> Typesetting:-mrow(Typesetting:-mi(
 

The solution inside of circle is: 

> Typesetting:-mrow(Typesetting:-msub(Typesetting:-mi(
 

u[int](r, `ϕ`) = `+`(B1[int][0], sum(`*`(`^`(r, n), `*`(`+`(`*`(A1[int][n], `*`(sin(`*`(n, `*`(`ϕ`))))), `*`(A2[int][n], `*`(cos(`*`(n, `*`(`ϕ`)))))))), n = 1 .. infinity)) (2.9.1)
 

where 

> Typesetting:-mrow(Typesetting:-msub(Typesetting:-mrow(Typesetting:-msub(Typesetting:-mi(
 

 

 

`+`(`/`(`*`(`/`(1, 2), `*`(int(f(psi), psi = 0 .. `+`(`*`(2, `*`(Pi)))))), `*`(Pi)))
`/`(`*`(int(`*`(f(psi), `*`(sin(`*`(n, `*`(psi))))), psi = 0 .. `+`(`*`(2, `*`(Pi))))), `*`(`^`(R[0], n), `*`(Pi)))
`/`(`*`(int(`*`(f(psi), `*`(cos(`*`(n, `*`(psi))))), psi = 0 .. `+`(`*`(2, `*`(Pi))))), `*`(`^`(R[0], n), `*`(Pi))) (2.9.2)
 

Now we redefine coefficients: 

> Typesetting:-mrow(Typesetting:-msub(Typesetting:-mi(
 

 

 

a2[0] = `/`(`*`(int(f(psi), psi = 0 .. `+`(`*`(2, `*`(Pi))))), `*`(Pi))
a1[n] = `/`(`*`(int(`*`(f(psi), `*`(sin(`*`(n, `*`(psi))))), psi = 0 .. `+`(`*`(2, `*`(Pi))))), `*`(Pi))
a2[n] = `/`(`*`(int(`*`(f(psi), `*`(cos(`*`(n, `*`(psi))))), psi = 0 .. `+`(`*`(2, `*`(Pi))))), `*`(Pi)) (2.9.3)
 

and get the formula: 

> Typesetting:-mrow(Typesetting:-msub(Typesetting:-mi(
 

`+`(`*`(`/`(1, 2), `*`(a2[0])), sum(`*`(`^`(`/`(`*`(r), `*`(R[0])), n), `*`(`+`(`*`(a1[n], `*`(sin(`*`(n, `*`(`ϕ`))))), `*`(a2[n], `*`(cos(`*`(n, `*`(`ϕ`)))))))), n = 1 .. infinity)) (2.9.4)
 

The solution outside of circle is: 

> Typesetting:-mrow(Typesetting:-msub(Typesetting:-mi(
 

u[ext](r, `ϕ`) = `+`(B1[ext][0], sum(`*`(`^`(r, `+`(`-`(n))), `*`(`+`(`*`(A1[ext][n], `*`(sin(`*`(n, `*`(`ϕ`))))), `*`(A2[ext][n], `*`(cos(`*`(n, `*`(`ϕ`)))))))), n = 1 .. infinit... (2.9.5)
 

where 

> Typesetting:-mrow(Typesetting:-msub(Typesetting:-mrow(Typesetting:-msub(Typesetting:-mi(
 

 

 

`+`(`/`(`*`(`/`(1, 2), `*`(int(f(psi), psi = 0 .. `+`(`*`(2, `*`(Pi)))))), `*`(Pi)))
`/`(`*`(int(`*`(f(psi), `*`(sin(`*`(n, `*`(psi))))), psi = 0 .. `+`(`*`(2, `*`(Pi))))), `*`(`^`(R[0], n), `*`(Pi)))
`/`(`*`(int(`*`(f(psi), `*`(cos(`*`(n, `*`(psi))))), psi = 0 .. `+`(`*`(2, `*`(Pi))))), `*`(`^`(R[0], n), `*`(Pi))) (2.9.6)
 

Now we redefine coefficients: 

> Typesetting:-mrow(Typesetting:-msub(Typesetting:-mi(
 

 

 

a2[0] = `/`(`*`(int(f(psi), psi = 0 .. `+`(`*`(2, `*`(Pi))))), `*`(Pi))
a1[n] = `/`(`*`(int(`*`(f(psi), `*`(sin(`*`(n, `*`(psi))))), psi = 0 .. `+`(`*`(2, `*`(Pi))))), `*`(Pi))
a2[n] = `/`(`*`(int(`*`(f(psi), `*`(cos(`*`(n, `*`(psi))))), psi = 0 .. `+`(`*`(2, `*`(Pi))))), `*`(Pi)) (2.9.7)
 

and get the formula: 

> Typesetting:-mrow(Typesetting:-msub(Typesetting:-mi(
 

`+`(`*`(`/`(1, 2), `*`(a2[0])), sum(`*`(`^`(`/`(`*`(R[0]), `*`(r)), n), `*`(`+`(`*`(a1[n], `*`(sin(`*`(n, `*`(`ϕ`))))), `*`(a2[n], `*`(cos(`*`(n, `*`(`ϕ`)))))))), n = 1 .. infinity)) (2.9.8)
 

Thus we have the solution in expanded form for circle: 

> Typesetting:-mrow(Typesetting:-mi(
 

piecewise(`<`(r, R[0]), `+`(`*`(`/`(1, 2), `*`(a2[0])), sum(`*`(`^`(`/`(`*`(r), `*`(R[0])), n), `*`(`+`(`*`(a1[n], `*`(sin(`*`(n, `*`(`ϕ`))))), `*`(a2[n], `*`(cos(`*`(n, `*`(`ϕ`)))))))),... (2.9.9)
 

2.10. Poisson integral for circle 

> Typesetting:-mrow(Typesetting:-mi(
 

Poisson integral for circle inside of circle is: 

> Typesetting:-mrow(Typesetting:-msub(Typesetting:-mi(
 

`/`(`*`(`+`(`*`(`^`(R[0], 2)), `-`(`*`(`^`(r, 2))))), `*`(`+`(`-`(`*`(2, `*`(r, `*`(cos(`+`(`-`(`ϕ`), psi)), `*`(R[0]))))), `*`(`^`(R[0], 2)), `*`(`^`(r, 2))))) (2.10.1)
 

> Typesetting:-mrow(Typesetting:-msub(Typesetting:-mi(
 

`+`(`-`(`/`(`*`(`/`(1, 2), `*`(int(`/`(`*`(f(psi), `*`(`+`(`*`(`^`(R[0], 2)), `-`(`*`(`^`(r, 2)))))), `*`(`+`(`-`(`*`(2, `*`(r, `*`(cos(`+`(`-`(`ϕ`), psi)), `*`(R[0]))))), `*`(`^`(R[0], 2)), `*... (2.10.2)
 

Poisson integral for circle outside of circle is: 

> Typesetting:-mrow(Typesetting:-msub(Typesetting:-mrow(Typesetting:-msub(Typesetting:-mi(
 

`/`(`*`(`+`(`-`(`*`(`^`(R[0], 2))), `*`(`^`(r, 2)))), `*`(`+`(`-`(`*`(2, `*`(r, `*`(cos(`+`(`-`(`ϕ`), psi)), `*`(R[0]))))), `*`(`^`(R[0], 2)), `*`(`^`(r, 2))))) (2.10.3)
 

> Typesetting:-mrow(Typesetting:-msub(Typesetting:-mi(
 

`+`(`-`(`/`(`*`(`/`(1, 2), `*`(int(`/`(`*`(f(psi), `*`(`+`(`-`(`*`(`^`(R[0], 2))), `*`(`^`(r, 2))))), `*`(`+`(`-`(`*`(2, `*`(r, `*`(cos(`+`(`-`(`ϕ`), psi)), `*`(R[0]))))), `*`(`^`(R[0], 2)), `*... (2.10.4)
 

So the Poisson integral for circle is: 

> Typesetting:-mrow(Typesetting:-mi(
 

piecewise(`<`(r, R[0]), `/`(`*`(`+`(`*`(`^`(R[0], 2)), `-`(`*`(`^`(r, 2))))), `*`(`+`(`-`(`*`(2, `*`(r, `*`(cos(`+`(`-`(`ϕ`), psi)), `*`(R[0]))))), `*`(`^`(R[0], 2)), `*`(`^`(r, 2))))), `<`(R[0... (2.10.5)
 

> Typesetting:-mrow(Typesetting:-mi(
 

piecewise(`<`(r, R[0]), `+`(`-`(`/`(`*`(`/`(1, 2), `*`(int(`/`(`*`(f(psi), `*`(`+`(`*`(`^`(R[0], 2)), `-`(`*`(`^`(r, 2)))))), `*`(`+`(`-`(`*`(2, `*`(r, `*`(cos(`+`(`-`(`ϕ`), psi)), `*`(R[0]))))... (2.10.6)
 

3. The second boundary-value problem for Laplace's equation in circle 

3.1. The second boundary-value problem statement (inside of circle) 

> Typesetting:-mrow(Typesetting:-mi(
 

Consider the first boundary-value problem for Laplace's equation inside of circle (internal Neumann problem for circle). 

This problem implies that function u satisfies the Laplace's equation: 

Δu = 0 

and boundary condition on the circle boundary S: 

Typesetting:-mrow(Typesetting:-mi( = g, 

where g is given function and S is circumference of radius R0. 

General solution of two-dimensional Laplace's equation in polar coordinates is (see point 1.2): 

> Typesetting:-mrow(Typesetting:-mi(
 

u(r, `ϕ`) = `+`(B1[0], `*`(B2[0], `*`(ln(r))), sum(`*`(`+`(`*`(B1[n], `*`(`^`(r, n))), `*`(B2[n], `*`(`^`(r, `+`(`-`(n)))))), `*`(`+`(`*`(A1[n], `*`(sin(`*`(n, `*`(`ϕ`))))), `*`(A2[n], `... (3.1.1)
 

and boundary conditions are: 

1) boundedness of solution at origin of coordinates: 

u < ∞; 

2) value of derivative of function u on the circle boundary S is: 

Typesetting:-mrow(Typesetting:-mi( = g(φ). 

3.2. Accounting of boundary conditions (inside of circle) 

1) Boundedness of solution at origin of coordinates implies: 

B20 = 0, 

B2n = 0, 

whence it follows (with redefinition of A1n, A2n and B1n): 

> Typesetting:-mrow(Typesetting:-msub(Typesetting:-mi(
 

 

 

0
0
1 (3.2.1)
 

> Typesetting:-mrow(Typesetting:-msub(Typesetting:-mrow(Typesetting:-mi(
 

 

 

`+`(`*`(A1[n], `*`(sin(`*`(n, `*`(`ϕ`))))), `*`(A2[n], `*`(cos(`*`(n, `*`(`ϕ`))))))
B1[0]
`^`(r, n) (3.2.2)
 

So we have: 

> Typesetting:-mrow(Typesetting:-mi(
 

`+`(B1[0], sum(`*`(`^`(r, n), `*`(`+`(`*`(A1[n], `*`(sin(`*`(n, `*`(`ϕ`))))), `*`(A2[n], `*`(cos(`*`(n, `*`(`ϕ`)))))))), n = 1 .. infinity)) (3.2.3)
 

and 

> Typesetting:-mrow(Typesetting:-msub(Typesetting:-mi(
 

sum(`*`(`^`(r, `+`(n, `-`(1))), `*`(n, `*`(`+`(`*`(A1[n], `*`(sin(`*`(n, `*`(`ϕ`))))), `*`(A2[n], `*`(cos(`*`(n, `*`(`ϕ`))))))))), n = 1 .. infinity) (3.2.4)
 

2) The second boundary condition implies: 

> Typesetting:-mrow(Typesetting:-mi(
 

`+`(B1[0], sum(`*`(`^`(r, n), `*`(`+`(`*`(A1[n], `*`(sin(`*`(n, `*`(psi))))), `*`(A2[n], `*`(cos(`*`(n, `*`(psi)))))))), n = 1 .. infinity)) (3.2.5)
 

> Typesetting:-mrow(Typesetting:-mi(
 

sum(`*`(`^`(r, `+`(n, `-`(1))), `*`(n, `*`(`+`(`*`(A1[n], `*`(sin(`*`(n, `*`(psi))))), `*`(A2[n], `*`(cos(`*`(n, `*`(psi))))))))), n = 1 .. infinity) (3.2.6)
 

> Typesetting:-mrow(Typesetting:-mi(
 

sum(`*`(`^`(R[0], `+`(n, `-`(1))), `*`(n, `*`(`+`(`*`(A1[n], `*`(sin(`*`(n, `*`(psi))))), `*`(A2[n], `*`(cos(`*`(n, `*`(psi))))))))), n = 1 .. infinity) (3.2.7)
 

> Typesetting:-mrow(Typesetting:-mi(
 

g(psi) = sum(`*`(`^`(R[0], `+`(n, `-`(1))), `*`(n, `*`(`+`(`*`(A1[n], `*`(sin(`*`(n, `*`(psi))))), `*`(A2[n], `*`(cos(`*`(n, `*`(psi))))))))), n = 1 .. infinity) (3.2.8)
 

Using these relations we will find: 

> Typesetting:-mrow(Typesetting:-msubsup(Typesetting:-mo(
 

int(`*`(g(psi), `*`(sin(`*`(k, `*`(psi))))), psi = 0 .. `+`(`*`(2, `*`(Pi)))) = int(`*`(sum(`*`(`^`(R[0], `+`(n, `-`(1))), `*`(n, `*`(`+`(`*`(A1[n], `*`(sin(`*`(n, `*`(psi))))), `*`(A2[n], `*`(cos(`*`... (3.2.9)
 

> Typesetting:-mrow(Typesetting:-msubsup(Typesetting:-mo(
 

int(`*`(g(psi), `*`(cos(`*`(k, `*`(psi))))), psi = 0 .. `+`(`*`(2, `*`(Pi)))) = int(`*`(sum(`*`(`^`(R[0], `+`(n, `-`(1))), `*`(n, `*`(`+`(`*`(A1[n], `*`(sin(`*`(n, `*`(psi))))), `*`(A2[n], `*`(cos(`*`... (3.2.10)
 

3.3. Calculation of coefficients (inside of circle) 

Using of formulas (6.1) - (6.6) (see Appendix 1) - orthonormality conditions - gives: 

> Typesetting:-mrow(Typesetting:-msubsup(Typesetting:-mo(
 

Int(`*`(`^`(R[0], `+`(n, `-`(1))), `*`(n, `*`(`+`(`*`(A1[n], `*`(sin(`*`(n, `*`(psi))))), `*`(A2[n], `*`(cos(`*`(n, `*`(psi)))))), `*`(sin(`*`(n, `*`(psi))))))), psi = 0 .. `+`(`*`(2, `*`(Pi)))) = `*`... (3.3.1)
 

> Typesetting:-mrow(Typesetting:-msubsup(Typesetting:-mo(
 

Int(`*`(`^`(R[0], `+`(n, `-`(1))), `*`(n, `*`(`+`(`*`(A1[n], `*`(sin(`*`(n, `*`(psi))))), `*`(A2[n], `*`(cos(`*`(n, `*`(psi)))))), `*`(cos(`*`(n, `*`(psi))))))), psi = 0 .. `+`(`*`(2, `*`(Pi)))) = `*`... (3.3.2)
 

> Typesetting:-mrow(Typesetting:-msubsup(Typesetting:-mo(
 

 

int(`*`(g(psi), `*`(sin(`*`(n, `*`(psi))))), psi = 0 .. `+`(`*`(2, `*`(Pi)))) = `*`(`^`(R[0], `+`(n, `-`(1))), `*`(A1[n], `*`(n, `*`(Pi))))
int(`*`(g(psi), `*`(cos(`*`(n, `*`(psi))))), psi = 0 .. `+`(`*`(2, `*`(Pi)))) = `*`(`^`(R[0], `+`(n, `-`(1))), `*`(A2[n], `*`(n, `*`(Pi)))) (3.3.3)
 

As a result of calculations we find: 

> Typesetting:-mrow(Typesetting:-mi(
 

 

`/`(`*`(int(`*`(g(psi), `*`(sin(`*`(n, `*`(psi))))), psi = 0 .. `+`(`*`(2, `*`(Pi))))), `*`(`^`(R[0], `+`(n, `-`(1))), `*`(n, `*`(Pi))))
`/`(`*`(int(`*`(g(psi), `*`(cos(`*`(n, `*`(psi))))), psi = 0 .. `+`(`*`(2, `*`(Pi))))), `*`(`^`(R[0], `+`(n, `-`(1))), `*`(n, `*`(Pi)))) (3.3.4)
 

or 

> Typesetting:-mrow(Typesetting:-msub(Typesetting:-mi(
 

 

`/`(`*`(int(`*`(g(psi), `*`(sin(`*`(n, `*`(psi))))), psi = 0 .. `+`(`*`(2, `*`(Pi))))), `*`(`^`(R[0], `+`(n, `-`(1))), `*`(n, `*`(Pi))))
`/`(`*`(int(`*`(g(psi), `*`(cos(`*`(n, `*`(psi))))), psi = 0 .. `+`(`*`(2, `*`(Pi))))), `*`(`^`(R[0], `+`(n, `-`(1))), `*`(n, `*`(Pi)))) (3.3.5)
 

And solution of the second boundary-value problem for Laplace's equation inside of circle is: 

> Typesetting:-mrow(Typesetting:-mi(
 

`+`(B1[0], sum(`*`(`^`(r, n), `*`(`+`(`/`(`*`(int(`*`(g(psi), `*`(sin(`*`(n, `*`(psi))))), psi = 0 .. `+`(`*`(2, `*`(Pi)))), `*`(sin(`*`(n, `*`(`ϕ`))))), `*`(`^`(R[0], `+`(n, `-`(1))), `*`(n, `... (3.3.6)
 

3.4. Poisson integral (inside of circle) 

This solution can be represented by the Poisson integral. For this purpose we will perform the transformation: 

> Typesetting:-mrow(Typesetting:-mi(
 

`+`(sum(int(`/`(`*`(`^`(r, n), `*`(`^`(R[0], `+`(`-`(n), 1)), `*`(g(psi), `*`(cos(`*`(n, `*`(`+`(`ϕ`, `-`(psi))))))))), `*`(n, `*`(Pi))), psi = 0 .. `+`(`*`(2, `*`(Pi)))), n = 1 .. infinity), B... (3.4.1)
 

and use variables 

r = ρ⋅R0, 

α = φ - ψ. 

and formulas: 

> Typesetting:-mrow(Typesetting:-msup(Typesetting:-mi(
 

`*`(`^`(r, n), `*`(`^`(R[0], `+`(`-`(n), 1)), `*`(cos(`*`(n, `*`(`+`(`ϕ`, `-`(psi)))))))) = `*`(R[0], `*`(cos(`*`(n, `*`(alpha))), `*`(`^`(rho, n)))) (3.4.2)
 

Now we have 

> Typesetting:-mrow(Typesetting:-mi(
 

`+`(B1[0], `/`(`*`(R[0], `*`(sum(int(`/`(`*`(`^`(rho, n), `*`(g(psi), `*`(cos(`*`(n, `*`(alpha)))))), `*`(n)), psi = 0 .. `+`(`*`(2, `*`(Pi)))), n = 1 .. infinity))), `*`(Pi))) (3.4.3)
 

Consider kernel of  Poisson integral: 

> Typesetting:-mrow(Typesetting:-mi(
 

sum(`/`(`*`(`^`(rho, n), `*`(cos(`*`(n, `*`(alpha))))), `*`(n)), n = 1 .. infinity) (3.4.4)
 

and relation: 

> Typesetting:-mrow(Typesetting:-mi(
 

Diff(sum(`/`(`*`(`^`(rho, n), `*`(cos(`*`(n, `*`(alpha))))), `*`(n)), n = 1 .. infinity), rho) = `+`(`-`(`/`(`*`(`+`(cos(alpha), `-`(rho))), `*`(`+`(`*`(2, `*`(rho, `*`(cos(alpha)))), `-`(1), `-`(`*`(... (3.4.5)
 

Integration gives: 

> Typesetting:-mrow(Typesetting:-msub(Typesetting:-mi(
 

`+`(`-`(`*`(`/`(1, 2), `*`(ln(`+`(`-`(`*`(2, `*`(rho, `*`(cos(alpha))))), 1, `*`(`^`(rho, 2)))))))) (3.4.6)
 

and 

> Typesetting:-mrow(Typesetting:-mi(
 

`+`(B1[0], `/`(`*`(R[0], `*`(int(`+`(`-`(`*`(`/`(1, 2), `*`(g(psi), `*`(ln(`+`(`-`(`*`(2, `*`(rho, `*`(cos(alpha))))), 1, `*`(`^`(rho, 2))))))))), psi = 0 .. `+`(`*`(2, `*`(Pi)))))), `*`(Pi))) (3.4.7)
 

So we receive integral form of the solution (Poisson integral): 

> Typesetting:-mrow(Typesetting:-mi(
 

`+`(`-`(`*`(`/`(1, 2), `*`(ln(`+`(`-`(`/`(`*`(2, `*`(r, `*`(cos(`+`(`ϕ`, `-`(psi)))))), `*`(R[0]))), 1, `/`(`*`(`^`(r, 2)), `*`(`^`(R[0], 2))))))))) (3.4.8)
 

> Typesetting:-mrow(Typesetting:-mi(
 

`+`(B1[0], `/`(`*`(R[0], `*`(int(`+`(`-`(`*`(`/`(1, 2), `*`(g(psi), `*`(ln(`+`(`-`(`/`(`*`(2, `*`(r, `*`(cos(`+`(`ϕ`, `-`(psi)))))), `*`(R[0]))), 1, `/`(`*`(`^`(r, 2)), `*`(`^`(R[0], 2)))))))))... (3.4.9)
 

3.5. The second boundary-value problem statement (outside of circle) 

> Typesetting:-mrow(Typesetting:-mi(
 

Consider the second boundary-value problem for Laplace's equation inside of circle (external Neumann problem for circle). 

This problem implies that function u satisfies the Laplace's equation: 

Δu = 0 

and boundary condition on the circle boundary S: 

Typesetting:-mrow(Typesetting:-mi( = g, 

where g is given function and S is circumference of radius R0. 

General solution of two-dimensional Laplace's equation in polar coordinates is (see point 1.2): 

> Typesetting:-mrow(Typesetting:-mi(
 

u(r, `ϕ`) = `+`(B1[0], `*`(B2[0], `*`(ln(r))), sum(`*`(`+`(`*`(B1[n], `*`(`^`(r, n))), `*`(B2[n], `*`(`^`(r, `+`(`-`(n)))))), `*`(`+`(`*`(A1[n], `*`(sin(`*`(n, `*`(`ϕ`))))), `*`(A2[n], `... (3.5.1)
 

and boundary conditions are: 

1) boundedness of solution at infinity: 

u < ∞; 

2) value of derivative of function u on the circle boundary S is: 

Typesetting:-mrow(Typesetting:-mi( = g(φ). 

3.6. Accounting of boundary conditions (inside of circle) 

1) Boundedness of solution at origin of coordinates implies:: 

B20 = 0, 

B1n = 0, 

whence it follows (with redefinition of A1n, A2n and B1n): 

> Typesetting:-mrow(Typesetting:-msub(Typesetting:-mi(
 

 

 

0
0
1 (3.6.1)
 

> Typesetting:-mrow(Typesetting:-msub(Typesetting:-mrow(Typesetting:-mi(
 

 

 

`+`(`*`(A1[n], `*`(sin(`*`(n, `*`(`ϕ`))))), `*`(A2[n], `*`(cos(`*`(n, `*`(`ϕ`))))))
B1[0]
`^`(r, `+`(`-`(n))) (3.6.2)
 

So we have: 

> Typesetting:-mrow(Typesetting:-mi(
 

`+`(B1[0], sum(`*`(`^`(r, `+`(`-`(n))), `*`(`+`(`*`(A1[n], `*`(sin(`*`(n, `*`(`ϕ`))))), `*`(A2[n], `*`(cos(`*`(n, `*`(`ϕ`)))))))), n = 1 .. infinity)) (3.6.3)
 

and 

> Typesetting:-mrow(Typesetting:-msub(Typesetting:-mi(
 

sum(`+`(`-`(`*`(`^`(r, `+`(`-`(n), `-`(1))), `*`(n, `*`(`+`(`*`(A1[n], `*`(sin(`*`(n, `*`(`ϕ`))))), `*`(A2[n], `*`(cos(`*`(n, `*`(`ϕ`))))))))))), n = 1 .. infinity) (3.6.4)
 

2) The second boundary condition implies: 

> Typesetting:-mrow(Typesetting:-mi(
 

`+`(B1[0], sum(`*`(`^`(r, `+`(`-`(n))), `*`(`+`(`*`(A1[n], `*`(sin(`*`(n, `*`(psi))))), `*`(A2[n], `*`(cos(`*`(n, `*`(psi)))))))), n = 1 .. infinity)) (3.6.5)
 

> Typesetting:-mrow(Typesetting:-mi(
 

sum(`+`(`-`(`*`(`^`(r, `+`(`-`(n), `-`(1))), `*`(n, `*`(`+`(`*`(A1[n], `*`(sin(`*`(n, `*`(psi))))), `*`(A2[n], `*`(cos(`*`(n, `*`(psi))))))))))), n = 1 .. infinity) (3.6.6)
 

> Typesetting:-mrow(Typesetting:-mi(
 

sum(`+`(`-`(`*`(`^`(R[0], `+`(`-`(n), `-`(1))), `*`(n, `*`(`+`(`*`(A1[n], `*`(sin(`*`(n, `*`(psi))))), `*`(A2[n], `*`(cos(`*`(n, `*`(psi))))))))))), n = 1 .. infinity) (3.6.7)
 

> Typesetting:-mrow(Typesetting:-mi(
 

g(psi) = sum(`+`(`-`(`*`(`^`(R[0], `+`(`-`(n), `-`(1))), `*`(n, `*`(`+`(`*`(A1[n], `*`(sin(`*`(n, `*`(psi))))), `*`(A2[n], `*`(cos(`*`(n, `*`(psi))))))))))), n = 1 .. infinity) (3.6.8)
 

Using these relations we will find: 

> Typesetting:-mrow(Typesetting:-msubsup(Typesetting:-mo(
 

int(`*`(g(psi), `*`(sin(`*`(k, `*`(psi))))), psi = 0 .. `+`(`*`(2, `*`(Pi)))) = int(`*`(sum(`+`(`-`(`*`(`^`(R[0], `+`(`-`(n), `-`(1))), `*`(n, `*`(`+`(`*`(A1[n], `*`(sin(`*`(n, `*`(psi))))), `*`(A2[n]... (3.6.9)
 

> Typesetting:-mrow(Typesetting:-msubsup(Typesetting:-mo(
 

int(`*`(g(psi), `*`(cos(`*`(k, `*`(psi))))), psi = 0 .. `+`(`*`(2, `*`(Pi)))) = int(`*`(sum(`+`(`-`(`*`(`^`(R[0], `+`(`-`(n), `-`(1))), `*`(n, `*`(`+`(`*`(A1[n], `*`(sin(`*`(n, `*`(psi))))), `*`(A2[n]... (3.6.10)
 

3.7. Calculation of coefficients (inside of circle) 

Using of formulas (6.1) - (6.6) (see Appendix 1) - orthonormality conditions - gives: 

> Typesetting:-mrow(Typesetting:-msubsup(Typesetting:-mo(
 

Int(`+`(`-`(`*`(`^`(R[0], `+`(`-`(n), `-`(1))), `*`(n, `*`(`+`(`*`(A1[n], `*`(sin(`*`(n, `*`(psi))))), `*`(A2[n], `*`(cos(`*`(n, `*`(psi)))))), `*`(sin(`*`(n, `*`(psi))))))))), psi = 0 .. `+`(`*`(2, `... (3.7.1)
 

> Typesetting:-mrow(Typesetting:-msubsup(Typesetting:-mo(
 

Int(`+`(`-`(`*`(`^`(R[0], `+`(`-`(n), `-`(1))), `*`(n, `*`(`+`(`*`(A1[n], `*`(sin(`*`(n, `*`(psi))))), `*`(A2[n], `*`(cos(`*`(n, `*`(psi)))))), `*`(cos(`*`(n, `*`(psi))))))))), psi = 0 .. `+`(`*`(2, `... (3.7.2)
 

> Typesetting:-mrow(Typesetting:-msubsup(Typesetting:-mo(
 

 

int(`*`(g(psi), `*`(sin(`*`(n, `*`(psi))))), psi = 0 .. `+`(`*`(2, `*`(Pi)))) = `+`(`-`(`*`(`^`(R[0], `+`(`-`(n), `-`(1))), `*`(A1[n], `*`(n, `*`(Pi))))))
int(`*`(g(psi), `*`(cos(`*`(n, `*`(psi))))), psi = 0 .. `+`(`*`(2, `*`(Pi)))) = `+`(`-`(`*`(`^`(R[0], `+`(`-`(n), `-`(1))), `*`(A2[n], `*`(n, `*`(Pi)))))) (3.7.3)
 

As a result of calculations we find: 

> Typesetting:-mrow(Typesetting:-mi(
 

 

`+`(`-`(`/`(`*`(int(`*`(g(psi), `*`(sin(`*`(n, `*`(psi))))), psi = 0 .. `+`(`*`(2, `*`(Pi))))), `*`(`^`(R[0], `+`(`-`(n), `-`(1))), `*`(n, `*`(Pi))))))
`+`(`-`(`/`(`*`(int(`*`(g(psi), `*`(cos(`*`(n, `*`(psi))))), psi = 0 .. `+`(`*`(2, `*`(Pi))))), `*`(`^`(R[0], `+`(`-`(n), `-`(1))), `*`(n, `*`(Pi)))))) (3.7.4)
 

or 

> Typesetting:-mrow(Typesetting:-msub(Typesetting:-mi(
 

 

`+`(`-`(`/`(`*`(int(`*`(g(psi), `*`(sin(`*`(n, `*`(psi))))), psi = 0 .. `+`(`*`(2, `*`(Pi))))), `*`(`^`(R[0], `+`(`-`(n), `-`(1))), `*`(n, `*`(Pi))))))
`+`(`-`(`/`(`*`(int(`*`(g(psi), `*`(cos(`*`(n, `*`(psi))))), psi = 0 .. `+`(`*`(2, `*`(Pi))))), `*`(`^`(R[0], `+`(`-`(n), `-`(1))), `*`(n, `*`(Pi)))))) (3.7.5)
 

And solution of the second boundary-value problem for Laplace's equation outside of circle is: 

> Typesetting:-mrow(Typesetting:-mi(
 

`+`(B1[0], sum(`*`(`^`(r, n), `*`(`+`(`-`(`/`(`*`(int(`*`(g(psi), `*`(sin(`*`(n, `*`(psi))))), psi = 0 .. `+`(`*`(2, `*`(Pi)))), `*`(sin(`*`(n, `*`(`ϕ`))))), `*`(`^`(R[0], `+`(`-`(n), `-`(1))),... (3.7.6)
 

3.8. Poisson integral (outside of circle) 

This solution can be represented by the Poisson integral. For this purpose we will perform the transformation: 

> Typesetting:-mrow(Typesetting:-mi(
 

`+`(sum(int(`+`(`-`(`/`(`*`(`^`(r, `+`(`-`(n))), `*`(`^`(R[0], `+`(n, 1)), `*`(g(psi), `*`(cos(`*`(n, `*`(`+`(`ϕ`, `-`(psi))))))))), `*`(n, `*`(Pi))))), psi = 0 .. `+`(`*`(2, `*`(Pi)))), n = 1 ... (3.8.1)
 

and use variables 

R0 = ρ⋅r, 

α = φ - ψ. 

and formulas: 

> Typesetting:-mrow(Typesetting:-mi(
 

`*`(`^`(r, `+`(`-`(n))), `*`(`^`(R[0], `+`(n, 1)), `*`(cos(`*`(n, `*`(`+`(`ϕ`, `-`(psi)))))))) = `*`(R[0], `*`(cos(`*`(n, `*`(alpha))), `*`(`^`(rho, n)))) (3.8.2)
 

Now we have 

> Typesetting:-mrow(Typesetting:-mi(
 

`+`(B1[0], `/`(`*`(R[0], `*`(sum(int(`/`(`*`(`^`(rho, n), `*`(g(psi), `*`(cos(`*`(n, `*`(alpha)))))), `*`(n)), psi = 0 .. `+`(`*`(2, `*`(Pi)))), n = 1 .. infinity))), `*`(Pi))) (3.8.3)
 

Consider kernel of  Poisson integral: 

> Typesetting:-mrow(Typesetting:-mi(
 

sum(`/`(`*`(`^`(rho, n), `*`(cos(`*`(n, `*`(alpha))))), `*`(n)), n = 1 .. infinity) (3.8.4)
 

and relation: 

> Typesetting:-mrow(Typesetting:-mi(
 

Diff(sum(`/`(`*`(`^`(rho, n), `*`(cos(`*`(n, `*`(alpha))))), `*`(n)), n = 1 .. infinity), rho) = `+`(`-`(`/`(`*`(`+`(rho, `-`(cos(alpha)))), `*`(`+`(`-`(`*`(2, `*`(rho, `*`(cos(alpha))))), 1, `*`(`^`(... (3.8.5)
 

Integration gives: 

> Typesetting:-mrow(Typesetting:-msub(Typesetting:-mi(
 

`+`(`-`(`*`(`/`(1, 2), `*`(ln(`+`(`-`(`*`(2, `*`(rho, `*`(cos(alpha))))), 1, `*`(`^`(rho, 2)))))))) (3.8.6)
 

and 

> Typesetting:-mrow(Typesetting:-mi(
 

`+`(B1[0], `/`(`*`(R[0], `*`(int(`+`(`-`(`*`(`/`(1, 2), `*`(g(psi), `*`(ln(`+`(`-`(`*`(2, `*`(rho, `*`(cos(alpha))))), 1, `*`(`^`(rho, 2))))))))), psi = 0 .. `+`(`*`(2, `*`(Pi)))))), `*`(Pi))) (3.8.7)
 

So we receive integral form of the solution (Poisson integral): 

> Typesetting:-mrow(Typesetting:-mi(
 

`+`(`-`(`*`(`/`(1, 2), `*`(ln(`+`(`-`(`/`(`*`(2, `*`(R[0], `*`(cos(`+`(`ϕ`, `-`(psi)))))), `*`(r))), 1, `/`(`*`(`^`(R[0], 2)), `*`(`^`(r, 2))))))))) (3.8.8)
 

> Typesetting:-mrow(Typesetting:-mi(
 

`+`(B1[0], `/`(`*`(R[0], `*`(int(`+`(`-`(`*`(`/`(1, 2), `*`(g(psi), `*`(ln(`+`(`-`(`/`(`*`(2, `*`(R[0], `*`(cos(`+`(`ϕ`, `-`(psi)))))), `*`(r))), 1, `/`(`*`(`^`(R[0], 2)), `*`(`^`(r, 2)))))))))... (3.8.9)
 

3.9. General representation of the solution in expanded form for circle 

> Typesetting:-mrow(Typesetting:-mi(
 

The solution inside of circle is: 

> Typesetting:-mrow(Typesetting:-msub(Typesetting:-mi(
 

u[int](r, `ϕ`) = `+`(B1[int][0], sum(`*`(`^`(r, n), `*`(`+`(`*`(A1[int][n], `*`(sin(`*`(n, `*`(`ϕ`))))), `*`(A2[int][n], `*`(cos(`*`(n, `*`(`ϕ`)))))))), n = 1 .. infinity)) (3.9.1)
 

where B1 is arbitrary constant and 

> Typesetting:-mrow(Typesetting:-msub(Typesetting:-mrow(Typesetting:-msub(Typesetting:-mi(
 

 

`/`(`*`(int(`*`(g(psi), `*`(sin(`*`(n, `*`(psi))))), psi = 0 .. `+`(`*`(2, `*`(Pi))))), `*`(`^`(R[0], `+`(n, `-`(1))), `*`(n, `*`(Pi))))
`/`(`*`(int(`*`(g(psi), `*`(cos(`*`(n, `*`(psi))))), psi = 0 .. `+`(`*`(2, `*`(Pi))))), `*`(`^`(R[0], `+`(n, `-`(1))), `*`(n, `*`(Pi)))) (3.9.2)
 

Now we redefine coefficients: 

> Typesetting:-mrow(Typesetting:-msub(Typesetting:-mi(
 

 

b1[n] = `/`(`*`(int(`*`(g(psi), `*`(sin(`*`(n, `*`(psi))))), psi = 0 .. `+`(`*`(2, `*`(Pi))))), `*`(Pi))
b2[n] = `/`(`*`(int(`*`(g(psi), `*`(cos(`*`(n, `*`(psi))))), psi = 0 .. `+`(`*`(2, `*`(Pi))))), `*`(Pi)) (3.9.3)
 

and get the formula: 

> Typesetting:-mrow(Typesetting:-msub(Typesetting:-mi(
 

`+`(B1[int][0], sum(`/`(`*`(R[0], `*`(`^`(`/`(`*`(r), `*`(R[0])), n), `*`(`+`(`*`(b1[n], `*`(sin(`*`(n, `*`(`ϕ`))))), `*`(b2[n], `*`(cos(`*`(n, `*`(`ϕ`))))))))), `*`(n)), n = 1 .. infini... (3.9.4)
 

The solution outside of circle is: 

> Typesetting:-mrow(Typesetting:-msub(Typesetting:-mi(
 

u[ext](r, `ϕ`) = `+`(B1[ext][0], sum(`*`(`^`(r, n), `*`(`+`(`*`(A1[n], `*`(sin(`*`(n, `*`(`ϕ`))))), `*`(A2[n], `*`(cos(`*`(n, `*`(`ϕ`)))))))), n = 1 .. infinity)) (3.9.5)
 

where 

> Typesetting:-mrow(Typesetting:-mi(
 

 

`+`(`-`(`/`(`*`(int(`*`(g(psi), `*`(sin(`*`(n, `*`(psi))))), psi = 0 .. `+`(`*`(2, `*`(Pi))))), `*`(`^`(R[0], `+`(`-`(n), `-`(1))), `*`(n, `*`(Pi))))))
`+`(`-`(`/`(`*`(int(`*`(g(psi), `*`(cos(`*`(n, `*`(psi))))), psi = 0 .. `+`(`*`(2, `*`(Pi))))), `*`(`^`(R[0], `+`(`-`(n), `-`(1))), `*`(n, `*`(Pi)))))) (3.9.6)
 

Now we redefine coefficients: 

> Typesetting:-mrow(Typesetting:-msub(Typesetting:-mi(
 

 

b1[n] = `/`(`*`(int(`*`(g(psi), `*`(sin(`*`(n, `*`(psi))))), psi = 0 .. `+`(`*`(2, `*`(Pi))))), `*`(Pi))
b2[n] = `/`(`*`(int(`*`(g(psi), `*`(cos(`*`(n, `*`(psi))))), psi = 0 .. `+`(`*`(2, `*`(Pi))))), `*`(Pi)) (3.9.7)
 

and get the formula: 

> Typesetting:-mrow(Typesetting:-msub(Typesetting:-mi(
 

`+`(B1[ext][0], sum(`/`(`*`(R[0], `*`(`^`(`/`(`*`(R[0]), `*`(r)), n), `*`(`+`(`*`(b1[n], `*`(sin(`*`(n, `*`(`ϕ`))))), `*`(b2[n], `*`(cos(`*`(n, `*`(`ϕ`))))))))), `*`(n)), n = 1 .. infini... (3.9.8)
 

Thus we have the solution in expanded form for circle: 

> Typesetting:-mrow(Typesetting:-mi(
 

piecewise(`<`(r, R[0]), `+`(B1[int][0], sum(`/`(`*`(R[0], `*`(`^`(`/`(`*`(r), `*`(R[0])), n), `*`(`+`(`*`(b1[n], `*`(sin(`*`(n, `*`(`ϕ`))))), `*`(b2[n], `*`(cos(`*`(n, `*`(`ϕ`))))))))), ... (3.9.9)
 

3.10. General representation of the solution in integral form 

> Typesetting:-mrow(Typesetting:-mi(
 

Solution for circle inside of circle is: 

> Typesetting:-mrow(Typesetting:-msub(Typesetting:-mi(
 

`+`(`-`(`*`(`/`(1, 2), `*`(ln(`+`(`-`(`/`(`*`(2, `*`(r, `*`(cos(`+`(`ϕ`, `-`(psi)))))), `*`(R[0]))), 1, `/`(`*`(`^`(r, 2)), `*`(`^`(R[0], 2))))))))) (3.10.1)
 

> Typesetting:-mrow(Typesetting:-msub(Typesetting:-mi(
 

`+`(B1[int][0], `/`(`*`(R[0], `*`(int(`+`(`-`(`*`(`/`(1, 2), `*`(g(psi), `*`(ln(`+`(`-`(`/`(`*`(2, `*`(r, `*`(cos(`+`(`ϕ`, `-`(psi)))))), `*`(R[0]))), 1, `/`(`*`(`^`(r, 2)), `*`(`^`(R[0], 2))))... (3.10.2)
 

Solution for circle outside of circle is: 

> Typesetting:-mrow(Typesetting:-msub(Typesetting:-mrow(Typesetting:-msub(Typesetting:-mi(
 

`+`(`-`(`*`(`/`(1, 2), `*`(ln(`+`(`-`(`/`(`*`(2, `*`(R[0], `*`(cos(`+`(`ϕ`, `-`(psi)))))), `*`(r))), 1, `/`(`*`(`^`(R[0], 2)), `*`(`^`(r, 2))))))))) (3.10.3)
 

> Typesetting:-mrow(Typesetting:-mi(
 

`+`(B1[ext][0], `/`(`*`(R[0], `*`(int(`+`(`-`(`*`(`/`(1, 2), `*`(g(psi), `*`(ln(`+`(`-`(`/`(`*`(2, `*`(R[0], `*`(cos(`+`(`ϕ`, `-`(psi)))))), `*`(r))), 1, `/`(`*`(`^`(R[0], 2)), `*`(`^`(r, 2))))... (3.10.4)
 

So the the integral form of the solution for circle is: 

> Typesetting:-mrow(Typesetting:-mi(
 

piecewise(`<`(r, R[0]), `+`(`-`(`*`(`/`(1, 2), `*`(ln(`+`(`-`(`/`(`*`(2, `*`(r, `*`(cos(`+`(`ϕ`, `-`(psi)))))), `*`(R[0]))), 1, `/`(`*`(`^`(r, 2)), `*`(`^`(R[0], 2))))))))), `<`(R[0], r), `+`(`... (3.10.5)
 

> Typesetting:-mrow(Typesetting:-mi(
 

piecewise(`<`(r, R[0]), `+`(B1[int][0], `/`(`*`(R[0], `*`(int(`+`(`-`(`*`(`/`(1, 2), `*`(g(psi), `*`(ln(`+`(`-`(`/`(`*`(2, `*`(r, `*`(cos(`+`(`ϕ`, `-`(psi)))))), `*`(R[0]))), 1, `/`(`*`(`^`(r, ... (3.10.6)
 

4. The third boundary-value problem for Laplace's equation in circle 

4.1. The third boundary-value problem statement (inside of circle) 

> Typesetting:-mrow(Typesetting:-mi(
 

Consider the third boundary-value problem for Laplace's equation inside of circle. 

This problem implies that function u satisfies the Laplace's equation: 

Δu = 0 

and boundary condition on the circle boundary S: 

Typesetting:-mrow(Typesetting:-mi( = h, 

where h is given function and S is circumference of radius R0. 

General solution of two-dimensional Laplace's equation in polar coordinates is (see point 1.2): 

> Typesetting:-mrow(Typesetting:-mi(
 

u(r, `ϕ`) = `+`(B1[0], `*`(B2[0], `*`(ln(r))), sum(`*`(`+`(`*`(B1[n], `*`(`^`(r, n))), `*`(B2[n], `*`(`^`(r, `+`(`-`(n)))))), `*`(`+`(`*`(A1[n], `*`(sin(`*`(n, `*`(`ϕ`))))), `*`(A2[n], `... (4.1.1)
 

and boundary conditions are: 

1) boundedness of solution at origin of coordinates: 

u < ∞; 

2) value of derivative of function u on the circle boundary S is: 

Typesetting:-mrow(Typesetting:-mi( = h(φ). 

4.2. Accounting of boundary conditions (inside of circle) 

1) Boundedness of solution at origin of coordinates implies: 

B20 = 0, 

B2n = 0, 

whence it follows (with redefinition of  A1n, A2n and B1n): 

> Typesetting:-mrow(Typesetting:-msub(Typesetting:-mi(
 

 

 

0
0
1 (4.2.1)
 

> Typesetting:-mrow(Typesetting:-msub(Typesetting:-mrow(Typesetting:-mi(
 

 

 

`+`(`*`(A1[n], `*`(sin(`*`(n, `*`(`ϕ`))))), `*`(A2[n], `*`(cos(`*`(n, `*`(`ϕ`))))))
B1[0]
`^`(r, n) (4.2.2)
 

So we have: 

> Typesetting:-mrow(Typesetting:-mi(
 

`+`(B1[0], sum(`*`(`^`(r, n), `*`(`+`(`*`(A1[n], `*`(sin(`*`(n, `*`(`ϕ`))))), `*`(A2[n], `*`(cos(`*`(n, `*`(`ϕ`)))))))), n = 1 .. infinity)) (4.2.3)
 

and 

> Typesetting:-mrow(Typesetting:-msub(Typesetting:-mi(
 

sum(`*`(`^`(r, `+`(n, `-`(1))), `*`(n, `*`(`+`(`*`(A1[n], `*`(sin(`*`(n, `*`(`ϕ`))))), `*`(A2[n], `*`(cos(`*`(n, `*`(`ϕ`))))))))), n = 1 .. infinity) (4.2.4)
 

2) The second boundary condition implies: 

> Typesetting:-mrow(Typesetting:-mi(
 

`+`(B1[0], sum(`*`(`^`(r, n), `*`(`+`(`*`(A1[n], `*`(sin(`*`(n, `*`(psi))))), `*`(A2[n], `*`(cos(`*`(n, `*`(psi)))))))), n = 1 .. infinity)) (4.2.5)
 

> Typesetting:-mrow(Typesetting:-mi(
 

sum(`*`(`^`(r, `+`(n, `-`(1))), `*`(n, `*`(`+`(`*`(A1[n], `*`(sin(`*`(n, `*`(psi))))), `*`(A2[n], `*`(cos(`*`(n, `*`(psi))))))))), n = 1 .. infinity) (4.2.6)
 

> Typesetting:-mrow(Typesetting:-mi(
 

`+`(sum(`*`(`^`(R[0], `+`(n, `-`(1))), `*`(n, `*`(`+`(`*`(A1[n], `*`(sin(`*`(n, `*`(psi))))), `*`(A2[n], `*`(cos(`*`(n, `*`(psi))))))))), n = 1 .. infinity), `*`(eta, `*`(`+`(B1[0], sum(`*`(`^`(R[0], ... (4.2.7)
 

> Typesetting:-mrow(Typesetting:-mi(
 

h(psi) = `+`(sum(`*`(`^`(R[0], `+`(n, `-`(1))), `*`(n, `*`(`+`(`*`(A1[n], `*`(sin(`*`(n, `*`(psi))))), `*`(A2[n], `*`(cos(`*`(n, `*`(psi))))))))), n = 1 .. infinity), `*`(eta, `*`(`+`(B1[0], sum(`*`(`... (4.2.8)
 

Using these relations we will find: 

> Typesetting:-mrow(Typesetting:-msubsup(Typesetting:-mo(
 

int(`*`(h(psi), `*`(sin(`*`(k, `*`(psi))))), psi = 0 .. `+`(`*`(2, `*`(Pi)))) = int(`*`(`+`(sum(`*`(`^`(R[0], `+`(n, `-`(1))), `*`(n, `*`(`+`(`*`(A1[n], `*`(sin(`*`(n, `*`(psi))))), `*`(A2[n], `*`(cos... (4.2.9)
 

> Typesetting:-mrow(Typesetting:-msubsup(Typesetting:-mo(
 

int(`*`(h(psi), `*`(cos(`*`(k, `*`(psi))))), psi = 0 .. `+`(`*`(2, `*`(Pi)))) = int(`*`(`+`(sum(`*`(`^`(R[0], `+`(n, `-`(1))), `*`(n, `*`(`+`(`*`(A1[n], `*`(sin(`*`(n, `*`(psi))))), `*`(A2[n], `*`(cos... (4.2.10)
 

4.3. Calculation of coefficients (inside of circle) 

Using of formulas (6.1) - (6.6) (see Appendix 1) - orthonormality conditions - gives: 

> Typesetting:-mrow(Typesetting:-msubsup(Typesetting:-mo(
 

int(h(`ϕ`), `ϕ` = 0 .. `+`(`*`(2, `*`(Pi)))) = `+`(`*`(2, `*`(eta, `*`(B1[0], `*`(Pi))))) (4.3.1)
 

> Typesetting:-mrow(Typesetting:-msubsup(Typesetting:-mo(
Typesetting:-mrow(Typesetting:-msubsup(Typesetting:-mo(
 

Int(`*`(`+`(`*`(`^`(R[0], `+`(n, `-`(1))), `*`(n, `*`(`+`(`*`(A1[n], `*`(sin(`*`(n, `*`(psi))))), `*`(A2[n], `*`(cos(`*`(n, `*`(psi))))))))), `*`(eta, `*`(`^`(R[0], n), `*`(`+`(`*`(A1[n], `*`(sin(`*`(... (4.3.2)
 

> Typesetting:-mrow(Typesetting:-msubsup(Typesetting:-mo(
Typesetting:-mrow(Typesetting:-msubsup(Typesetting:-mo(
 

Int(`*`(`+`(`*`(`^`(R[0], `+`(n, `-`(1))), `*`(n, `*`(`+`(`*`(A1[n], `*`(sin(`*`(n, `*`(psi))))), `*`(A2[n], `*`(cos(`*`(n, `*`(psi))))))))), `*`(eta, `*`(`^`(R[0], n), `*`(`+`(`*`(A1[n], `*`(sin(`*`(... (4.3.3)
 

> Typesetting:-mrow(Typesetting:-msubsup(Typesetting:-mo(
 

int(`*`(h(psi), `*`(sin(`*`(n, `*`(psi))))), psi = 0 .. `+`(`*`(2, `*`(Pi)))) = `*`(`^`(R[0], `+`(n, `-`(1))), `*`(A1[n], `*`(Pi, `*`(`+`(n, `*`(eta, `*`(R[0]))))))) (4.3.4)
 

> Typesetting:-mrow(Typesetting:-msubsup(Typesetting:-mo(
 

int(`*`(h(psi), `*`(cos(`*`(n, `*`(psi))))), psi = 0 .. `+`(`*`(2, `*`(Pi)))) = `*`(`^`(R[0], `+`(n, `-`(1))), `*`(A2[n], `*`(Pi, `*`(`+`(n, `*`(eta, `*`(R[0]))))))) (4.3.5)
 

As a result of calculations we find: 

> Typesetting:-mrow(Typesetting:-mi(
Typesetting:-mrow(Typesetting:-mi(
Typesetting:-mrow(Typesetting:-mi(
 

 

 

`+`(`/`(`*`(`/`(1, 2), `*`(int(h(`ϕ`), `ϕ` = 0 .. `+`(`*`(2, `*`(Pi)))))), `*`(eta, `*`(Pi))))
`/`(`*`(int(`*`(h(psi), `*`(sin(`*`(n, `*`(psi))))), psi = 0 .. `+`(`*`(2, `*`(Pi))))), `*`(`^`(R[0], `+`(n, `-`(1))), `*`(Pi, `*`(`+`(n, `*`(eta, `*`(R[0])))))))
`/`(`*`(int(`*`(h(psi), `*`(cos(`*`(n, `*`(psi))))), psi = 0 .. `+`(`*`(2, `*`(Pi))))), `*`(`^`(R[0], `+`(n, `-`(1))), `*`(Pi, `*`(`+`(n, `*`(eta, `*`(R[0]))))))) (4.3.6)
 

or 

> Typesetting:-mrow(Typesetting:-msub(Typesetting:-mi(
 

 

 

`+`(`/`(`*`(`/`(1, 2), `*`(int(h(`ϕ`), `ϕ` = 0 .. `+`(`*`(2, `*`(Pi)))))), `*`(eta, `*`(Pi))))
`/`(`*`(int(`*`(h(psi), `*`(sin(`*`(n, `*`(psi))))), psi = 0 .. `+`(`*`(2, `*`(Pi))))), `*`(`^`(R[0], `+`(n, `-`(1))), `*`(Pi, `*`(`+`(n, `*`(eta, `*`(R[0])))))))
`/`(`*`(int(`*`(h(psi), `*`(cos(`*`(n, `*`(psi))))), psi = 0 .. `+`(`*`(2, `*`(Pi))))), `*`(`^`(R[0], `+`(n, `-`(1))), `*`(Pi, `*`(`+`(n, `*`(eta, `*`(R[0]))))))) (4.3.7)
 

And solution of the third boundary-value problem for Laplace's equation inside of circle is: 

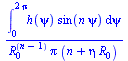
> Typesetting:-mrow(Typesetting:-mi(
 

`+`(`/`(`*`(`/`(1, 2), `*`(int(h(`ϕ`), `ϕ` = 0 .. `+`(`*`(2, `*`(Pi)))))), `*`(eta, `*`(Pi))), sum(`*`(`^`(r, n), `*`(`+`(`/`(`*`(int(`*`(h(psi), `*`(sin(`*`(n, `*`(psi))))), psi = 0 .. ... (4.3.8)
 

or 

> Typesetting:-mrow(Typesetting:-mi(
 

`+`(sum(int(`/`(`*`(`^`(r, n), `*`(`^`(R[0], `+`(`-`(n), 1)), `*`(h(psi), `*`(cos(`*`(n, `*`(`+`(`ϕ`, `-`(psi))))))))), `*`(Pi, `*`(`+`(n, `*`(eta, `*`(R[0])))))), psi = 0 .. `+`(`*`(2, `*`(Pi)... (4.3.9)
 

4.4. The third boundary-value problem statement (outside of circle) 

> Typesetting:-mrow(Typesetting:-mi(
 

Consider the third boundary-value problem for Laplace's equation inside of circle. 

This problem implies that function u satisfies the Laplace's equation: 

Δu = 0 

and boundary condition on the circle boundary S: 

Typesetting:-mrow(Typesetting:-mi( = h, 

where h is given function and S is circumference of radius R0. 

General solution of two-dimensional Laplace's equation in polar coordinates is (see point 1.2): 

> Typesetting:-mrow(Typesetting:-mi(
 

u(r, `ϕ`) = `+`(B1[0], `*`(B2[0], `*`(ln(r))), sum(`*`(`+`(`*`(B1[n], `*`(`^`(r, n))), `*`(B2[n], `*`(`^`(r, `+`(`-`(n)))))), `*`(`+`(`*`(A1[n], `*`(sin(`*`(n, `*`(`ϕ`))))), `*`(A2[n], `... (4.4.1)
 

and boundary conditions are: 

1) boundedness of solution: 

u < ∞; 

2) value of derivative of function u on the circle boundary S is: 

Typesetting:-mrow(Typesetting:-mi( = h(φ). 

4.5. Accounting of boundary conditions (outside of circle) 

1) Boundedness of solution at origin of coordinates implies: 

B20 = 0, 

B1n = 0, 

whence it follows (with redefinition of  A1n, A2n and B1n): 

> Typesetting:-mrow(Typesetting:-msub(Typesetting:-mi(
 

 

 

0
0
1 (4.5.1)
 

> Typesetting:-mrow(Typesetting:-msub(Typesetting:-mrow(Typesetting:-mi(
 

 

 

`+`(`*`(A1[n], `*`(sin(`*`(n, `*`(`ϕ`))))), `*`(A2[n], `*`(cos(`*`(n, `*`(`ϕ`))))))
B1[0]
`^`(r, `+`(`-`(n))) (4.5.2)
 

So we have: 

> Typesetting:-mrow(Typesetting:-mi(
 

`+`(B1[0], sum(`*`(`^`(r, `+`(`-`(n))), `*`(`+`(`*`(A1[n], `*`(sin(`*`(n, `*`(`ϕ`))))), `*`(A2[n], `*`(cos(`*`(n, `*`(`ϕ`)))))))), n = 1 .. infinity)) (4.5.3)
 

and 

> Typesetting:-mrow(Typesetting:-msub(Typesetting:-mi(
 

sum(`+`(`-`(`*`(`^`(r, `+`(`-`(n), `-`(1))), `*`(n, `*`(`+`(`*`(A1[n], `*`(sin(`*`(n, `*`(`ϕ`))))), `*`(A2[n], `*`(cos(`*`(n, `*`(`ϕ`))))))))))), n = 1 .. infinity) (4.5.4)
 

2) The second boundary condition implies: 

> Typesetting:-mrow(Typesetting:-mi(
 

`+`(B1[0], sum(`*`(`^`(r, `+`(`-`(n))), `*`(`+`(`*`(A1[n], `*`(sin(`*`(n, `*`(psi))))), `*`(A2[n], `*`(cos(`*`(n, `*`(psi)))))))), n = 1 .. infinity)) (4.5.5)
 

> Typesetting:-mrow(Typesetting:-mi(
 

sum(`+`(`-`(`*`(`^`(r, `+`(`-`(n), `-`(1))), `*`(n, `*`(`+`(`*`(A1[n], `*`(sin(`*`(n, `*`(psi))))), `*`(A2[n], `*`(cos(`*`(n, `*`(psi))))))))))), n = 1 .. infinity) (4.5.6)
 

> Typesetting:-mrow(Typesetting:-mi(
 

`+`(sum(`+`(`-`(`*`(`^`(R[0], `+`(`-`(n), `-`(1))), `*`(n, `*`(`+`(`*`(A1[n], `*`(sin(`*`(n, `*`(psi))))), `*`(A2[n], `*`(cos(`*`(n, `*`(psi))))))))))), n = 1 .. infinity), `*`(eta, `*`(`+`(B1[0], sum... (4.5.7)
 

> Typesetting:-mrow(Typesetting:-mi(
 

h(psi) = `+`(sum(`+`(`-`(`*`(`^`(R[0], `+`(`-`(n), `-`(1))), `*`(n, `*`(`+`(`*`(A1[n], `*`(sin(`*`(n, `*`(psi))))), `*`(A2[n], `*`(cos(`*`(n, `*`(psi))))))))))), n = 1 .. infinity), `*`(eta, `*`(`+`(B... (4.5.8)
 

Using these relations we will find: 

> Typesetting:-mrow(Typesetting:-msubsup(Typesetting:-mo(
 

int(`*`(h(psi), `*`(sin(`*`(k, `*`(psi))))), psi = 0 .. `+`(`*`(2, `*`(Pi)))) = int(`*`(`+`(sum(`+`(`-`(`*`(`^`(R[0], `+`(`-`(n), `-`(1))), `*`(n, `*`(`+`(`*`(A1[n], `*`(sin(`*`(n, `*`(psi))))), `*`(A... (4.5.9)
 

> Typesetting:-mrow(Typesetting:-msubsup(Typesetting:-mo(
 

int(`*`(h(psi), `*`(cos(`*`(k, `*`(psi))))), psi = 0 .. `+`(`*`(2, `*`(Pi)))) = int(`*`(`+`(sum(`+`(`-`(`*`(`^`(R[0], `+`(`-`(n), `-`(1))), `*`(n, `*`(`+`(`*`(A1[n], `*`(sin(`*`(n, `*`(psi))))), `*`(A... (4.5.10)
 

4.6. Calculation of coefficients (outside of circle) 

Using of formulas (6.1) - (6.6) (see Appendix 1) - orthonormality conditions - gives: 

> Typesetting:-mrow(Typesetting:-msubsup(Typesetting:-mo(
 

int(h(`ϕ`), `ϕ` = 0 .. `+`(`*`(2, `*`(Pi)))) = `+`(`*`(2, `*`(eta, `*`(B1[0], `*`(Pi))))) (4.6.1)
 

> Typesetting:-mrow(Typesetting:-msubsup(Typesetting:-mo(
Typesetting:-mrow(Typesetting:-msubsup(Typesetting:-mo(
 

Int(`*`(`+`(`-`(`*`(`^`(R[0], `+`(`-`(n), `-`(1))), `*`(n, `*`(`+`(`*`(A1[n], `*`(sin(`*`(n, `*`(psi))))), `*`(A2[n], `*`(cos(`*`(n, `*`(psi)))))))))), `*`(eta, `*`(`^`(R[0], `+`(`-`(n))), `*`(`+`(`*`... (4.6.2)
 

> Typesetting:-mrow(Typesetting:-msubsup(Typesetting:-mo(
Typesetting:-mrow(Typesetting:-msubsup(Typesetting:-mo(
 

Int(`*`(`+`(`-`(`*`(`^`(R[0], `+`(`-`(n), `-`(1))), `*`(n, `*`(`+`(`*`(A1[n], `*`(sin(`*`(n, `*`(psi))))), `*`(A2[n], `*`(cos(`*`(n, `*`(psi)))))))))), `*`(eta, `*`(`^`(R[0], `+`(`-`(n))), `*`(`+`(`*`... (4.6.3)
 

> Typesetting:-mrow(Typesetting:-msubsup(Typesetting:-mo(
 

int(`*`(h(psi), `*`(sin(`*`(n, `*`(psi))))), psi = 0 .. `+`(`*`(2, `*`(Pi)))) = `*`(A1[n], `*`(Pi, `*`(`+`(`-`(n), `*`(eta, `*`(R[0]))), `*`(`^`(R[0], `+`(`-`(n), `-`(1))))))) (4.6.4)
 

> Typesetting:-mrow(Typesetting:-msubsup(Typesetting:-mo(
 

int(`*`(h(psi), `*`(cos(`*`(n, `*`(psi))))), psi = 0 .. `+`(`*`(2, `*`(Pi)))) = `*`(A2[n], `*`(Pi, `*`(`+`(`-`(n), `*`(eta, `*`(R[0]))), `*`(`^`(R[0], `+`(`-`(n), `-`(1))))))) (4.6.5)
 

As a result of calculations we find: 

> Typesetting:-mrow(Typesetting:-mi(
Typesetting:-mrow(Typesetting:-mi(
Typesetting:-mrow(Typesetting:-mi(
 

 

 

`+`(`/`(`*`(`/`(1, 2), `*`(int(h(`ϕ`), `ϕ` = 0 .. `+`(`*`(2, `*`(Pi)))))), `*`(eta, `*`(Pi))))
`+`(`-`(`/`(`*`(int(`*`(h(psi), `*`(sin(`*`(n, `*`(psi))))), psi = 0 .. `+`(`*`(2, `*`(Pi))))), `*`(Pi, `*`(`^`(R[0], `+`(`-`(n), `-`(1))), `*`(`+`(n, `-`(`*`(eta, `*`(R[0]))))))))))
`+`(`-`(`/`(`*`(int(`*`(h(psi), `*`(cos(`*`(n, `*`(psi))))), psi = 0 .. `+`(`*`(2, `*`(Pi))))), `*`(Pi, `*`(`^`(R[0], `+`(`-`(n), `-`(1))), `*`(`+`(n, `-`(`*`(eta, `*`(R[0])))))))))) (4.6.6)
 

or 

> Typesetting:-mrow(Typesetting:-msub(Typesetting:-mi(
 

 

 

`+`(`/`(`*`(`/`(1, 2), `*`(int(h(`ϕ`), `ϕ` = 0 .. `+`(`*`(2, `*`(Pi)))))), `*`(eta, `*`(Pi))))
`+`(`-`(`/`(`*`(int(`*`(h(psi), `*`(sin(`*`(n, `*`(psi))))), psi = 0 .. `+`(`*`(2, `*`(Pi))))), `*`(Pi, `*`(`^`(R[0], `+`(`-`(n), `-`(1))), `*`(`+`(n, `-`(`*`(eta, `*`(R[0]))))))))))
`+`(`-`(`/`(`*`(int(`*`(h(psi), `*`(cos(`*`(n, `*`(psi))))), psi = 0 .. `+`(`*`(2, `*`(Pi))))), `*`(Pi, `*`(`^`(R[0], `+`(`-`(n), `-`(1))), `*`(`+`(n, `-`(`*`(eta, `*`(R[0])))))))))) (4.6.7)
 

And solution of the third boundary-value problem for Laplace's equation outside of circle is: 

> Typesetting:-mrow(Typesetting:-mi(
 

`+`(`/`(`*`(`/`(1, 2), `*`(int(h(`ϕ`), `ϕ` = 0 .. `+`(`*`(2, `*`(Pi)))))), `*`(eta, `*`(Pi))), sum(`*`(`^`(r, n), `*`(`+`(`-`(`/`(`*`(int(`*`(h(psi), `*`(sin(`*`(n, `*`(psi))))), psi = 0... (4.6.8)
 

or 

> Typesetting:-mrow(Typesetting:-mi(
 

`+`(sum(int(`/`(`*`(`^`(r, n), `*`(`^`(R[0], `+`(n, 1)), `*`(h(psi), `*`(cos(`*`(n, `*`(`+`(`ϕ`, `-`(psi))))))))), `*`(Pi, `*`(`+`(`-`(n), `*`(eta, `*`(R[0])))))), psi = 0 .. `+`(`*`(2, `*`(Pi)... (4.6.9)
 

4.7. General representation of the solution in expanded form 

> Typesetting:-mrow(Typesetting:-mi(
 

The solution inside of circle is: 

> Typesetting:-mrow(Typesetting:-msub(Typesetting:-mi(
 

u[int](r, `ϕ`) = `+`(B1[int][0], sum(`*`(`^`(r, n), `*`(`+`(`*`(A1[int][n], `*`(sin(`*`(n, `*`(`ϕ`))))), `*`(A2[int][n], `*`(cos(`*`(n, `*`(`ϕ`)))))))), n = 1 .. infinity)) (4.7.1)
 

where 

> Typesetting:-mrow(Typesetting:-msub(Typesetting:-mrow(Typesetting:-msub(Typesetting:-mi(
 

 

 

`+`(`/`(`*`(`/`(1, 2), `*`(int(h(`ϕ`), `ϕ` = 0 .. `+`(`*`(2, `*`(Pi)))))), `*`(eta, `*`(Pi))))
`/`(`*`(int(`*`(h(psi), `*`(sin(`*`(n, `*`(psi))))), psi = 0 .. `+`(`*`(2, `*`(Pi))))), `*`(`^`(R[0], `+`(n, `-`(1))), `*`(Pi, `*`(`+`(n, `*`(eta, `*`(R[0])))))))
`/`(`*`(int(`*`(h(psi), `*`(cos(`*`(n, `*`(psi))))), psi = 0 .. `+`(`*`(2, `*`(Pi))))), `*`(`^`(R[0], `+`(n, `-`(1))), `*`(Pi, `*`(`+`(n, `*`(eta, `*`(R[0]))))))) (4.7.2)
 

Now we redefine coefficients: 

> Typesetting:-mrow(Typesetting:-msub(Typesetting:-mi(
 

 

 

c[0] = `/`(`*`(int(h(psi), psi = 0 .. `+`(`*`(2, `*`(Pi))))), `*`(Pi))
c1[n] = `/`(`*`(int(`*`(h(psi), `*`(sin(`*`(n, `*`(psi))))), psi = 0 .. `+`(`*`(2, `*`(Pi))))), `*`(Pi))
c2[n] = `/`(`*`(int(`*`(h(psi), `*`(cos(`*`(n, `*`(psi))))), psi = 0 .. `+`(`*`(2, `*`(Pi))))), `*`(Pi)) (4.7.3)
 

and get the formula: 

> Typesetting:-mrow(Typesetting:-msub(Typesetting:-mi(
 

`+`(`/`(`*`(`/`(1, 2), `*`(c[0])), `*`(eta)), sum(`/`(`*`(R0, `*`(`^`(`/`(`*`(r), `*`(R0)), n), `*`(`+`(`*`(c1[n], `*`(sin(`*`(n, `*`(`ϕ`))))), `*`(`?2`[n], `*`(cos(`*`(n, `*`(`ϕ`))))))... (4.7.4)
 

The solution outside of circle is: 

> Typesetting:-mrow(Typesetting:-msub(Typesetting:-mi(
 

u[ext](r, `ϕ`) = `+`(B1[ext][0], sum(`*`(`^`(r, n), `*`(`+`(`*`(A1[ext][n], `*`(sin(`*`(n, `*`(`ϕ`))))), `*`(A2[ext][n], `*`(cos(`*`(n, `*`(`ϕ`)))))))), n = 1 .. infinity)) (4.7.5)
 

where 

> Typesetting:-mrow(Typesetting:-msub(Typesetting:-mrow(Typesetting:-msub(Typesetting:-mi(
 

 

 

`+`(`/`(`*`(`/`(1, 2), `*`(int(h(`ϕ`), `ϕ` = 0 .. `+`(`*`(2, `*`(Pi)))))), `*`(eta, `*`(Pi))))
`+`(`-`(`/`(`*`(int(`*`(h(psi), `*`(sin(`*`(n, `*`(psi))))), psi = 0 .. `+`(`*`(2, `*`(Pi))))), `*`(Pi, `*`(`^`(R[0], `+`(`-`(n), `-`(1))), `*`(`+`(n, `-`(`*`(eta, `*`(R[0]))))))))))
`+`(`-`(`/`(`*`(int(`*`(h(psi), `*`(cos(`*`(n, `*`(psi))))), psi = 0 .. `+`(`*`(2, `*`(Pi))))), `*`(Pi, `*`(`^`(R[0], `+`(`-`(n), `-`(1))), `*`(`+`(n, `-`(`*`(eta, `*`(R[0])))))))))) (4.7.6)
 

Now we redefine coefficients: 

> Typesetting:-mrow(Typesetting:-mi(
 

 

 

c[0] = `/`(`*`(int(h(psi), psi = 0 .. `+`(`*`(2, `*`(Pi))))), `*`(Pi))
c1[n] = `/`(`*`(int(`*`(h(psi), `*`(sin(`*`(n, `*`(psi))))), psi = 0 .. `+`(`*`(2, `*`(Pi))))), `*`(Pi))
c2[n] = `/`(`*`(int(`*`(h(psi), `*`(cos(`*`(n, `*`(psi))))), psi = 0 .. `+`(`*`(2, `*`(Pi))))), `*`(Pi)) (4.7.7)
 

and get the formula: 

> Typesetting:-mrow(Typesetting:-msub(Typesetting:-mi(
 

`+`(`/`(`*`(`/`(1, 2), `*`(c[0])), `*`(eta)), `-`(sum(`/`(`*`(R0, `*`(`^`(`/`(`*`(R0), `*`(r)), n), `*`(`+`(`*`(c1[n], `*`(sin(`*`(n, `*`(`ϕ`))))), `*`(`?2`[n], `*`(cos(`*`(n, `*`(`ϕ`))... (4.7.8)
 

Thus we have the solution in expanded form for circle: 

> Typesetting:-mrow(Typesetting:-mi(
 

piecewise(`<`(r, R[0]), `+`(`/`(`*`(`/`(1, 2), `*`(c[0])), `*`(eta)), sum(`/`(`*`(R0, `*`(`^`(`/`(`*`(r), `*`(R0)), n), `*`(`+`(`*`(c1[n], `*`(sin(`*`(n, `*`(`ϕ`))))), `*`(`?2`[n], `*`(cos(`*`... (4.7.9)
 

or 

> Typesetting:-mrow(Typesetting:-mi(
Typesetting:-mrow(Typesetting:-mi(
 

 

`+`(sum(int(`/`(`*`(`^`(r, n), `*`(`^`(R[0], `+`(`-`(n), 1)), `*`(h(psi), `*`(cos(`*`(n, `*`(`+`(`ϕ`, `-`(psi))))))))), `*`(Pi, `*`(`+`(n, `*`(eta, `*`(R[0])))))), psi = 0 .. `+`(`*`(2, `*`(Pi)...
`+`(sum(int(`/`(`*`(`^`(r, n), `*`(`^`(R[0], `+`(n, 1)), `*`(h(psi), `*`(cos(`*`(n, `*`(`+`(`ϕ`, `-`(psi))))))))), `*`(Pi, `*`(`+`(`-`(n), `*`(eta, `*`(R[0])))))), psi = 0 .. `+`(`*`(2, `*`(Pi)... (4.7.10)
 

> Typesetting:-mrow(Typesetting:-mi(
 

piecewise(`<`(r, R[0]), `+`(sum(int(`/`(`*`(`^`(r, n), `*`(`^`(R[0], `+`(`-`(n), 1)), `*`(h(psi), `*`(cos(`*`(n, `*`(`+`(`ϕ`, `-`(psi))))))))), `*`(Pi, `*`(`+`(n, `*`(eta, `*`(R[0])))))), psi =... (4.7.11)
 

5. The first boundary-value problem for Laplace's equation in ring 

5.1. The second boundary-value problem statement in ring 

> Typesetting:-mrow(Typesetting:-mi(
 

Consider the first boundary-value problem for Laplace's equation inside of circle (internal Dirichlet problem for circle). 

This problem implies that function u satisfies the Laplace's equation: 

Δu = 0 

and boundary conditions on the circle boundaries S1 and S2: 

u(S1) = f1, u(S2) = f2 

where f1 and f2 are given functions and S1 and S2 are circumferences of radiuses R1 and R2 correspondingly. 

General solution of two-dimensional Laplace's equation in polar coordinates is (see point 1.2): 

> Typesetting:-mrow(Typesetting:-mi(
 

and boundary conditions are: 

1) value of function u on the internal boundary S1 is: 

u(R1,φ) = f1(φ); 

2) value of function u on the external boundary S2 is: 

u(R1,φ) = f1(φ). 

Now we redefine coefficients: 

> Typesetting:-mrow(Typesetting:-msub(Typesetting:-mi(
 

and find 

> Typesetting:-mrow(Typesetting:-mi(
 

`+`(B1[0], `*`(B2[0], `*`(ln(r))), sum(`+`(`*`(`+`(`*`(C1[n], `*`(`^`(r, n))), `*`(C2[n], `*`(`^`(r, `+`(`-`(n)))))), `*`(sin(`*`(n, `*`(`ϕ`))))), `*`(`+`(`*`(C3[n], `*`(`^`(r, n))), `*`(C4[n],... (5.1.1)
 

5.2. Accounting of boundary conditions 

Boundary conditions are represented as 

> Typesetting:-mrow(Typesetting:-mi(
 

`+`(B1[0], `*`(B2[0], `*`(ln(r))), sum(`+`(`*`(`+`(`*`(C1[n], `*`(`^`(r, n))), `*`(C2[n], `*`(`^`(r, `+`(`-`(n)))))), `*`(sin(`*`(n, `*`(psi))))), `*`(`+`(`*`(C3[n], `*`(`^`(r, n))), `*`(C4[n], `*`(`^... (5.2.1)
 

> Typesetting:-mrow(Typesetting:-msub(Typesetting:-mi(
 

`+`(B1[0], `*`(B2[0], `*`(ln(R[2]))), sum(`+`(`*`(`+`(`*`(C1[n], `*`(`^`(R[2], n))), `*`(C2[n], `*`(`^`(R[2], `+`(`-`(n)))))), `*`(sin(`*`(n, `*`(psi))))), `*`(`+`(`*`(C3[n], `*`(`^`(R[2], n))), `*`(C... (5.2.2)
 

> Typesetting:-mrow(Typesetting:-msub(Typesetting:-mi(
 

f[2](`ϕ`) = `+`(B1[0], `*`(B2[0], `*`(ln(R[2]))), sum(`+`(`*`(`+`(`*`(C1[n], `*`(`^`(R[2], n))), `*`(C2[n], `*`(`^`(R[2], `+`(`-`(n)))))), `*`(sin(`*`(n, `*`(psi))))), `*`(`+`(`*`(C3[n], `*`(`^... (5.2.3)
 

so we have 

> Typesetting:-mrow(Typesetting:-msubsup(Typesetting:-mo(
 

int(`*`(f[1](psi), `*`(sin(`*`(k, `*`(psi))))), psi = 0 .. `+`(`*`(2, `*`(Pi)))) = int(`*`(`+`(B1[0], `*`(B2[0], `*`(ln(R[1]))), sum(`+`(`*`(`+`(`*`(C1[n], `*`(`^`(R[1], n))), `*`(C2[n], `*`(`^`(R[1],... (5.2.4)
 

> Typesetting:-mrow(Typesetting:-msubsup(Typesetting:-mo(
 

int(`*`(f[1](psi), `*`(cos(`*`(k, `*`(psi))))), psi = 0 .. `+`(`*`(2, `*`(Pi)))) = int(`*`(`+`(B1[0], `*`(B2[0], `*`(ln(R[1]))), sum(`+`(`*`(`+`(`*`(C1[n], `*`(`^`(R[1], n))), `*`(C2[n], `*`(`^`(R[1],... (5.2.5)
 

> Typesetting:-mrow(Typesetting:-msubsup(Typesetting:-mo(
 

int(`*`(f[2](psi), `*`(sin(`*`(k, `*`(psi))))), psi = 0 .. `+`(`*`(2, `*`(Pi)))) = int(`*`(`+`(B1[0], `*`(B2[0], `*`(ln(R[2]))), sum(`+`(`*`(`+`(`*`(C1[n], `*`(`^`(R[2], n))), `*`(C2[n], `*`(`^`(R[2],... (5.2.6)
 

> Typesetting:-mrow(Typesetting:-mi(
 

int(`*`(f[1](psi), `*`(cos(`*`(k, `*`(psi))))), psi = 0 .. `+`(`*`(2, `*`(Pi)))) = int(`*`(`+`(B1[0], `*`(B2[0], `*`(ln(R[1]))), sum(`+`(`*`(`+`(`*`(C1[n], `*`(`^`(R[1], n))), `*`(C2[n], `*`(`^`(R[1],... (5.2.7)
 

5.3. Calculation of coefficients 

Using of formulas (6.1) - (6.6) (see Appendix 1) - orthonormality conditions - gives: 

?) k = 0: 

> Typesetting:-mrow(Typesetting:-msubsup(Typesetting:-mo(
 

int(f[1](psi), psi = 0 .. `+`(`*`(2, `*`(Pi)))) = `+`(`*`(2, `*`(Pi, `*`(`+`(B1[0], `*`(B2[0], `*`(ln(R[1])))))))) (5.3.1)
 

> Typesetting:-mrow(Typesetting:-msubsup(Typesetting:-mo(
 

int(f[2](psi), psi = 0 .. `+`(`*`(2, `*`(Pi)))) = `+`(`*`(2, `*`(Pi, `*`(`+`(B1[0], `*`(B2[0], `*`(ln(R[2])))))))) (5.3.2)
 

?) k ≠ 0: 

> Typesetting:-mrow(Typesetting:-msubsup(Typesetting:-mo(
 

int(`*`(f[1](psi), `*`(sin(`*`(k, `*`(psi))))), psi = 0 .. `+`(`*`(2, `*`(Pi)))) = int(`*`(sum(`*`(`+`(`*`(C1[n], `*`(`^`(R[1], n))), `*`(C2[n], `*`(`^`(R[1], `+`(`-`(n)))))), `*`(sin(`*`(n, `*`(psi))... (5.3.3)
 

> Typesetting:-mrow(Typesetting:-msubsup(Typesetting:-mo(
 

int(`*`(f[1](psi), `*`(cos(`*`(k, `*`(psi))))), psi = 0 .. `+`(`*`(2, `*`(Pi)))) = int(`*`(sum(`*`(`+`(`*`(C1[n], `*`(`^`(R[1], n))), `*`(C2[n], `*`(`^`(R[1], `+`(`-`(n)))))), `*`(sin(`*`(n, `*`(psi))... (5.3.4)
 

> Typesetting:-mrow(Typesetting:-msubsup(Typesetting:-mo(
 

int(`*`(f[2](psi), `*`(sin(`*`(k, `*`(psi))))), psi = 0 .. `+`(`*`(2, `*`(Pi)))) = int(`*`(sum(`*`(`+`(`*`(C1[n], `*`(`^`(R[2], n))), `*`(C2[n], `*`(`^`(R[2], `+`(`-`(n)))))), `*`(sin(`*`(n, `*`(psi))... (5.3.5)
 

> Typesetting:-mrow(Typesetting:-msubsup(Typesetting:-mo(
 

int(`*`(f[2](psi), `*`(cos(`*`(k, `*`(psi))))), psi = 0 .. `+`(`*`(2, `*`(Pi)))) = int(`*`(sum(`*`(`+`(`*`(C1[n], `*`(`^`(R[2], n))), `*`(C2[n], `*`(`^`(R[2], `+`(`-`(n)))))), `*`(sin(`*`(n, `*`(psi))... (5.3.6)
 

and 

> Typesetting:-mrow(Typesetting:-msubsup(Typesetting:-mo(
 

int(`*`(f[1](psi), `*`(sin(`*`(n, `*`(psi))))), psi = 0 .. `+`(`*`(2, `*`(Pi)))) = `*`(Pi, `*`(`+`(`*`(C1[n], `*`(`^`(R[1], n))), `*`(C2[n], `*`(`^`(R[1], `+`(`-`(n)))))))) (5.3.7)
 

> Typesetting:-mrow(Typesetting:-msubsup(Typesetting:-mo(
 

int(`*`(f[1](psi), `*`(cos(`*`(n, `*`(psi))))), psi = 0 .. `+`(`*`(2, `*`(Pi)))) = `*`(Pi, `*`(`+`(`*`(C3[n], `*`(`^`(R[1], n))), `*`(C4[n], `*`(`^`(R[1], `+`(`-`(n)))))))) (5.3.8)
 

> Typesetting:-mrow(Typesetting:-msubsup(Typesetting:-mo(
 

int(`*`(f[2](psi), `*`(sin(`*`(n, `*`(psi))))), psi = 0 .. `+`(`*`(2, `*`(Pi)))) = `*`(Pi, `*`(`+`(`*`(C1[n], `*`(`^`(R[2], n))), `*`(C2[n], `*`(`^`(R[2], `+`(`-`(n)))))))) (5.3.9)
 

> Typesetting:-mrow(Typesetting:-msubsup(Typesetting:-mo(
 

int(`*`(f[2](psi), `*`(cos(`*`(n, `*`(psi))))), psi = 0 .. `+`(`*`(2, `*`(Pi)))) = `*`(Pi, `*`(`+`(`*`(C3[n], `*`(`^`(R[2], n))), `*`(C4[n], `*`(`^`(R[2], `+`(`-`(n)))))))) (5.3.10)
 

As a result of calculations we find: 

> Typesetting:-mrow(Typesetting:-mi(
 

[[B1[0] = `+`(`/`(`*`(`/`(1, 2), `*`(`+`(`*`(ln(R[2]), `*`(int(f[1](psi), psi = 0 .. `+`(`*`(2, `*`(Pi)))))), `-`(`*`(int(f[2](psi), psi = 0 .. `+`(`*`(2, `*`(Pi)))), `*`(ln(R[1]))))))), `*`(Pi, `*`(`... (5.3.11)
 

> Typesetting:-mrow(Typesetting:-mi(
 

[[C1[n] = `/`(`*`(`+`(`*`(`^`(R[1], n), `*`(int(`*`(f[1](psi), `*`(sin(`*`(n, `*`(psi))))), psi = 0 .. `+`(`*`(2, `*`(Pi)))))), `-`(`*`(`^`(R[2], n), `*`(int(`*`(f[2](psi), `*`(sin(`*`(n, `*`(psi)))))...
[[C1[n] = `/`(`*`(`+`(`*`(`^`(R[1], n), `*`(int(`*`(f[1](psi), `*`(sin(`*`(n, `*`(psi))))), psi = 0 .. `+`(`*`(2, `*`(Pi)))))), `-`(`*`(`^`(R[2], n), `*`(int(`*`(f[2](psi), `*`(sin(`*`(n, `*`(psi)))))...
(5.3.12)
 

> Typesetting:-mrow(Typesetting:-mi(
 

[[C3[n] = `+`(`-`(`/`(`*`(`+`(`*`(`^`(R[2], n), `*`(int(`*`(f[2](psi), `*`(cos(`*`(n, `*`(psi))))), psi = 0 .. `+`(`*`(2, `*`(Pi)))))), `-`(`*`(`^`(R[1], n), `*`(int(`*`(f[1](psi), `*`(cos(`*`(n, `*`(...
[[C3[n] = `+`(`-`(`/`(`*`(`+`(`*`(`^`(R[2], n), `*`(int(`*`(f[2](psi), `*`(cos(`*`(n, `*`(psi))))), psi = 0 .. `+`(`*`(2, `*`(Pi)))))), `-`(`*`(`^`(R[1], n), `*`(int(`*`(f[1](psi), `*`(cos(`*`(n, `*`(...
(5.3.13)
 

or 

> Typesetting:-mrow(Typesetting:-msub(Typesetting:-mi(
 

`+`(`/`(`*`(`/`(1, 2), `*`(`+`(`*`(ln(R[2]), `*`(int(f[1](psi), psi = 0 .. `+`(`*`(2, `*`(Pi)))))), `-`(`*`(int(f[2](psi), psi = 0 .. `+`(`*`(2, `*`(Pi)))), `*`(ln(R[1]))))))), `*`(Pi, `*`(`+`(ln(R[2]... (5.3.14)
 

> Typesetting:-mrow(Typesetting:-msub(Typesetting:-mi(
 

`+`(`/`(`*`(`/`(1, 2), `*`(`+`(`-`(int(f[1](psi), psi = 0 .. `+`(`*`(2, `*`(Pi))))), int(f[2](psi), psi = 0 .. `+`(`*`(2, `*`(Pi))))))), `*`(Pi, `*`(`+`(ln(R[2]), `-`(ln(R[1]))))))) (5.3.15)
 

> Typesetting:-mrow(Typesetting:-msub(Typesetting:-mi(
 

`+`(`-`(`/`(`*`(`+`(`*`(`^`(R[2], n), `*`(int(`*`(f[2](psi), `*`(sin(`*`(n, `*`(psi))))), psi = 0 .. `+`(`*`(2, `*`(Pi)))))), `-`(`*`(`^`(R[1], n), `*`(int(`*`(f[1](psi), `*`(sin(`*`(n, `*`(psi))))), ... (5.3.16)
 

> Typesetting:-mrow(Typesetting:-mo(
 

`/`(`*`(`+`(`*`(`^`(R[1], `+`(`*`(2, `*`(n)))), `*`(`^`(R[2], n), `*`(int(`*`(f[2](psi), `*`(sin(`*`(n, `*`(psi))))), psi = 0 .. `+`(`*`(2, `*`(Pi))))))), `-`(`*`(`^`(R[1], n), `*`(`^`(R[2], `+`(`*`(2... (5.3.17)
 

> Typesetting:-mrow(Typesetting:-msub(Typesetting:-mi(
 

`+`(`-`(`/`(`*`(`+`(`-`(`*`(`^`(R[2], n), `*`(int(`*`(f[2](psi), `*`(cos(`*`(n, `*`(psi))))), psi = 0 .. `+`(`*`(2, `*`(Pi))))))), `*`(`^`(R[1], n), `*`(int(`*`(f[1](psi), `*`(cos(`*`(n, `*`(psi))))),... (5.3.18)
 

> Typesetting:-mrow(Typesetting:-msub(Typesetting:-mi(
 

`/`(`*`(`+`(`-`(`*`(`^`(R[1], `+`(`*`(2, `*`(n)))), `*`(`^`(R[2], n), `*`(int(`*`(f[2](psi), `*`(cos(`*`(n, `*`(psi))))), psi = 0 .. `+`(`*`(2, `*`(Pi)))))))), `*`(`^`(R[1], n), `*`(`^`(R[2], `+`(`*`(... (5.3.19)
 

And solution of the first boundary-value problem is: 

> Typesetting:-mrow(Typesetting:-mi(
 

`+`(Sum(int(`/`(`*`(cos(`*`(n, `*`(`+`(`-`(psi), `ϕ`)))), `*`(`+`(`*`(`^`(r, `+`(`-`(n))), `*`(`^`(R[2], `+`(`*`(2, `*`(n)))), `*`(`^`(R[1], n), `*`(f[1](psi))))), `-`(`*`(`^`(r, `+`(`-`(n))), ...
`+`(Sum(int(`/`(`*`(cos(`*`(n, `*`(`+`(`-`(psi), `ϕ`)))), `*`(`+`(`*`(`^`(r, `+`(`-`(n))), `*`(`^`(R[2], `+`(`*`(2, `*`(n)))), `*`(`^`(R[1], n), `*`(f[1](psi))))), `-`(`*`(`^`(r, `+`(`-`(n))), ...
(5.3.20)
 

5.4. Integral representation of the solution 

This solution can be represented in integral form. We will use relations: 

> Typesetting:-mrow(Typesetting:-mi(
 

`+`(`*`(`+`(`*`(`^`(r, `+`(`-`(n))), `*`(`^`(R[2], `+`(`*`(2, `*`(n)))), `*`(`^`(R[1], n)))), `-`(`*`(`^`(r, n), `*`(`^`(R[1], n))))), `*`(f[1](psi))), `*`(`+`(`-`(`*`(`^`(r, `+`(`-`(n))), `*`(`^`(R[1... (5.4.1)
 

> Typesetting:-mrow(Typesetting:-mi(
 

`+`(`*`(`+`(ln(R[2]), `-`(ln(r))), `*`(f[1](psi))), `*`(`+`(`-`(ln(R[1])), ln(r)), `*`(f[2](psi)))) (5.4.2)
 

and get formulas 

> Typesetting:-mrow(Typesetting:-mi(
 

> Typesetting:-mrow(Typesetting:-mi(
Typesetting:-mrow(Typesetting:-mi(
 

u(r, `ϕ`) = `+`(Sum(int(`/`(`*`(cos(`*`(n, `*`(`+`(`-`(psi), `ϕ`)))), `*`(`+`(`*`(`+`(`*`(`^`(r, `+`(`-`(n))), `*`(`^`(R[2], `+`(`*`(2, `*`(n)))), `*`(`^`(R[1], n)))), `-`(`*`(`^`(r, n),...
u(r, `ϕ`) = `+`(Sum(int(`/`(`*`(cos(`*`(n, `*`(`+`(`-`(psi), `ϕ`)))), `*`(`+`(`*`(`+`(`*`(`^`(r, `+`(`-`(n))), `*`(`^`(R[2], `+`(`*`(2, `*`(n)))), `*`(`^`(R[1], n)))), `-`(`*`(`^`(r, n),...
(5.4.3)
 

Using denotation: 

> Typesetting:-mrow(Typesetting:-msub(Typesetting:-mi(
 

`+`(`-`(Sum(`/`(`*`(cos(`*`(n, `*`(`+`(`-`(psi), `ϕ`)))), `*`(`+`(`*`(`^`(r, `+`(`-`(n))), `*`(`^`(R[2], `+`(`*`(2, `*`(n)))), `*`(`^`(R[1], n)))), `-`(`*`(`^`(r, n), `*`(`^`(R[1], n))))))), `*... (5.4.4)
 

> Typesetting:-mrow(Typesetting:-msub(Typesetting:-mi(
 

`+`(`-`(Sum(`/`(`*`(cos(`*`(n, `*`(`+`(`-`(psi), `ϕ`)))), `*`(`+`(`-`(`*`(`^`(r, `+`(`-`(n))), `*`(`^`(R[1], `+`(`*`(2, `*`(n)))), `*`(`^`(R[2], n))))), `*`(`^`(r, n), `*`(`^`(R[2], n)))))), `*... (5.4.5)
 

we get solution in integral form: 

> Typesetting:-mrow(Typesetting:-mi(
 

u(r, `ϕ`) = int(`+`(`*`(f[1](psi), `*`(`+`(`-`(Sum(`/`(`*`(cos(`*`(n, `*`(`+`(`-`(psi), `ϕ`)))), `*`(`+`(`*`(`^`(r, `+`(`-`(n))), `*`(`^`(R[2], `+`(`*`(2, `*`(n)))), `*`(`^`(R[1], n)))),...
u(r, `ϕ`) = int(`+`(`*`(f[1](psi), `*`(`+`(`-`(Sum(`/`(`*`(cos(`*`(n, `*`(`+`(`-`(psi), `ϕ`)))), `*`(`+`(`*`(`^`(r, `+`(`-`(n))), `*`(`^`(R[2], `+`(`*`(2, `*`(n)))), `*`(`^`(R[1], n)))),...
(5.4.6)
 

Conclusions 

This work demonstrates universal possibilities of MAPLE in solving the partial elliptic differential equations. 

Appendix 1 

Orthonormality conditions for sin(k Typesetting:-mi() and cos(k Typesetting:-mi(). 

> Typesetting:-mrow(Typesetting:-msubsup(Typesetting:-mo(
 

Int(`*`(`^`(sin(`*`(n, `*`(`ϕ`))), 2)), `ϕ` = 0 .. `+`(`*`(2, `*`(Pi)))) = Pi (7.1)
 

> Typesetting:-mrow(Typesetting:-mi(
 

Int(`*`(`^`(cos(`*`(n, `*`(`ϕ`))), 2)), `ϕ` = 0 .. `+`(`*`(2, `*`(Pi)))) = Pi (7.2)
 

> Typesetting:-mrow(Typesetting:-msubsup(Typesetting:-mo(
 

Int(`*`(sin(`*`(n, `*`(`ϕ`))), `*`(sin(`*`(k, `*`(`ϕ`))))), `ϕ` = 0 .. `+`(`*`(2, `*`(Pi)))) = 0 (7.3)
 

> Typesetting:-mrow(Typesetting:-msubsup(Typesetting:-mo(
 

Int(`*`(cos(`*`(n, `*`(`ϕ`))), `*`(cos(`*`(k, `*`(`ϕ`))))), `ϕ` = 0 .. `+`(`*`(2, `*`(Pi)))) = 0 (7.4)
 

> Typesetting:-mrow(Typesetting:-mi(
 

Int(`*`(sin(`*`(n, `*`(`ϕ`))), `*`(cos(`*`(n, `*`(`ϕ`))))), `ϕ` = 0 .. `+`(`*`(2, `*`(Pi)))) = 0 (7.5)
 

> Typesetting:-mrow(Typesetting:-msubsup(Typesetting:-mo(
 

Int(`*`(cos(`*`(n, `*`(`ϕ`))), `*`(sin(`*`(k, `*`(`ϕ`))))), `ϕ` = 0 .. `+`(`*`(2, `*`(Pi)))) = 0 (7.6)
 

References 

1. A.N. Tikhonov, A.A. Samarski. Equations of mathematical physics. Moskow. MSU, 1999. 

2. B.N. Budak, A.N. Tikhonov, A.A. Samarski. Problems on mathematical physics. Moskow. Fizmatlit, 2004. 

 

Legal Notice: The copyright for this application is owned by the author(s). Neither Maplesoft nor the author are responsible for any errors contained within and are not liable for any damages resulting from the use of this material. This application is intended for non-commercial, non-profit use only. Contact the author for permission if you wish to use this application in for-profit activities.
 

Image