Application Center - Maplesoft

App Preview:

Arc Length

You can switch back to the summary page by clicking here.

Learn about Maple
Download Application


 

Image

Finding the Arc Length of a Curve

? Maplesoft, a division of Waterloo Maple Inc., 2007 

Introduction 

This application is one of a collection of examples teaching Calculus with Maple. These applications use Clickable Calculus? methods to solve problems interactively. Steps are given at every stage of the solution, and many are illustrated using short video clips.  Click on the Image buttons to watch the videos. 

 

This application is reusable. Modify the problem, then click the !!! button on the toolbar to re-execute the document to solve the new problem. 

 

Problem Statement 

Find the length of each of the following curves: 

 

  • Typesetting:-mrow(Typesetting:-mi(
 

  • Typesetting:-mrow(Typesetting:-mi(
 

 

Use the formula for arc length on an interval. 

 

Solution 

 

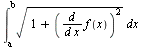
The arc length of a curve defined by  Typesetting:-mrow(Typesetting:-mi( over the interval Typesetting:-mrow(Typesetting:-mfenced(Typesetting:-mrow(Typesetting:-mi( can be calculated by computing 

 

Typesetting:-mrow(Typesetting:-msubsup(Typesetting:-mo(  

Problem 1 

 

Step 

Result 

Form the integral. 

 

Use the templates in the Expression palette. To insert a template, click on it. Press [Enter] to evaluate. 

 

HyperlinkImage 

 

Approximate the result to a more understandable value by right clicking and choosing Approximate>5 digits. 

 

HyperlinkImage 

 

Typesetting:-mrow(Typesetting:-msubsup(Typesetting:-mo( 

`+`(`-`(`*`(`/`(1, 2), `*`(`^`(5, `/`(1, 2))))), `-`(`*`(`/`(1, 8), `*`(ln(`+`(9, `*`(4, `*`(`^`(5, `/`(1, 2))))))))), `*`(`/`(3, 2), `*`(`^`(2, `/`(1, 2)))), `*`(`/`(1, 8), `*`(ln(`+`(17, `*`(12, `*`... (3.1.1)
 

Typesetting:-mover(Typesetting:-mo(1.0831 

 

 

Problem 2 

 

Step 

Result 

Enter the expression for the function. 

 

In the Expression palette click on the expressions Typesetting:-mrow(Typesetting:-mi( and Typesetting:-mrow(Typesetting:-mi( icons to insert them into the document. Press [Enter] to obtain an equation label. 

 

HyperlinkImage 

Typesetting:-mrow(Typesetting:-mi( 

sin(ln(x)) (3.2.1)
 

 

Form the integral. 

 

Use the templates in the Expression palette to formulate the arc length integral.  Use the equation label to reference Typesetting:-mrow(Typesetting:-mi( [Ctrl]+L and then type the equation number into the window that appears.  

 

Approximate the result as a floating-point number  by right clicking and choosing Approximate>5 digits. 

 

HyperlinkImage 

 

Typesetting:-mrow(Typesetting:-msubsup(Typesetting:-mo( 

int(`*`(`^`(`+`(1, `/`(`*`(`^`(cos(ln(x)), 2)), `*`(`^`(x, 2)))), `/`(1, 2))), x = 1 .. 3) (3.2.2)
 

Typesetting:-mover(Typesetting:-mo(2.2289 

 

 

Legal Notice: The copyright for this application is owned by Maplesoft. The application is intended to demonstrate the use of Maple to solve a particular problem. It has been made available for product evaluation purposes only and may not be used in any other context without the express permission of Maplesoft.   

Image