Application Center - Maplesoft

App Preview:

Optimizing the Controller Design to Guide the Motion of a Maglev Train

You can switch back to the summary page by clicking here.

Learn about Maple
Download Application


 

Image 

Optimizing the Controller Design to Guide the Motion of a Maglev Train  

The challenge: To design a robust feedback controller and optimize the control parameters to guide the motion of a Maglev train along the guideway 

? Maplesoft, a division of Waterloo Maple Inc., 2008 

 

Introduction 

Problem Definition 

1. Model Development 

1.1 Linear Model of the Magnet 

1.2 Model for the Linearized Magnet Force 

1.3 Model of Magnet Dynamics 

 

2. Control System Design 

2.1 PI Controller 

2.2 Control Specifications and  Measurements 

2.3 Control System Transfer Function 

2.4 Controller Gains & Closed Loop System  

2.5 The Final Design 

 

3. Vehicle Model 

3.1 Equations of Motion 

3.2 Response Plots 

 

Results 

Background 

Image 

 

Introduction 

 

Magnetically Levitated (Maglev) trains differ from conventional trains in that they are levitated, guided and propelled along a guideway by a changing magnetic field rather than by steam, diesel or electric engine. The absence of direct contact between the train and the rail allows the Maglev to reach record ground transportation speeds, which are on par to that of commercial airplanes. 

 

Image 

Figure 1: (A) Cross sectional view of cabin & (B) Expanded view of magnet support structure 

 

An Electromagnetic Suspension (EMS) Maglev train uses the attractive forces of magnets (& electro-magnets), positioned below a guideway, to levitate a train and guide it along the guideway (fig 1).  

 

Three phase AC propulsion coils mounted along the steel rails of the guideway provide a moving magnetic field that interacts with the periodic magnetic field created by the lifting magnets to propel the train forward. There are 24 lifting magnet pairs (48 magnets all together) mounted along the length of the train. The lifting magnets, which are canted at an 37? degree angle towards the steel rails, consists of high temperature superconducting (HTS) magnets and conventional (non-superconducting) coils (fig 2). A periodic magnetic field is generate by aligning the lifting magnet pairs so that their north and south poles alternate.  

 

There are many advantages and disadvantages associated with Maglev trains in comparison to conventional steel wheel on steel rail trains . The table (table 1) below highlights some of these. 

 

Image 

 

 

 

Image 

Figure 2: Expanded view of lifting magnets 

 

Advantages 

Disadvantages 

Record breaking ground transportation speeds reaching 500 km/h (300 mph) 

High infrastructure costs 

Less expensive to operate and maintain than traditional high-speed trains or even planes, and as a consequence lower cost per passenger per mile 

Not compatible with conventional wheeled tracks making it limited to only those places where maglev lines run. 

Silent at low speeds 

Increased noise pollution at high speeds 

Significant energy savings because the vehicle does not have to carry around the weight of its propulsion system 

 

No associated maintenance cost because there are no parts that are in contact with ground 

 

Improved ride comfort  

 

Table 1: Advantages and Disadvantages of Maglev trains over conventional trains 

Problem Definition 

 

EMS Maglev trains require robust controllers to guide the train along the guideway. The controller prevents the train from colliding into the guideway by maintaining a constant air gap between the train and guideway regardless of inconsistencies in the guideway, change in direction or angle of the track, and environmental forces such as wind.  

 

Control of the vehicle is achieved by a combination of passive (i.e. through the orientation of the magnets along the vehicle) and active (i.e. with an active control system) techniques. Each magnetic coil has its own independent control system. This independence allows the pitching (forward and aft rotations) to be controlled by the magnets at the front and rear of the vehicle acting independently to maintain the air gap at 2 inches.  Because the magnets are canted at 37? degrees, the lateral and yaw motions (motions that turn the vehicle left or right relative to the direction of travel) are also controlled automatically when the air gaps are maintained at the nominal 2 inches.  For example, if a wind gust were to shift the vehicle to the right, the gap on the left side would become smaller and the one on the right side would become bigger.  Each of the magnets would then correct for the motion by returning the magnets back to equilibrium.   

 

Lift (up and down motion) is controlled when the left magnet and right magnet move in unison.  For example, when the rail rises it causes the gap on both the right and left side of the vehicle to get smaller.  The magnet control systems respond to this change by adjusting the current flowing through the magnets to return the gap to the desired 2 inch setting. 

 

The control for roll (rotations to the left and right along the direction of travel) is done passively by offsetting each of the magnets pairs by 1 inch.  This offset acts to provide a magnetic spring that naturally restores the vehicle so it is perpendicular to the guideway whenever a disturbance occurs. 

 

This worksheet will examine the design of a robust feedback controller to guide the motion of a EMS Maglev train along the guideway. Historical details pertaining to the design of the EMS Maglev train and the use of superconductors can be found in the Background section. 

1. Model Development 

1.1 Creating a Linear Model of the Magnet 

 

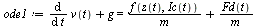
The force from the magnet is a function of the gap distance z and the current in the coils Ic. The force can be developed from first principles using Maxwell's equations, or by using the inductance of the magnets, but because of the iron in the core, the actual force is a complex function of the geometry of the magnet, the amount of iron in the magnet and the rail, and the inherent hysteresis of the iron. The nonlinear effects of the magnet can be approximated to first order so that the magnet force is proportional to the square of the current flowing in the magnet coils and inversely proportional to the square of the gap between the rail and the magnet. Thus: 

 

`:=`(f, proc (z, Ic) options operator, arrow; `/`(`*`(K, `*`(`^`(Ic, 2))), `*`(`^`(z, 2))) end proc) 

proc (z, Ic) options operator, arrow; `/`(`*`(K, `*`(`^`(Ic, 2))), `*`(`^`(z, 2))) end proc (1)
 

 

If we assume that the vehicle mass is m and the gravitational acceleration is g, then a simple free body model of the vertical motion gives the differential equations for the motion as follows. 

 

Velocity: 

`:=`(ode1, `+`(diff(v(t), t), g) = `+`(`/`(`*`(f(z(t), Ic(t))), `*`(m)), `/`(`*`(Fd(t)), `*`(m)))) 

`+`(diff(v(t), t), g) = `+`(`/`(`*`(K, `*`(`^`(Ic(t), 2))), `*`(`^`(z(t), 2), `*`(m))), `/`(`*`(Fd(t)), `*`(m))) (2)
 

Displacement: 

`:=`(ode2, diff(z(t), t) = v(t)) 

diff(z(t), t) = v(t) (3)
 

 

Suppose the weight of each car in a two car Maglev train is 135,000 pounds. Using the same units, the acceleration of gravity is defined as 32.2 ft/s/s. For now let's assume the proportionality constant K is unity. This then gives the parameters for the model as: 

 

 

`:=`(params, [K = 1, g = 32.2, m = `+`(`*`(135000, `*`(`/`(32.2))))]); -1 

 

1.2 Creating a Model for the Linearized Magnet Force 

 

The first step in obtaining an accurate model of the vehicle is to model the nonlinear magnet dynamics. Therefore, we will create, using the DynamicSystems package, the nonlinear differential equation model, using the coupled differential equations ode1 and ode2 defined above, with the parameters defined above. 

 

`:=`(ode1, eval(ode1, params)) 

`+`(diff(v(t), t), 32.2) = `+`(`/`(`*`(0.2385185185e-3, `*`(`^`(Ic(t), 2))), `*`(`^`(z(t), 2))), `*`(0.2385185185e-3, `*`(Fd(t)))) (4)
 

 

`:=`(ode2, eval(ode2, params)) 

diff(z(t), t) = v(t) (5)
 

 

`:=`(sys_de, DynamicSystems[DiffEquation]([ode1, ode2], inputvariable = [Ic(t), Fd(t)], outputvariable = [z(t), v(t)])); -1
`:=`(sys_de, DynamicSystems[DiffEquation]([ode1, ode2], inputvariable = [Ic(t), Fd(t)], outputvariable = [z(t), v(t)])); -1
 

 

To see what the object sys_de looks like we use the PrintSystem command in the DynamicSystems package. 

 

DynamicSystems[PrintSystem](sys_de) 

(6)
 

 

We now have a differential equation system object with the inputs Ic and Fd, and outputs z and v

 

The proportionality constant K in equation proc (z, Ic) options operator, arrow; `/`(`*`(K, `*`(`^`(Ic, 2))), `*`(`^`(z, 2))) end proc is derived from the fact that the magnetic force is given by the cross product of the B field with the current producing the magnetic field. Since the current produces both the lifting field and the field it interacts with (through the closed loop around the C shaped magnet and the rail), the lifting force is proportional to the square of the B field over the area A of the magnet's pole face. The proportionality constant for this force is `/`(`+`(`*`(2, `*`(mu[0])))).  Thus the force from the magnet is: 

F = `*`(`^`(B, 2), `*`(A, `*`(`/`(`+`(`*`(2, `*`(mu[0]))))))); -1 

 

TheBfield is given by `*`(mu, `*`(H)) where mu is the magnetic permeability of the iron in the magnet and rail (due to the hysteresis of the iron, this term is not constant) and the magnetic flux is given by the current in the coil multiplied by the number of turns in the coil.  Thus, the constant K is given by: 

 

K = `*`(`^`(mu, 2), `*`(`^`(N, 2), `*`(A, `*`(`/`(`+`(`*`(2, `*`(mu[0])))))))); -1 

1.3 Using the Model to Develop an Understanding of the Magnet Dynamics 

 

Based on a simple understanding of the physics, it should be clear that when there is no current in the coils the vehicle will drop under the influence of gravity causing the undercarriage to hit the guideway. Similarly, when the current in the magnet is very large, the magnet will be attracted to the rail and hit the rail (in fact the assumed force function is infinite when the gap z is zero). Therefore, as we analyze the nonlinear differential equation we should expect that the dynamics are unstable.   

 

To investigate the dynamics, the force term f(z, t) must be linearized. The basic superconducting magnet was designed to have a nominal value of `*`(I, `*`(N)) equal to 50,000 ampere turns.  The control coils, which regulate the current through the superconducting magnets, were designed to allow a maximum of 15,000 ampere turns.  In addition, the nominal air gap for the system is 2 inches. These values establish the numerical value for force and therefore for the term K. The linearization of the nonlinear term in  proc (z, Ic) options operator, arrow; `/`(`*`(K, `*`(`^`(Ic, 2))), `*`(`^`(z, 2))) end proc, from the Taylor series expansion around the nominal 2 inch gap and 50,000 ampere turns current in the coils, is obtained from the partials Kz = diff(f(z, Ic), z); -1 and KI = diff(f(z, Ic), Ic); -1 

 

diff(f(z, Ic), z) = `+`(`-`(`/`(`*`(2, `*`(K, `*`(`^`(Ic, 2)))), `*`(`^`(z, 3)))))  

 

 

and 

diff(f(z, Ic), Ic) = `+`(`/`(`*`(2, `*`(K, `*`(Ic))), `*`(`^`(z, 2))))  

 

When the nominal values of  Ic and z are substituted into the expansion, the linearization becomes (in this and the subsequent analysis, the variations in z and Ic, `Δz` and `ΔIc`, are written as z and Ic respectively):  

 

f(z(t), Ic(t)) = `+`(`*`(Kz, `*`(z(t))), `*`(KI, `*`(Ic(t)))); -1 

 

The nominal value for the vehicle mass, and the nominal value of K gives Kz as 281,000 pounds/foot and the nominal value of KI as 3372000 pounds/kiloampere-turn. 

 

This then provides the linear dynamics as: 

 

`:=`(ode3, diff(v(t), t) = `+`(`/`(`*`(Kz, `*`(z(t))), `*`(m)), `/`(`*`(KI, `*`(Ic(t))), `*`(m)), `/`(`*`(Fd(t)), `*`(m)))); -1 

 

 

`:=`(params, [K = 1, m = 50500, g = 32.2, Kz = 281000, KI = 3372000]); -1 

 

Now we evaluate the equation at the operating point derived above: 

 

`:=`(ode3, eval(ode3, params)) 

diff(v(t), t) = `+`(`*`(`/`(562, 101), `*`(z(t))), `*`(`/`(6744, 101), `*`(Ic(t))), `*`(`/`(1, 50500), `*`(Fd(t)))) (7)
 

 

2. Control System Design 

The analyses in the previous section allow us to begin the design of the control system. The first step in this is an investigation of the underlying dynamics in order to understand how best to control the vehicle. In this section we will use the equations defined above to develop a controller which will effectively control the behavior of our system to external perturbations, such as changes in guideway and disturbance forces (such as wind)), according to a set of well defined control criteria. 

 

To start, we define the differential equation system object that we will be working with using ode2 and ode3 above: 

 

`:=`(sys_de, DynamicSystems[DiffEquation]([ode2, ode3], inputvariable = [Ic(t), Fd(t)], outputvariable = [z(t), v(t)])); -1
`:=`(sys_de, DynamicSystems[DiffEquation]([ode2, ode3], inputvariable = [Ic(t), Fd(t)], outputvariable = [z(t), v(t)])); -1
 

 

DynamicSystems[PrintSystem](sys_de) 

(8)
 

 

For the design of the control system, the transfer function poles and zeros for the linear differential equation need to be derived. We start by using DynamicSystems to get the ZeroPoleGain version of sys_de

 

`:=`(sys, DynamicSystems[ZeroPoleGain](sys_de)) 

module () export z, p, k, inputcount, outputcount, statecount, sampletime, discrete, systemname, inputvariable, outputvariable, statevariable, systemtype, ModulePrint; end module (9)
 

 

 

Zero-Pole-Gain Analysis 

Zero-Pole Plot 

Zeros 

      Embedded component 

Figure 3: Zero-Pole Plot 

 

sys:-z = Matrix(%id = 65480324) 

 

Poles 

sys:-p = Matrix(%id = 63064540)
Matrix(%id = 63064540)
Matrix(%id = 63064540)
Matrix(%id = 63064540)

Gains 

sys:-k = Matrix(%id = 64716716) 

 

From the zero-pole plot we see immediately that there are two poles: one in the right half plane and one in the left. As we deduced from first principles, the system is unstable. Just for completeness, if only the the transfer function for the system were needed, it would be obtained from: 

 

`:=`(sys, DynamicSystems[TransferFunction](sys_de)) 

module () export tf, inputcount, outputcount, statecount, sampletime, discrete, systemname, inputvariable, outputvariable, statevariable, systemtype, ModulePrint; end module (10)
 

`:=`(out, [sys:-tf]) 

[Matrix(%id = 63092684)] (11)
 

 

Now we can design the control system. 

 

2.1 Using the Superconductor for Integral Control for a PI Controller 

 

Superconductor magnets do not like rapidly varying currents (see the Background section for details).  We can use the superconductor as an integrator (this comes from physics). The magnet has essentially zero resistance, so the differential equation for the magnet is: 

 

`*`(L[sc], `*`(diff(Icsc(t), t))) = v(t); -1 

 

Thus, for any voltage v(t) applied to the superconductor, the current in the magnet is the integral of the voltage. Making the control signal the voltage, the superconductor will integrate this control and the gain on this signal will be the integral control gain, which we denote by Ki

 

Similarly, the control coil has the model: 

 

`+`(`*`(L[c], `*`(diff(Ic(t), t))), `*`(R[c], `*`(Ic(t)))) = v(t); -1 

 

and of course in steady state the current in the control coil is simply `/`(`*`(v(t)), `*`(R[v])) multiplied by the proportional control gain (Kp). 

 

This analysis shows that the control system is a proportional plus integral controller with gains Kp and Ki, but we still have not addressed how to stabilize the lift magnets. Let's investigate the measurements that will be required to stabilize the magnets.  

 

2.2 The Control Specifications and the Measurements Needed 

When a Maglev "flies" above the guideway (and below the rails in this design), it is moving along in inertial coordinates that are only slightly constrained by the proximity of the guideway. This means that a slight change in the rail location relative to the vehicle - one that is caused by an irregularity in the rail for instance - can be ignored. Thus, measurements of the gap between the magnet and the rail are not sufficient to tell the control system what to do. In most attractive Maglev designs, therefore, a measurement of the gap is supplemented with a measurement of the acceleration of the magnet in the direction of the rail (remember in this design the magnets are canted at an angle so the force is not applied purely along the vertical (z) axis). The control system is therefore required to null accelerations.   

 

Acceleration alone can not be the only feedback. The guideway (and the rail along with it) must follow the terrain and the desired route (turning left and right). This means that the gap between the magnets and the rail must be measured too.  Furthermore, the availability of acceleration as a measurement would allow derivative control (i.e. the control could be full state feedback PID control) simply by integrating the acceleration.   

 

The control criteria is therefore: 

 

  • At a fast scale (response times between `+`(`*`(.1, `*`(s))) and s), zero the acceleration.
 

 

 

  • At a slow scale (times greater than s), follow the gap and maintain it at 2 inches.
 

 

 

  • The break between these two actions is approximately where the superconductor and the control coils are active (i.e. up to Hz use the superconductor currents change to modify the "lift" and thereby keep the gap constant, and at faster scales (up to about `+`(`*`(10, `*`(Hz)))) the control coils try to zero the vertical accelerations).
 

 

 

2.3 The Control System Transfer Function Implied by the Specifications 

From the discussions above, the transfer function for the controller is a PID control with acceleration feedback. Assume that the acceleration gain is Ka, the derivative gain in the PID controller is the velocity gain Kv, and of course the integral gain is Ki. Instead of placing a gain on the position, we assume that the entire feedback control is multiplied by a loop gain of Kf (instead of a position gain it actually is in the forward loop and is a gain for the entire control system). Thus the feedback controller is: 

 

 

`:=`(Hc, proc (s) options operator, arrow; `*`(Kf(`+`(`*`(Ka, `*`(`^`(s, 2))), `*`(Kv, `*`(s)))), `*`(`+`(`/`(`*`(Ki), `*`(s)), 1))) end proc) 

proc (s) options operator, arrow; `*`(Kf(`+`(`*`(Ka, `*`(`^`(s, 2))), `*`(Kv, `*`(s)))), `*`(`+`(`/`(`*`(Ki), `*`(s)), 1))) end proc (12)
 

 

The control system will also have the time constants associated with the control coils and the sensors (the gap sensor and the accelerometer that will be used to get the velocity). For now we will neglect these.  The complete linear dynamics block diagram of the control system is therefore as shown in Figure 4 below. 

 

 

Drawing-Canvas 

 

Figure 4: Block Diagram of the Linear Controller for a Maglev Magnet
The control consists of an integral controller and feedback of the  

magnet acceleration, velocity and position with respect to the rail.  

 

2.4 Setting the Controller Gains to Make the Closed Loop System Second Order 

 

Knowing the control system structure allows us to analyze the block diagram and derive the closed loop transfer function. The first step is to do some simple block diagram manipulations to obtain the block diagram shown in Figure 5. This immediately gives the closed loop transfer function for the displacement Z(s) with respect to the desired gap as the third order system: 

 

`:=`(Gcl, proc (s) options operator, arrow; `/`(`*`(Kf, `*`(KIc, `*`(`+`(s, Ki)))), `*`(s, `*`(`+`(`*`(`^`(s, 2)), `-`(`/`(`*`(Kz), `*`(m)))), `*`(`+`(1, `/`(`*`(`+`(`*`(Ka, `*`(`^`(s, 2))), `*`(Kv, `... 

proc (s) options operator, arrow; `/`(`*`(Kf, `*`(KIc, `*`(`+`(s, Ki)))), `*`(s, `*`(`+`(`*`(`^`(s, 2)), `-`(`/`(`*`(Kz), `*`(m)))), `*`(`+`(1, `/`(`*`(`+`(`*`(Ka, `*`(`^`(s, 2))), `*`(Kv, `*`(s)), 1)... (13)
 

 

Before we begin determining the gains in the control system, we need to discuss controlling an unstable system and how the instability affects the specification for the overall closed loop system.  

 

 

Drawing-Canvas 

 

Figure 5: Simplified Block Diagram 

 

In the design of unstable linear systems, the gain needs to be large enough to bring the unstable pole into the left half plane. One very useful trick that has been used in many unstable systems (including aircraft that are longitudinally unstable) is to simplify the transfer function by selecting the gain Ki of the PID control so that the zero introduced by the integral compensation cancels the left half plane pole of the unstable dynamics. 

 

The motivation for this is twofold.  First, this cancellation will result in closed loop dynamics that are second order, and secondly the bandwidth of the closed loop servo can be set to any desired value (independent of the magnet dynamics). As a second order system, the gains for the measurements and the proportional feedback can be selected to make the magnet response optimal in the LQ sense (i.e. we can select the closed loop bandwidth to be `+`(`*`(10, `*`(Hz))) as required in the specifications, and we can set the damping to the optimal value of `+`(`*`(`/`(1, 2), `*`(sqrt(2))))) . The cancellation of the zero with the left half plane pole of the unstable dynamics requires that `*`(`^`(Ki, 2)) = `/`(`*`(Kz), `*`(m)); -1 

 

The following simplifications are done to get the closed loop transfer function into the required form: 

 

factor(algsubs(Ki = sqrt(`/`(`*`(Kz), `*`(m))), Gcl(s))) 

`/`(`*`(`+`(s, `*`(`^`(`/`(`*`(Kz), `*`(m)), `/`(1, 2)))), `*`(Kf, `*`(KIc, `*`(m)))), `*`(`+`(`*`(Kf, `*`(KIc, `*`(m, `*`(Ka, `*`(`^`(s, 3)))))), `*`(Kf, `*`(KIc, `*`(m, `*`(Ka, `*`(`^`(s, 2), `*`(`^...
`/`(`*`(`+`(s, `*`(`^`(`/`(`*`(Kz), `*`(m)), `/`(1, 2)))), `*`(Kf, `*`(KIc, `*`(m)))), `*`(`+`(`*`(Kf, `*`(KIc, `*`(m, `*`(Ka, `*`(`^`(s, 3)))))), `*`(Kf, `*`(KIc, `*`(m, `*`(Ka, `*`(`^`(s, 2), `*`(`^...
(14)
 

 

Note that the possibility of having a common factor in the numerator and denominator is not obvious, but it is possible to select the values of Ka, Kf and Ki to make the denominator of this transfer function equal to (`+`(s, sqrt(`/`(`*`(Kz), `*`(m)))))(`+`(`*`(`^`(s, 2)), `*`(2, `*`(Zeta[CL], `*`(omega[CL], `*`(s)))), `*`(`^`(omega[CL], 2)))); -1, where the values of the desired closed loop denominator are: 

 

Zeta[CL] = `+`(`*`(`/`(1, 2), `*`(sqrt(2)))); -1 

omega[CL] = `+`(`*`(20, `*`(Pi))); -1 

 

To simplify the algebra, let's assume that the zeros introduced by the acceleration gain and velocity gain are both at the same location denoted by omega[z].  This assumption makes the acceleration and velocity gains as follows: 

 

Ka = `/`(1, `*`(`^`(omega[z], 2))); -1                  and                   

`*`(K, `*`(v)) = `/`(1, `*`(omega[z])); -1 

While it might seem like a large set of simultaneous nonlinear equations need to be solved to completely specify the closed loop dynamics, we have systematically been eliminating the non-linearities in the solution as we constrained the gains. Therefore, the values for the gains are completely specified by the location of the zeros, which because of our assumption is Define the open loop undamped natural frequency as omega[OL] = sqrt(`/`(`*`(Kz), `*`(m))); -1 

 

Then omega[z] = `/`(`*`(omega[CL](`+`(1, sqrt(`+`(1, `/`(`*`(omega[OL], `*`(`+`(`*`(2, `*`(Zeta[CL])), `/`(`*`(omega[OL]), `*`(omega[CL]))))), `*`(omega[CL]))))))), `*`(`+`(`*`(2, `*`(Zeta[CL])), `/`(`*`(o... 

 

The values for the feedback gains Ka and Kv and the integral gain Ki  are completely determined from the above, and the value of Kf is: 

 

K[f] = `/`(`*`(omega[CL]), `*`(KIc, `*`(`+`(1, `^`(`/`(`*`(omega[CL]), `*`(omega[z])), 2))))); -1 

 

2.5 The Final Design 

 

We can now verify that the design is correct by examining the system repose to disturbance forces and guideway changes and errors.  Toward that end, let's find the numerical values for the gains based on the equations we have derived above.  

 

Substituting Zeta[CL], omega[CL], and omega[OL]  from the specification completely determines the gains that, along with the other parameters, can be used to create the system model that we want to examine.  

Thus the parameters are: 

`:=`(params, [m = 4192.5, Kz = 3372000, KIc = 17984, Ka = 0.15866e-3, Kv = 0.252e-1, Ki = 28.3599, Kf = 2463.2]); -1
`:=`(params, [m = 4192.5, Kz = 3372000, KIc = 17984, Ka = 0.15866e-3, Kv = 0.252e-1, Ki = 28.3599, Kf = 2463.2]); -1 

 

The state space model for the complete linear system can be written from the block diagram in Figure 3, in the following manner: 

 

We start at the right side of the diagram, moving from integrator to integrator for each of the states.  The first integrator (for the velocity) gives: 

 

`:=`(ode1, diff(x(t), t) = v(t)); -1 

 

The next integration (of the acceleration) is a little complex because there is an algebraic loop involved. Thus the differential equation for the acceleration has a term on the right that involves the derivative of the velocity (i.e. the acceleration) that must be removed by bringing the term to the right and dividing through by the resulting coefficient (which is `+`(1, `/`(`*`(Kf, `*`(Ka, `*`(KIc))), `*`(m)))), so: 

`:=`(ode2, diff(v(t), t) = `+`(`/`(`*`(`+`(Kz, `-`(`*`(Kf, `*`(KIc)))), `*`(x(t))), `*`(m, `*`(`+`(1, `/`(`*`(Kf, `*`(Ka, `*`(KIc))), `*`(m)))))), `-`(`/`(`*`(Kf, `*`(Kv, `*`(KIc, `*`(v(t))))), `*`(m,...
`:=`(ode2, diff(v(t), t) = `+`(`/`(`*`(`+`(Kz, `-`(`*`(Kf, `*`(KIc)))), `*`(x(t))), `*`(m, `*`(`+`(1, `/`(`*`(Kf, `*`(Ka, `*`(KIc))), `*`(m)))))), `-`(`/`(`*`(Kf, `*`(Kv, `*`(KIc, `*`(v(t))))), `*`(m,...
 

diff(v(t), t) = `+`(`/`(`*`(`+`(Kz, `-`(`*`(Kf, `*`(KIc)))), `*`(x(t))), `*`(m, `*`(`+`(1, `/`(`*`(Kf, `*`(Ka, `*`(KIc))), `*`(m)))))), `-`(`/`(`*`(Kf, `*`(Kv, `*`(KIc, `*`(v(t))))), `*`(m, `*`(`+`(1,...
diff(v(t), t) = `+`(`/`(`*`(`+`(Kz, `-`(`*`(Kf, `*`(KIc)))), `*`(x(t))), `*`(m, `*`(`+`(1, `/`(`*`(Kf, `*`(Ka, `*`(KIc))), `*`(m)))))), `-`(`/`(`*`(Kf, `*`(Kv, `*`(KIc, `*`(v(t))))), `*`(m, `*`(`+`(1,...
(15)
 

 

The last equation comes from the integrator in the integral compensation, and this also is complex because the right hand side also has the acceleration in it. We let Maple do the work of solving for this and eliminating it as follows: 

 

`:=`(ode3, diff(x3(t), t) = `+`(`-`(`*`(Ki, `*`(Ka, `*`(diff(v(t), t))))), `-`(`*`(Kv, `*`(Ki, `*`(v(t))))), `-`(`*`(Ki, `*`(x(t)))), `*`(Ki, `*`(g(t))))); -1 

 

 

We now substitute all of the parameter values into these equations: 

 

`:=`(ode1, eval(ode1, params)) 

diff(x(t), t) = v(t) (16)
 

`:=`(ode2, eval(ode2, params)) 

diff(v(t), t) = `+`(`-`(`*`(3647.333890, `*`(x(t)))), `-`(`*`(99.48571587, `*`(v(t)))), `*`(3947.845868, `*`(x3(t))), `*`(3947.845868, `*`(g(t))), `*`(0.2385211688e-3, `*`(Fd(t))))
diff(v(t), t) = `+`(`-`(`*`(3647.333890, `*`(x(t)))), `-`(`*`(99.48571587, `*`(v(t)))), `*`(3947.845868, `*`(x3(t))), `*`(3947.845868, `*`(g(t))), `*`(0.2385211688e-3, `*`(Fd(t))))
(17)
 

 

`:=`(ode3, eval(ode3, params)) 

diff(x3(t), t) = `+`(`-`(`*`(0.4499581734e-2, `*`(diff(v(t), t)))), `-`(`*`(.71466948, `*`(v(t)))), `-`(`*`(28.3599, `*`(x(t)))), `*`(28.3599, `*`(g(t)))) (18)
 

 

`:=`(sys_de, DynamicSystems[StateSpace]([ode1, ode2, ode3], inputvariable = [Fd(t), g(t)], outputvariable = [x(t), v(t)])); -1
`:=`(sys_de, DynamicSystems[StateSpace]([ode1, ode2, ode3], inputvariable = [Fd(t), g(t)], outputvariable = [x(t), v(t)])); -1
 

 

DynamicSystems[PrintSystem](sys_de) 

(19)
 

 

We can verify the behavior of our controller by examining how it responds to disturbances and guideway changes and/or irregularities. If we want to see what happens when there is a change in the force applied to the vehicle (as for, example, a vertical gust), the Fd(t) input can be set to a step input, and if we want to see what happens when there is an downward slope, the guideway input g(t) can be set to be a ramp.  

 

Control Response to Disturbance Forces and Guideway Changes  

Embedded component 

Vertical Wind GustDescending Guideway 

Generate Response Plot 

The response obtained below was calculated for a 10,000 pound aerodynamic gust of wind, and for a guideway slope that descends 1 ft over 10 seconds of travel.  

Embedded component 

Figure 6A: Input Signal 

   Embedded component 

                                                       Figure 6B: System Response Plot  

 

A quick look at the control response plots shows that the controller is able to correct for air gap changes due to disturbance forces, such as a 10,000 pound aerodynamic gust of wind, in about 0.1 seconds. Moreover, the air gap due to such a strong wind is only 0.004 inches. In addition, we can see that the controller is able to maintain the air gap even when the guiderail path is perturbed. These results show that the controller meets the design criteria specified in Section 2.2.  

 

3. Vehicle Model 

 

By maintaining the air gap between the guideway and train we expect the control system to be able control the motion of the vehicle in terms of heave, sway, pitch and yaw. In this section we will use the magnet model and control system equations determined previously to derive the equations of motion for the entire Maglev system. We will then examine the Maglev train system response to disturbance forces and guideway changes.  

3.1 Equations of Motion 

 

Figure 7 shows the magnets as they are grouped along the sides of the vehicle.  Twelve groups of four magnets are mounted along the vehicle (4 magnets are grouped as a single assembly and the force they apply is along the axis of the magnets through a compliant joint). Because of the cant angle the vertical forces (along the z-axis) are given by and the horizontal forces along the y axis are given by , where beta is the magnet cant angle. 

 

Image 

 

Figure 7. Maglev train geometry 

Location of the 12 magnet modules, their produced forces f1 through f12, and the three lever  

arms for the moments (magnets are placed symmetrically so these 3 define all 6 lever arms). 

 

The moments and forces created by the magnets depend, of course, on the geometric location of the magnets. All of the magnets are canted at an angle of 35? degrees. Thus the attractive force of the magnet (which is what has been modeled so far) must be resolved into vertical and sideways (sway) forces. Once this has been done, the moments created by the magnets can be defined.  We create a vector of forces for the magnets and then also create a vector of lever arms for each of the rotational degrees of freedom. When defining the equations we assume that all of the rotational angles are small so the gyroscopic forces and Coriolis forces can be neglected.  The equations of motion then become: 

 

Equations of Motion: 

`*`(I[theta], `*`(diff(diff(theta(t), t), t))) = `*`(L[Theta], `*`(f, `*`(cos(beta)))) 

`*`(I[theta], `*`(diff(diff(theta(t), t), t))) = `*`(L[Theta], `*`(f, `*`(cos(beta)))) (20)
 

 

`*`(I[psi], `*`(diff(diff(psi(t), t), t))) = `*`(L[psi], `*`(f, `*`(sin(beta)))) 

`*`(I[psi], `*`(diff(diff(psi(t), t), t))) = `*`(L[psi], `*`(f, `*`(sin(beta)))) (21)
 

 

`*`(m, `*`(diff(diff(y(t), t), t))) = `*`(L[y], `*`(f, `*`(cos(beta)))) 

`*`(m, `*`(diff(diff(y(t), t), t))) = `*`(L[y], `*`(f, `*`(cos(beta)))) (22)
 

 

`*`(m, `*`(diff(diff(z(t), t), t))) = `*`(L[z], `*`(f, `*`(sin(beta)))) 

`*`(m, `*`(diff(diff(z(t), t), t))) = `*`(L[z], `*`(f, `*`(sin(beta)))) (23)
 

 

 

The row vectors and L[z]are each an array of distances (or +1's and -1's in the case of  the forces) that multiply the forces to give the  forces or moments (summed together at the center of gravity) for the 12 magnet modules.  They are given by: 

 

Row Vectors and L[z]

L[Theta] = Vector[column](%id = 63762684); -1 

L[psi] = Vector[column](%id = 64665048); -1                           

L[y] = Vector[column](%id = 66993900); -1 

L[z] = Vector[column](%id = 67103848); -1                          

 

The equations of motion defined above are combined with the magnet module equations to obtain the closed-loop system equations that describe the behavior of the Maglev train.  

 

We rename the state variable x3(t) to aux(t): 

`:=`(contorlODEs, subs(x3(t) = aux(t), [ode1, ode2, ode3])) 

[diff(x(t), t) = v(t), diff(v(t), t) = `+`(`-`(`*`(3647.333890, `*`(x(t)))), `-`(`*`(99.48571587, `*`(v(t)))), `*`(3947.845868, `*`(aux(t))), `*`(3947.845868, `*`(g(t))), `*`(0.2385211688e-3, `*`(Fd(t...
[diff(x(t), t) = v(t), diff(v(t), t) = `+`(`-`(`*`(3647.333890, `*`(x(t)))), `-`(`*`(99.48571587, `*`(v(t)))), `*`(3947.845868, `*`(aux(t))), `*`(3947.845868, `*`(g(t))), `*`(0.2385211688e-3, `*`(Fd(t...
[diff(x(t), t) = v(t), diff(v(t), t) = `+`(`-`(`*`(3647.333890, `*`(x(t)))), `-`(`*`(99.48571587, `*`(v(t)))), `*`(3947.845868, `*`(aux(t))), `*`(3947.845868, `*`(g(t))), `*`(0.2385211688e-3, `*`(Fd(t...
(24)
 

 

Next, the equations are duplicated 12 times for each of the magnet modules: 

`:=`(listVarnames, [x, v, aux, g]); -1 

`:=`(allcoils, [seq(op(subs(map(proc (dummy) options operator, arrow; dummy = dummy || i end proc, listVarnames), contorlODEs)), i = 1 .. 12)]); -1
`:=`(allcoils, [seq(op(subs(map(proc (dummy) options operator, arrow; dummy = dummy || i end proc, listVarnames), contorlODEs)), i = 1 .. 12)]); -1
 

 

Expression for the force generated per module (for n modules) is defined as: 

`:=`(coilForceExpr, F(t) = `/`(`*`(m, `*`(diff(v(t), t))), `*`(n))) 

F(t) = `/`(`*`(m, `*`(diff(v(t), t))), `*`(n)) (25)
 

Parameter values are substituted: 

`:=`(coilForce, subs({n = 12}, params, coilForceExpr)) 

F(t) = `+`(`*`(349.3750000, `*`(diff(v(t), t)))) (26)
 

Creating the force expressions for y and z axes: 

`:=`(YForceExpr, Fy(t) = `*`(F(t), `*`(sin(beta)))) 

Fy(t) = `*`(F(t), `*`(sin(beta))) (27)
 

`:=`(ZForceExpr, Fz(t) = `*`(F(t), `*`(cos(beta)))) 

Fz(t) = `*`(F(t), `*`(cos(beta))) (28)
 

 

Substituting parameter values and generating the force for each individual module: 

`:=`(listVarnames, [F, Fy, Fz, v]); -1 

`:=`(YForce, map(eval, [seq(subs(map(proc (dummy) options operator, arrow; dummy = dummy || i end proc, listVarnames), subs(coilForce, {beta = evalf(convert(35, 'units', 'deg', 'rad'))}, YForceExpr)),...
`:=`(YForce, map(eval, [seq(subs(map(proc (dummy) options operator, arrow; dummy = dummy || i end proc, listVarnames), subs(coilForce, {beta = evalf(convert(35, 'units', 'deg', 'rad'))}, YForceExpr)),...
 

`:=`(ZForce, map(eval, [seq(subs(map(proc (dummy) options operator, arrow; dummy = dummy || i end proc, listVarnames), subs(coilForce, {beta = evalf(convert(35, 'units', 'deg', 'rad'))}, ZForceExpr)),...
`:=`(ZForce, map(eval, [seq(subs(map(proc (dummy) options operator, arrow; dummy = dummy || i end proc, listVarnames), subs(coilForce, {beta = evalf(convert(35, 'units', 'deg', 'rad'))}, ZForceExpr)),...
 

 

Vehicle Dynamics 

Heave 

The vehicle dynamics in the z-direction is then given by summing up all of the Z forces: 

 

`:=`(odeZ, eval(subs(params, ZForce, `*`(m, `*`(diff(z(t), `$`(t, 2)))) = add(x, x = [seq((Fz || i)(t), i = 1 .. 12)])))) 

`+`(`*`(4192.5, `*`(diff(diff(z(t), t), t)))) = `+`(`*`(286.1912455, `*`(diff(v1(t), t))), `*`(286.1912455, `*`(diff(v2(t), t))), `*`(286.1912455, `*`(diff(v3(t), t))), `*`(286.1912455, `*`(diff(v4(t)...
`+`(`*`(4192.5, `*`(diff(diff(z(t), t), t)))) = `+`(`*`(286.1912455, `*`(diff(v1(t), t))), `*`(286.1912455, `*`(diff(v2(t), t))), `*`(286.1912455, `*`(diff(v3(t), t))), `*`(286.1912455, `*`(diff(v4(t)...
`+`(`*`(4192.5, `*`(diff(diff(z(t), t), t)))) = `+`(`*`(286.1912455, `*`(diff(v1(t), t))), `*`(286.1912455, `*`(diff(v2(t), t))), `*`(286.1912455, `*`(diff(v3(t), t))), `*`(286.1912455, `*`(diff(v4(t)...
`+`(`*`(4192.5, `*`(diff(diff(z(t), t), t)))) = `+`(`*`(286.1912455, `*`(diff(v1(t), t))), `*`(286.1912455, `*`(diff(v2(t), t))), `*`(286.1912455, `*`(diff(v3(t), t))), `*`(286.1912455, `*`(diff(v4(t)...
`+`(`*`(4192.5, `*`(diff(diff(z(t), t), t)))) = `+`(`*`(286.1912455, `*`(diff(v1(t), t))), `*`(286.1912455, `*`(diff(v2(t), t))), `*`(286.1912455, `*`(diff(v3(t), t))), `*`(286.1912455, `*`(diff(v4(t)...
(29)
 

 

Sway 

The vehicle dynamics in the y-direction is then given by summing up all of the Y forces: 

 

`:=`(odeY, eval(subs(params, YForce, `*`(m, `*`(diff(y(t), `$`(t, 2)))) = add(x, x = [seq(`*`(`^`(-1, i), `*`((Fy || i)(t))), i = 1 .. 12)]))))
`:=`(odeY, eval(subs(params, YForce, `*`(m, `*`(diff(y(t), `$`(t, 2)))) = add(x, x = [seq(`*`(`^`(-1, i), `*`((Fy || i)(t))), i = 1 .. 12)]))))
 

`+`(`*`(4192.5, `*`(diff(diff(y(t), t), t)))) = `+`(`-`(`*`(200.3932674, `*`(diff(v1(t), t)))), `*`(200.3932674, `*`(diff(v2(t), t))), `-`(`*`(200.3932674, `*`(diff(v3(t), t)))), `*`(200.3932674, `*`(...
`+`(`*`(4192.5, `*`(diff(diff(y(t), t), t)))) = `+`(`-`(`*`(200.3932674, `*`(diff(v1(t), t)))), `*`(200.3932674, `*`(diff(v2(t), t))), `-`(`*`(200.3932674, `*`(diff(v3(t), t)))), `*`(200.3932674, `*`(...
`+`(`*`(4192.5, `*`(diff(diff(y(t), t), t)))) = `+`(`-`(`*`(200.3932674, `*`(diff(v1(t), t)))), `*`(200.3932674, `*`(diff(v2(t), t))), `-`(`*`(200.3932674, `*`(diff(v3(t), t)))), `*`(200.3932674, `*`(...
`+`(`*`(4192.5, `*`(diff(diff(y(t), t), t)))) = `+`(`-`(`*`(200.3932674, `*`(diff(v1(t), t)))), `*`(200.3932674, `*`(diff(v2(t), t))), `-`(`*`(200.3932674, `*`(diff(v3(t), t)))), `*`(200.3932674, `*`(...
`+`(`*`(4192.5, `*`(diff(diff(y(t), t), t)))) = `+`(`-`(`*`(200.3932674, `*`(diff(v1(t), t)))), `*`(200.3932674, `*`(diff(v2(t), t))), `-`(`*`(200.3932674, `*`(diff(v3(t), t)))), `*`(200.3932674, `*`(...
(30)
 

 

Pitch 

The dynamic equation is a function of the level arm distance from the center of gravity for each of the modules. 

 

Collecting the level arm into a list: 

`:=`(LPitch, [-56.7, -56.7, -11.52, -11.52, -5.76, -5.76]); -1; `:=`(LPitch, [op(LPitch), op(map(proc (x) options operator, arrow; `+`(`-`(x)) end proc, LPitch))]); -1
`:=`(LPitch, [-56.7, -56.7, -11.52, -11.52, -5.76, -5.76]); -1; `:=`(LPitch, [op(LPitch), op(map(proc (x) options operator, arrow; `+`(`-`(x)) end proc, LPitch))]); -1
 

 

The equation of motion of the pitching motion, with augmented forces generated by the motion of the modules relative to the rail, is given by:`:=`(odeTheta, evalf(subs({beta = convert(37, 'units', 'deg', 'rad'), I[theta] = 882500}, params, ZForce, `*`(I[theta], `*`(diff(theta(t), `$`(t, 2)))) = `+`(add(x, x = zip(`*`, LPitch, [seq((Fz || i)...
`:=`(odeTheta, evalf(subs({beta = convert(37, 'units', 'deg', 'rad'), I[theta] = 882500}, params, ZForce, `*`(I[theta], `*`(diff(theta(t), `$`(t, 2)))) = `+`(add(x, x = zip(`*`, LPitch, [seq((Fz || i)...
`:=`(odeTheta, evalf(subs({beta = convert(37, 'units', 'deg', 'rad'), I[theta] = 882500}, params, ZForce, `*`(I[theta], `*`(diff(theta(t), `$`(t, 2)))) = `+`(add(x, x = zip(`*`, LPitch, [seq((Fz || i)... 

`+`(`*`(882500., `*`(diff(diff(theta(t), t), t)))) = `+`(`-`(`*`(16227.04362, `*`(diff(v1(t), t)))), `-`(`*`(16227.04362, `*`(diff(v2(t), t)))), `-`(`*`(3296.923148, `*`(diff(v3(t), t)))), `-`(`*`(329...
`+`(`*`(882500., `*`(diff(diff(theta(t), t), t)))) = `+`(`-`(`*`(16227.04362, `*`(diff(v1(t), t)))), `-`(`*`(16227.04362, `*`(diff(v2(t), t)))), `-`(`*`(3296.923148, `*`(diff(v3(t), t)))), `-`(`*`(329...
`+`(`*`(882500., `*`(diff(diff(theta(t), t), t)))) = `+`(`-`(`*`(16227.04362, `*`(diff(v1(t), t)))), `-`(`*`(16227.04362, `*`(diff(v2(t), t)))), `-`(`*`(3296.923148, `*`(diff(v3(t), t)))), `-`(`*`(329...
`+`(`*`(882500., `*`(diff(diff(theta(t), t), t)))) = `+`(`-`(`*`(16227.04362, `*`(diff(v1(t), t)))), `-`(`*`(16227.04362, `*`(diff(v2(t), t)))), `-`(`*`(3296.923148, `*`(diff(v3(t), t)))), `-`(`*`(329...
`+`(`*`(882500., `*`(diff(diff(theta(t), t), t)))) = `+`(`-`(`*`(16227.04362, `*`(diff(v1(t), t)))), `-`(`*`(16227.04362, `*`(diff(v2(t), t)))), `-`(`*`(3296.923148, `*`(diff(v3(t), t)))), `-`(`*`(329...
(31)
 

 

Yaw 

`:=`(LYaw, [56.7, -56.7, 11.52, -11.52, 5.76, -5.76]); -1; `:=`(LYaw, [op(LYaw), seq(op(`+`(`-`(i)), map(proc (x) options operator, arrow; `+`(`-`(x)) end proc, LYaw)), i = 1 .. nops(LYaw))]); -1
`:=`(LYaw, [56.7, -56.7, 11.52, -11.52, 5.76, -5.76]); -1; `:=`(LYaw, [op(LYaw), seq(op(`+`(`-`(i)), map(proc (x) options operator, arrow; `+`(`-`(x)) end proc, LYaw)), i = 1 .. nops(LYaw))]); -1
 

 

`:=`(odePsi, evalf(subs({beta = convert(35, 'units', 'deg', 'rad'), I[psi] = 882500}, params, YForce, `*`(I[psi], `*`(diff(psi(t), `$`(t, 2)))) = `+`(add(x, x = zip(`*`, LYaw, [seq((Fy || i)(t), i = 1...
`:=`(odePsi, evalf(subs({beta = convert(35, 'units', 'deg', 'rad'), I[psi] = 882500}, params, YForce, `*`(I[psi], `*`(diff(psi(t), `$`(t, 2)))) = `+`(add(x, x = zip(`*`, LYaw, [seq((Fy || i)(t), i = 1...
`:=`(odePsi, evalf(subs({beta = convert(35, 'units', 'deg', 'rad'), I[psi] = 882500}, params, YForce, `*`(I[psi], `*`(diff(psi(t), `$`(t, 2)))) = `+`(add(x, x = zip(`*`, LYaw, [seq((Fy || i)(t), i = 1...
 

`+`(`*`(882500., `*`(diff(diff(psi(t), t), t)))) = `+`(`*`(11362.29826, `*`(diff(v1(t), t))), `-`(`*`(11362.29826, `*`(diff(v2(t), t)))), `*`(2308.530440, `*`(diff(v3(t), t))), `-`(`*`(2308.530440, `*...
`+`(`*`(882500., `*`(diff(diff(psi(t), t), t)))) = `+`(`*`(11362.29826, `*`(diff(v1(t), t))), `-`(`*`(11362.29826, `*`(diff(v2(t), t)))), `*`(2308.530440, `*`(diff(v3(t), t))), `-`(`*`(2308.530440, `*...
`+`(`*`(882500., `*`(diff(diff(psi(t), t), t)))) = `+`(`*`(11362.29826, `*`(diff(v1(t), t))), `-`(`*`(11362.29826, `*`(diff(v2(t), t)))), `*`(2308.530440, `*`(diff(v3(t), t))), `-`(`*`(2308.530440, `*...
`+`(`*`(882500., `*`(diff(diff(psi(t), t), t)))) = `+`(`*`(11362.29826, `*`(diff(v1(t), t))), `-`(`*`(11362.29826, `*`(diff(v2(t), t)))), `*`(2308.530440, `*`(diff(v3(t), t))), `-`(`*`(2308.530440, `*...
`+`(`*`(882500., `*`(diff(diff(psi(t), t), t)))) = `+`(`*`(11362.29826, `*`(diff(v1(t), t))), `-`(`*`(11362.29826, `*`(diff(v2(t), t)))), `*`(2308.530440, `*`(diff(v3(t), t))), `-`(`*`(2308.530440, `*...
(32)
 

 

 

The closed-loop system equations defining the behavior of the entire Maglev train in terms of heave, sway, pitch and yaw is obtained by combining the twelve magnet module equations and the four equations of motion defined above: 

`:=`(sysOverall, DynamicSystems[NewSystem]([op(allcoils), odeY, odeZ, odeTheta, odePsi], inputvariable = [Fd(t), seq((g || i)(t), i = 1 .. 12)], outputvariable = [y(t), z(t), theta(t), psi(t)])); 1
`:=`(sysOverall, DynamicSystems[NewSystem]([op(allcoils), odeY, odeZ, odeTheta, odePsi], inputvariable = [Fd(t), seq((g || i)(t), i = 1 .. 12)], outputvariable = [y(t), z(t), theta(t), psi(t)])); 1
 

module () export de, inputcount, outputcount, statecount, sampletime, discrete, systemname, inputvariable, outputvariable, statevariable, systemtype, ModulePrint; end module
module () export de, inputcount, outputcount, statecount, sampletime, discrete, systemname, inputvariable, outputvariable, statevariable, systemtype, ModulePrint; end module
(33)
 

 

3.2 Response Plots 

 

The heave response plots to a vertical gust of wind and a descending guideway slope of 0.1ft/sec are shown in Figures 7 and 8, respectively. From the plots we see that the control system developed for each magnet is able to work together to minimize the heave displacement. 

 

Heave Response 

Response to Vertical Gust of Wind  

 

   Embedded component 

Figure 8A: Input Signal 

    Embedded component 

Figure 8B: Input Signal 

Response to Descending Guideway 

 

  Embedded component 

Figure 9A: Input Signal 

    Embedded component 

Figure 9B: Input Signal 

Results 

 

This worksheet documented the design and development of a controller to guide a EMS Maglev train along a guideway. In section 1, we determined a mathematical model to describe the magnet dynamics of the lifting magnets. In section 2, we developed a PID controller with feedback acceleration to maintain an air gap between the train and the guideway of 2 inches and thus counteract the inherent unstable nature of the lifting magnets (ie. when there is no current in the coils the vehicle will drop under the influence of gravity causing the undercarriage to hit the guideway and when the current in the magnet is very large, the magnet will be attracted to the rail and hit the rail). We showed that the behavior of our controller adhered well to a set control criteria by investigating the system response to disturbance forces and guideway changes. In section 3, we used the magnet model and control system equations to derive the equations of motion for the entire Maglev system. These equations were then used to examine the Maglev train's response to disturbance forces and guideway changes. We were able to show that the control system defined in section 2 was able to control the motion of the train in terms of heave displacement.  

Background 

 

For over thirty years many research institutions around the world have been working to develop Magnetically levitated (Maglev) trains.  The benefits of such a system include: significantly better performance at high speed, enhanced reliability over wheeled vehicles, higher efficiency (and as a consequence, lower cost per passenger per mile), and significantly improved ride quality.   

 

The bulk of the cost of a railed transportation system is in the rails and the right-of-way.  Existing railroads paid for both of these in the 19th century, and are now only paying for maintenance.  Despite this, railroads are not making a lot of money.  Therefore, compared to railroads, Maglev systems must demonstrate their economics despite the costs of the guideway and the right-of-way.  There are three ways this can be done.  First, Maglev systems need to be capable of carrying both passengers and freight on the same guideway.  Second, the system must be capable of carrying a large number of passengers and a large amount of freight at a lower cost than trains, planes and trucks.  Lastly, a Maglev system must be fast enough to compete with other transportation modes.  In other words, people will use Maglev only if they can get to their destinations faster or, in the case of freight, only if they can transport perishable items over long distances in a cost effective way. 

 

There are two competing concepts for Maglev trains.  The first, known as Electrodynamic Suspension (EDS), uses magnetic repulsion to provide lift.  This approach was invented in the 1960's by Powell and Danby (at the time they were physicists at Brookhaven National Laboratory on Long Island). This approach relies on high field superconducting magnets mounted on the vehicle so they are pointed down (and to the sides) traversing a track (or guideway) that is metallic or that has discrete short circuited coils mounted periodically along the direction of travel.  The motion of the vehicle above the guideway causes the magnets to induce a current in the metallic guideway or the guideway coils. The induced current creates a magnetic field that repels the magnet on the vehicle, thereby providing lift.  In contrast, the second Maglev approach, known as Electromagnetic Suspension (EMS), uses an electromagnet mounted below an iron rail to lift the vehicle above the guideway. This second approach requires an active control system to prevent collision between the guideway and the vehicle as a result of the strong attractive forces between the electromagnets mounted below the iron rail and the lifting magnets attached to the train. The active control system maintains an air gap between the guideway and the vehicle by adjusting the magnetic field generated by the lifting magnets.  

 

A cross sectional view of an EMS Maglev train is shown in Figure 10. 

 

                  Image 

Figure 10: (A) Cross sectional view of cabin & (B) Expanded view of magnet support structure 

 

 

The passenger compartment (fig 10A) is separated from the magnet support structure in the undercarriage (fig 10B).  The magnets are canted at an angle of 37? degrees and are attracted to the steel rails mounted on the guideway. The steel rails are laminated and they also have three phase AC propulsion coils mounted along their entire length.  The coils provide a moving magnetic field that interacts with the lifting magnets mounted on the vehicle to propel the vehicle forward.  

 

The lifting magnets are attached to the vehicle at the bottom right and left. Twenty-four lifting magnets are mounted along the bottom of each side of the vehicle, alternating their north and south poles to provide the magnetic filed that interacts with the propulsion coils mounted in the guideway. The magnets are a hybrid of high temperature superconducting (HTS) magnets and conventional (non-superconducting) coils mounted near the tips of the magnets.   

 

The control of the vehicle is achieved by a combination of passive (i.e. through the orientation of the magnets along the vehicle) and active techniques (i.e. with an active control system that in this case uses a combination of acceleration and gap measurements.  

 

The active control system attempts to keep the gap at 2 inches for all of the magnets along the length of the vehicle.  All of the control systems for the individual magnet coils are independent of each other.  This independence allows the pitching (forward and aft rotations) to be controlled by the magnets at the front and rear of the vehicle acting independently to maintain the air gap at 2 inches.  Because the magnets are canted at 37? degrees, the lateral and yaw motions (motions that turn the vehicle left or right relative to the direction of travel) are also controlled automatically when the air gaps are maintained at the nominal 2 inches.  For example, if a wind gust were to shift the vehicle to the right, the gap on the left side would become smaller and on the right side it would become bigger. Each of the magnets would then correct for the motion by returning the magnets back to equilibrium.  

 

Lift (up and down motion) is controlled when the left magnet and right magnet move in unison.  Thus when the rail rises it causes the gaps on both the right and left side of the vehicle to get smaller.  The magnet control systems respond to this change making the necessary corrections to the amount of current flowing in the magnets to return the gap to the desired 4 cm setting. 

 

The control for roll (rotations to the left and right along the direction of travel) is done passively by mounting each of the magnets pairs offset up and down by 2 cm.  This offset acts to provide a magnetic spring that naturally restores the vehicle so it is perpendicular to the guideway whenever a disturbance occurs. 

 

The High Temperature Superconducting Magnet and the Control Coil 

 

The HTS is mounted at the center of the "C" shaped-iron-core magnet, and the control coils (one at each pole face) are as close to the gap as possible (fig 11)

 

As mentioned in the previous section, an air gap between the guideway and the vehicle is maintained by the active controller to prevent the train from colliding into the guideway. As one would expect, having a larger air gap allows for a more flexible control system design. Traditional EMS Maglev trains are only capable of achieving an air gap of 1cm. This is because of the physics involved in designing a magnet with a large field using the smallest current possible is constrained by both heat and size.  With conventional magnets, the heat generated by the current flow in the magnet is proportional to the square of the current.  The proportionality constant is the wire's resistance.  The only way to make this smaller is to make the wire bigger (in diameter) so you rapidly run into the situation where the wire size needed to achieve a large gap is too large. To overcome the limitations associated with conventional electromagnets, HTS magnets are incorporated into the design of the lifting magnets since they have virtually no resistance and thus are not bound by a finite current limit. This in turn enables them to be used to generate extremely large magnetic fields and have large air gaps.  

Image 

 

 

 

Image 

Figure 11: Expanded view of lifting magnets 

 

One of the worries in any superconductor is the phenomenon known as "quenching".  Superconductivity ceases whenever the rate of change of the magnetic field exceeds a certain critical  value.  If the magnetic field were to exceed this critical value, the magnet's resistance would begin to increase from zero which further increases the rate of change of the field thereby further increasing the resistance until the magnet no longer is super-conducting.  This rapid loss of field, or quenching, must not occur during normal operation.  To eliminate rapid changes in the superconductor current, the Maglev magnets are designed with a separate set of control coils.  These are small control coils placed at the pole faces (control bandwidth for the design is on the order of 10 Hz., so these coils see currents that change from 1 to 10 Hz.) which allows the superconductor to be used purely for lifting the vehicle and accommodating slow changes in the required magnetic field (slow being on the order 1 Hz with the superconductor current changes required mostly to accommodate elevation changes along the guideway). 

Legal Notice: The copyright for this application is owned by the author(s). Neither Maplesoft nor the author are responsible for any errors contained within and are not liable for any damages resulting from the use of this material. This application is intended for non-commercial, non-profit use only. Contact the author for permission if you wish to use this application in for-profit activities. 

Image