Application Center - Maplesoft

App Preview:

Orthogonal Functions, Orthogonal Polynomials, and Orthogonal Wavelets series expansions of function

You can switch back to the summary page by clicking here.

Learn about Maple
Download Application


 

Image 

Orthogonal Functions,  Orthogonal Polynomials, and Orthogonal Wavelets series expansions of function 

 

? Sergey Moiseev 2009  

Kodofon 

Russia 

smoiseev@kodofon.vrn.ru,  snmoiseev@yandex.ru 

As you read this worksheet, you should execute the commands in sequence as you come to them. 

Introduction 

The worksheet includes all the best known continuous orthogonal series expansions in the closed form. It demonstrates the use of Maple to evaluate expansion of a function by Fourier, Hartley, Fourier-Bessel, Orthogonal Rational Tangent, Rectangular, Haar Wavelet, Walsh, Slant, Piece-Linear-Quadratic, Associated Legandre, Orthogonal Rational, Generalized sinc, Sinc, Sinc Wavelet, Jacobi,  Chebyshev first kind, Chebyshev second kind, Gegenbauer, Generalized Laguerre, Laguerre, Hermite, and classical polynomials orthogonal series. Also the worksheet demonstrates how to create new orthonormal basis of functions by using the Gram-Schmidt orthogonalization process by the example of  Slant, and Piece-Linear-Quadratic orthonormal functions creating. 

Initialization of expansion procedures 

> restart; 1with(plots); -1
 

Gram-Schmidt orthogonalization for L2 space 

The GramSchmidL2(f, x = a..b) calling sequence computes a list of orthonormal functions on the interval from a to b by using the Gram-Schmidt orthogonalization process. 

f - the list of algebraic expressions representing the initial linear independant set of functions `in`(f[i], `*`(`^`(L(a, b), 2))), i = 1 .. nops(f).
x - the variable name appearing in f[i]. 

a, b - endpoints of interval of the orthogonalization. 

It returns list of nops(f) orthonormal functions (algebraic expressions). 

> `:=`(GramSchmidtL2, proc (f, ab) local a, b, x, phi, s, i, n, s2; `:=`(x, lhs(ab)); `:=`(a, lhs(rhs(ab))); `:=`(b, rhs(rhs(ab))); `:=`(n, nops(f)); `:=`(phi, Vector(n, [`$`(0, n)])); `:=`(s2, int(`*`(...
`:=`(GramSchmidtL2, proc (f, ab) local a, b, x, phi, s, i, n, s2; `:=`(x, lhs(ab)); `:=`(a, lhs(rhs(ab))); `:=`(b, rhs(rhs(ab))); `:=`(n, nops(f)); `:=`(phi, Vector(n, [`$`(0, n)])); `:=`(s2, int(`*`(...
`:=`(GramSchmidtL2, proc (f, ab) local a, b, x, phi, s, i, n, s2; `:=`(x, lhs(ab)); `:=`(a, lhs(rhs(ab))); `:=`(b, rhs(rhs(ab))); `:=`(n, nops(f)); `:=`(phi, Vector(n, [`$`(0, n)])); `:=`(s2, int(`*`(...
`:=`(GramSchmidtL2, proc (f, ab) local a, b, x, phi, s, i, n, s2; `:=`(x, lhs(ab)); `:=`(a, lhs(rhs(ab))); `:=`(b, rhs(rhs(ab))); `:=`(n, nops(f)); `:=`(phi, Vector(n, [`$`(0, n)])); `:=`(s2, int(`*`(...
`:=`(GramSchmidtL2, proc (f, ab) local a, b, x, phi, s, i, n, s2; `:=`(x, lhs(ab)); `:=`(a, lhs(rhs(ab))); `:=`(b, rhs(rhs(ab))); `:=`(n, nops(f)); `:=`(phi, Vector(n, [`$`(0, n)])); `:=`(s2, int(`*`(...
`:=`(GramSchmidtL2, proc (f, ab) local a, b, x, phi, s, i, n, s2; `:=`(x, lhs(ab)); `:=`(a, lhs(rhs(ab))); `:=`(b, rhs(rhs(ab))); `:=`(n, nops(f)); `:=`(phi, Vector(n, [`$`(0, n)])); `:=`(s2, int(`*`(...
`:=`(GramSchmidtL2, proc (f, ab) local a, b, x, phi, s, i, n, s2; `:=`(x, lhs(ab)); `:=`(a, lhs(rhs(ab))); `:=`(b, rhs(rhs(ab))); `:=`(n, nops(f)); `:=`(phi, Vector(n, [`$`(0, n)])); `:=`(s2, int(`*`(...
`:=`(GramSchmidtL2, proc (f, ab) local a, b, x, phi, s, i, n, s2; `:=`(x, lhs(ab)); `:=`(a, lhs(rhs(ab))); `:=`(b, rhs(rhs(ab))); `:=`(n, nops(f)); `:=`(phi, Vector(n, [`$`(0, n)])); `:=`(s2, int(`*`(...
`:=`(GramSchmidtL2, proc (f, ab) local a, b, x, phi, s, i, n, s2; `:=`(x, lhs(ab)); `:=`(a, lhs(rhs(ab))); `:=`(b, rhs(rhs(ab))); `:=`(n, nops(f)); `:=`(phi, Vector(n, [`$`(0, n)])); `:=`(s2, int(`*`(...
`:=`(GramSchmidtL2, proc (f, ab) local a, b, x, phi, s, i, n, s2; `:=`(x, lhs(ab)); `:=`(a, lhs(rhs(ab))); `:=`(b, rhs(rhs(ab))); `:=`(n, nops(f)); `:=`(phi, Vector(n, [`$`(0, n)])); `:=`(s2, int(`*`(...
`:=`(GramSchmidtL2, proc (f, ab) local a, b, x, phi, s, i, n, s2; `:=`(x, lhs(ab)); `:=`(a, lhs(rhs(ab))); `:=`(b, rhs(rhs(ab))); `:=`(n, nops(f)); `:=`(phi, Vector(n, [`$`(0, n)])); `:=`(s2, int(`*`(...
`:=`(GramSchmidtL2, proc (f, ab) local a, b, x, phi, s, i, n, s2; `:=`(x, lhs(ab)); `:=`(a, lhs(rhs(ab))); `:=`(b, rhs(rhs(ab))); `:=`(n, nops(f)); `:=`(phi, Vector(n, [`$`(0, n)])); `:=`(s2, int(`*`(...
`:=`(GramSchmidtL2, proc (f, ab) local a, b, x, phi, s, i, n, s2; `:=`(x, lhs(ab)); `:=`(a, lhs(rhs(ab))); `:=`(b, rhs(rhs(ab))); `:=`(n, nops(f)); `:=`(phi, Vector(n, [`$`(0, n)])); `:=`(s2, int(`*`(...
`:=`(GramSchmidtL2, proc (f, ab) local a, b, x, phi, s, i, n, s2; `:=`(x, lhs(ab)); `:=`(a, lhs(rhs(ab))); `:=`(b, rhs(rhs(ab))); `:=`(n, nops(f)); `:=`(phi, Vector(n, [`$`(0, n)])); `:=`(s2, int(`*`(...
 

Fourier expansion of a function 

The FourierE(f, x = a..b, n) calling sequence computes the Fourier series expansion 

of the expression f with respect to the variable x on the interval from a to b as folows: 

 

f - the algebraic expression representing the function.
x - the variable name appearing in f. 

a, b - endpoints of the interval on which expansion is taken. 

n - the maximal number of expansion terms that correspond to the number of the expansion coefficients 2n+1. 

It returns list of n Fourier expansions of function f(x) for terms of expansion n=1,2,..,n. 

> `:=`(FourierE, proc (f, ab, n) local a, b, i, d, s, L, x; `:=`(L, []); `:=`(x, lhs(ab)); `:=`(a, lhs(rhs(ab))); `:=`(b, rhs(rhs(ab))); `:=`(d, `+`(b, `-`(a))); `:=`(s, evalf(`/`(`*`(Int(f, x = a .. b)...
`:=`(FourierE, proc (f, ab, n) local a, b, i, d, s, L, x; `:=`(L, []); `:=`(x, lhs(ab)); `:=`(a, lhs(rhs(ab))); `:=`(b, rhs(rhs(ab))); `:=`(d, `+`(b, `-`(a))); `:=`(s, evalf(`/`(`*`(Int(f, x = a .. b)...
`:=`(FourierE, proc (f, ab, n) local a, b, i, d, s, L, x; `:=`(L, []); `:=`(x, lhs(ab)); `:=`(a, lhs(rhs(ab))); `:=`(b, rhs(rhs(ab))); `:=`(d, `+`(b, `-`(a))); `:=`(s, evalf(`/`(`*`(Int(f, x = a .. b)...
`:=`(FourierE, proc (f, ab, n) local a, b, i, d, s, L, x; `:=`(L, []); `:=`(x, lhs(ab)); `:=`(a, lhs(rhs(ab))); `:=`(b, rhs(rhs(ab))); `:=`(d, `+`(b, `-`(a))); `:=`(s, evalf(`/`(`*`(Int(f, x = a .. b)...
`:=`(FourierE, proc (f, ab, n) local a, b, i, d, s, L, x; `:=`(L, []); `:=`(x, lhs(ab)); `:=`(a, lhs(rhs(ab))); `:=`(b, rhs(rhs(ab))); `:=`(d, `+`(b, `-`(a))); `:=`(s, evalf(`/`(`*`(Int(f, x = a .. b)...
`:=`(FourierE, proc (f, ab, n) local a, b, i, d, s, L, x; `:=`(L, []); `:=`(x, lhs(ab)); `:=`(a, lhs(rhs(ab))); `:=`(b, rhs(rhs(ab))); `:=`(d, `+`(b, `-`(a))); `:=`(s, evalf(`/`(`*`(Int(f, x = a .. b)...
`:=`(FourierE, proc (f, ab, n) local a, b, i, d, s, L, x; `:=`(L, []); `:=`(x, lhs(ab)); `:=`(a, lhs(rhs(ab))); `:=`(b, rhs(rhs(ab))); `:=`(d, `+`(b, `-`(a))); `:=`(s, evalf(`/`(`*`(Int(f, x = a .. b)...
`:=`(FourierE, proc (f, ab, n) local a, b, i, d, s, L, x; `:=`(L, []); `:=`(x, lhs(ab)); `:=`(a, lhs(rhs(ab))); `:=`(b, rhs(rhs(ab))); `:=`(d, `+`(b, `-`(a))); `:=`(s, evalf(`/`(`*`(Int(f, x = a .. b)...
`:=`(FourierE, proc (f, ab, n) local a, b, i, d, s, L, x; `:=`(L, []); `:=`(x, lhs(ab)); `:=`(a, lhs(rhs(ab))); `:=`(b, rhs(rhs(ab))); `:=`(d, `+`(b, `-`(a))); `:=`(s, evalf(`/`(`*`(Int(f, x = a .. b)...
 

Cas (cosin and sine)  functions 

> `:=`(Cas, proc (j, x) options operator, arrow; `+`(cos(`+`(`*`(2, `*`(Pi, `*`(j, `*`(x)))))), sin(`+`(`*`(2, `*`(Pi, `*`(j, `*`(x))))))) end proc); -1
 

Hartley expansion of a function 

The HartleyE(f, x = a..b, n) calling sequence computes the Hartley series expansion 

of the expression f with respect to the variable x on the interval from a to b as folows: 

 

f - the algebraic expression representing the function.
x - the variable name appearing in f. 

a, b - endpoints of the interval on which expansion is taken. 

n - the maximal number of expansion terms that correspond to the number of the expansion coefficients 2n+1. 

It returns list of n Hartley expansions of function f(x) for terms of expansion n=1,2,..,n. 

> `:=`(HartleyE, proc (f, ab, n) local a, b, i, d, s, L, x; `:=`(L, []); `:=`(x, lhs(ab)); `:=`(a, lhs(rhs(ab))); `:=`(b, rhs(rhs(ab))); `:=`(d, `+`(b, `-`(a))); `:=`(s, 0); for i from 0 to n do `:=`(s,...
`:=`(HartleyE, proc (f, ab, n) local a, b, i, d, s, L, x; `:=`(L, []); `:=`(x, lhs(ab)); `:=`(a, lhs(rhs(ab))); `:=`(b, rhs(rhs(ab))); `:=`(d, `+`(b, `-`(a))); `:=`(s, 0); for i from 0 to n do `:=`(s,...
`:=`(HartleyE, proc (f, ab, n) local a, b, i, d, s, L, x; `:=`(L, []); `:=`(x, lhs(ab)); `:=`(a, lhs(rhs(ab))); `:=`(b, rhs(rhs(ab))); `:=`(d, `+`(b, `-`(a))); `:=`(s, 0); for i from 0 to n do `:=`(s,...
`:=`(HartleyE, proc (f, ab, n) local a, b, i, d, s, L, x; `:=`(L, []); `:=`(x, lhs(ab)); `:=`(a, lhs(rhs(ab))); `:=`(b, rhs(rhs(ab))); `:=`(d, `+`(b, `-`(a))); `:=`(s, 0); for i from 0 to n do `:=`(s,...
`:=`(HartleyE, proc (f, ab, n) local a, b, i, d, s, L, x; `:=`(L, []); `:=`(x, lhs(ab)); `:=`(a, lhs(rhs(ab))); `:=`(b, rhs(rhs(ab))); `:=`(d, `+`(b, `-`(a))); `:=`(s, 0); for i from 0 to n do `:=`(s,...
`:=`(HartleyE, proc (f, ab, n) local a, b, i, d, s, L, x; `:=`(L, []); `:=`(x, lhs(ab)); `:=`(a, lhs(rhs(ab))); `:=`(b, rhs(rhs(ab))); `:=`(d, `+`(b, `-`(a))); `:=`(s, 0); for i from 0 to n do `:=`(s,...
`:=`(HartleyE, proc (f, ab, n) local a, b, i, d, s, L, x; `:=`(L, []); `:=`(x, lhs(ab)); `:=`(a, lhs(rhs(ab))); `:=`(b, rhs(rhs(ab))); `:=`(d, `+`(b, `-`(a))); `:=`(s, 0); for i from 0 to n do `:=`(s,...
`:=`(HartleyE, proc (f, ab, n) local a, b, i, d, s, L, x; `:=`(L, []); `:=`(x, lhs(ab)); `:=`(a, lhs(rhs(ab))); `:=`(b, rhs(rhs(ab))); `:=`(d, `+`(b, `-`(a))); `:=`(s, 0); for i from 0 to n do `:=`(s,...
`:=`(HartleyE, proc (f, ab, n) local a, b, i, d, s, L, x; `:=`(L, []); `:=`(x, lhs(ab)); `:=`(a, lhs(rhs(ab))); `:=`(b, rhs(rhs(ab))); `:=`(d, `+`(b, `-`(a))); `:=`(s, 0); for i from 0 to n do `:=`(s,...
`:=`(HartleyE, proc (f, ab, n) local a, b, i, d, s, L, x; `:=`(L, []); `:=`(x, lhs(ab)); `:=`(a, lhs(rhs(ab))); `:=`(b, rhs(rhs(ab))); `:=`(d, `+`(b, `-`(a))); `:=`(s, 0); for i from 0 to n do `:=`(s,...
`:=`(HartleyE, proc (f, ab, n) local a, b, i, d, s, L, x; `:=`(L, []); `:=`(x, lhs(ab)); `:=`(a, lhs(rhs(ab))); `:=`(b, rhs(rhs(ab))); `:=`(d, `+`(b, `-`(a))); `:=`(s, 0); for i from 0 to n do `:=`(s,...
 

Fourier-Bessel expansion of a function 

The FourierBesselE(f, x = a..b, n, v) calling sequence computes the Fourier-Bessel series expansion of the expression f with respect to the variable x on the interval from a to b 

as folows: 

where mu[i]is increasing positive zeroes of the BesselJ(v,x) function.
f - the algebraic expression representing the function. 

x - the variable name appearing in f. 

a, b - endpoints of the interval on which expansion is taken. 

n - the maximal number of expansion terms that correspond to the number of the expansion coefficients n. 

v>-1/2 - the order of BesselJ function.          

It returns list of n Fourier-Bessel expansions of function f(x) for terms of expansion 

n=1,2,..,n. 

> `:=`(FourierBesselE, proc (f, ab, n, v) local a, b, mu, i, d, s, L, x; `:=`(L, []); `:=`(s, 0); `:=`(x, lhs(ab)); `:=`(a, lhs(rhs(ab))); `:=`(b, rhs(rhs(ab))); `:=`(d, `+`(b, `-`(a))); for i to n do `...
`:=`(FourierBesselE, proc (f, ab, n, v) local a, b, mu, i, d, s, L, x; `:=`(L, []); `:=`(s, 0); `:=`(x, lhs(ab)); `:=`(a, lhs(rhs(ab))); `:=`(b, rhs(rhs(ab))); `:=`(d, `+`(b, `-`(a))); for i to n do `...
`:=`(FourierBesselE, proc (f, ab, n, v) local a, b, mu, i, d, s, L, x; `:=`(L, []); `:=`(s, 0); `:=`(x, lhs(ab)); `:=`(a, lhs(rhs(ab))); `:=`(b, rhs(rhs(ab))); `:=`(d, `+`(b, `-`(a))); for i to n do `...
`:=`(FourierBesselE, proc (f, ab, n, v) local a, b, mu, i, d, s, L, x; `:=`(L, []); `:=`(s, 0); `:=`(x, lhs(ab)); `:=`(a, lhs(rhs(ab))); `:=`(b, rhs(rhs(ab))); `:=`(d, `+`(b, `-`(a))); for i to n do `...
`:=`(FourierBesselE, proc (f, ab, n, v) local a, b, mu, i, d, s, L, x; `:=`(L, []); `:=`(s, 0); `:=`(x, lhs(ab)); `:=`(a, lhs(rhs(ab))); `:=`(b, rhs(rhs(ab))); `:=`(d, `+`(b, `-`(a))); for i to n do `...
`:=`(FourierBesselE, proc (f, ab, n, v) local a, b, mu, i, d, s, L, x; `:=`(L, []); `:=`(s, 0); `:=`(x, lhs(ab)); `:=`(a, lhs(rhs(ab))); `:=`(b, rhs(rhs(ab))); `:=`(d, `+`(b, `-`(a))); for i to n do `...
`:=`(FourierBesselE, proc (f, ab, n, v) local a, b, mu, i, d, s, L, x; `:=`(L, []); `:=`(s, 0); `:=`(x, lhs(ab)); `:=`(a, lhs(rhs(ab))); `:=`(b, rhs(rhs(ab))); `:=`(d, `+`(b, `-`(a))); for i to n do `...
`:=`(FourierBesselE, proc (f, ab, n, v) local a, b, mu, i, d, s, L, x; `:=`(L, []); `:=`(s, 0); `:=`(x, lhs(ab)); `:=`(a, lhs(rhs(ab))); `:=`(b, rhs(rhs(ab))); `:=`(d, `+`(b, `-`(a))); for i to n do `...
`:=`(FourierBesselE, proc (f, ab, n, v) local a, b, mu, i, d, s, L, x; `:=`(L, []); `:=`(s, 0); `:=`(x, lhs(ab)); `:=`(a, lhs(rhs(ab))); `:=`(b, rhs(rhs(ab))); `:=`(d, `+`(b, `-`(a))); for i to n do `...
`:=`(FourierBesselE, proc (f, ab, n, v) local a, b, mu, i, d, s, L, x; `:=`(L, []); `:=`(s, 0); `:=`(x, lhs(ab)); `:=`(a, lhs(rhs(ab))); `:=`(b, rhs(rhs(ab))); `:=`(d, `+`(b, `-`(a))); for i to n do `...
 

Orthogonal Rational Tangent functions 

The Rattan(p, j, x) calling sequence computes the j-th Orthogonal Rational Tangent function. 

p∈ℝ, p≠0 - the form factor. 

j - the function number. 

x - the argument of the function. 

This functions are orthonormal on the interval `+`(`-`(`*`(`/`(1, 2), `*`(Pi)))), `+`(`*`(`/`(1, 2), `*`(Pi))). 

> `:=`(Rattan, proc (p, j, x) options operator, arrow; `/`(`*`(sqrt(`*`(p, `*`(`+`(1, `*`(`^`(tan(x), 2)))))), `*`(`^`(`+`(p, `*`(I, `*`(tan(x)))), j))), `*`(sqrt(Pi), `*`(`^`(`+`(p, `-`(`*`(`+`(I), `*`...
 

Orthogonal Rational Tangent expansion of a function 

The RattanE(f, x=a..b, n, p) calling sequence computes the Orthogonal Rational Tangent series expansion of the expression f with respect to the variable x on the interval from a to b as folows: 

 

f - the algebraic expression representing the function.
x - the variable name appearing in f. 

a, b - endpoints of the interval on which expansion is taken. 

n - the maximal number of expansion terms that correspond to the number of the expansion coefficients 2n. 

p∈ℝ, p≠0 - the form factor. 

It returns list of n Orthogonal Rational Tangent expansions of function f(x) for terms of expansion n=1,2,..,n. 

> `:=`(RattanE, proc (f, ab, n, p) local a, b, i, d, s, L, x; `:=`(L, []); `:=`(s, 0); `:=`(x, lhs(ab)); `:=`(a, lhs(rhs(ab))); `:=`(b, rhs(rhs(ab))); `:=`(d, `+`(b, `-`(a))); `:=`(s, 0); `:=`(L, []); f...
`:=`(RattanE, proc (f, ab, n, p) local a, b, i, d, s, L, x; `:=`(L, []); `:=`(s, 0); `:=`(x, lhs(ab)); `:=`(a, lhs(rhs(ab))); `:=`(b, rhs(rhs(ab))); `:=`(d, `+`(b, `-`(a))); `:=`(s, 0); `:=`(L, []); f...
`:=`(RattanE, proc (f, ab, n, p) local a, b, i, d, s, L, x; `:=`(L, []); `:=`(s, 0); `:=`(x, lhs(ab)); `:=`(a, lhs(rhs(ab))); `:=`(b, rhs(rhs(ab))); `:=`(d, `+`(b, `-`(a))); `:=`(s, 0); `:=`(L, []); f...
`:=`(RattanE, proc (f, ab, n, p) local a, b, i, d, s, L, x; `:=`(L, []); `:=`(s, 0); `:=`(x, lhs(ab)); `:=`(a, lhs(rhs(ab))); `:=`(b, rhs(rhs(ab))); `:=`(d, `+`(b, `-`(a))); `:=`(s, 0); `:=`(L, []); f...
`:=`(RattanE, proc (f, ab, n, p) local a, b, i, d, s, L, x; `:=`(L, []); `:=`(s, 0); `:=`(x, lhs(ab)); `:=`(a, lhs(rhs(ab))); `:=`(b, rhs(rhs(ab))); `:=`(d, `+`(b, `-`(a))); `:=`(s, 0); `:=`(L, []); f...
`:=`(RattanE, proc (f, ab, n, p) local a, b, i, d, s, L, x; `:=`(L, []); `:=`(s, 0); `:=`(x, lhs(ab)); `:=`(a, lhs(rhs(ab))); `:=`(b, rhs(rhs(ab))); `:=`(d, `+`(b, `-`(a))); `:=`(s, 0); `:=`(L, []); f...
`:=`(RattanE, proc (f, ab, n, p) local a, b, i, d, s, L, x; `:=`(L, []); `:=`(s, 0); `:=`(x, lhs(ab)); `:=`(a, lhs(rhs(ab))); `:=`(b, rhs(rhs(ab))); `:=`(d, `+`(b, `-`(a))); `:=`(s, 0); `:=`(L, []); f...
`:=`(RattanE, proc (f, ab, n, p) local a, b, i, d, s, L, x; `:=`(L, []); `:=`(s, 0); `:=`(x, lhs(ab)); `:=`(a, lhs(rhs(ab))); `:=`(b, rhs(rhs(ab))); `:=`(d, `+`(b, `-`(a))); `:=`(s, 0); `:=`(L, []); f...
`:=`(RattanE, proc (f, ab, n, p) local a, b, i, d, s, L, x; `:=`(L, []); `:=`(s, 0); `:=`(x, lhs(ab)); `:=`(a, lhs(rhs(ab))); `:=`(b, rhs(rhs(ab))); `:=`(d, `+`(b, `-`(a))); `:=`(s, 0); `:=`(L, []); f...
`:=`(RattanE, proc (f, ab, n, p) local a, b, i, d, s, L, x; `:=`(L, []); `:=`(s, 0); `:=`(x, lhs(ab)); `:=`(a, lhs(rhs(ab))); `:=`(b, rhs(rhs(ab))); `:=`(d, `+`(b, `-`(a))); `:=`(s, 0); `:=`(L, []); f...
`:=`(RattanE, proc (f, ab, n, p) local a, b, i, d, s, L, x; `:=`(L, []); `:=`(s, 0); `:=`(x, lhs(ab)); `:=`(a, lhs(rhs(ab))); `:=`(b, rhs(rhs(ab))); `:=`(d, `+`(b, `-`(a))); `:=`(s, 0); `:=`(L, []); f...
`:=`(RattanE, proc (f, ab, n, p) local a, b, i, d, s, L, x; `:=`(L, []); `:=`(s, 0); `:=`(x, lhs(ab)); `:=`(a, lhs(rhs(ab))); `:=`(b, rhs(rhs(ab))); `:=`(d, `+`(b, `-`(a))); `:=`(s, 0); `:=`(L, []); f...
`:=`(RattanE, proc (f, ab, n, p) local a, b, i, d, s, L, x; `:=`(L, []); `:=`(s, 0); `:=`(x, lhs(ab)); `:=`(a, lhs(rhs(ab))); `:=`(b, rhs(rhs(ab))); `:=`(d, `+`(b, `-`(a))); `:=`(s, 0); `:=`(L, []); f...
`:=`(RattanE, proc (f, ab, n, p) local a, b, i, d, s, L, x; `:=`(L, []); `:=`(s, 0); `:=`(x, lhs(ab)); `:=`(a, lhs(rhs(ab))); `:=`(b, rhs(rhs(ab))); `:=`(d, `+`(b, `-`(a))); `:=`(s, 0); `:=`(L, []); f...
`:=`(RattanE, proc (f, ab, n, p) local a, b, i, d, s, L, x; `:=`(L, []); `:=`(s, 0); `:=`(x, lhs(ab)); `:=`(a, lhs(rhs(ab))); `:=`(b, rhs(rhs(ab))); `:=`(d, `+`(b, `-`(a))); `:=`(s, 0); `:=`(L, []); f...
`:=`(RattanE, proc (f, ab, n, p) local a, b, i, d, s, L, x; `:=`(L, []); `:=`(s, 0); `:=`(x, lhs(ab)); `:=`(a, lhs(rhs(ab))); `:=`(b, rhs(rhs(ab))); `:=`(d, `+`(b, `-`(a))); `:=`(s, 0); `:=`(L, []); f...
`:=`(RattanE, proc (f, ab, n, p) local a, b, i, d, s, L, x; `:=`(L, []); `:=`(s, 0); `:=`(x, lhs(ab)); `:=`(a, lhs(rhs(ab))); `:=`(b, rhs(rhs(ab))); `:=`(d, `+`(b, `-`(a))); `:=`(s, 0); `:=`(L, []); f...
`:=`(RattanE, proc (f, ab, n, p) local a, b, i, d, s, L, x; `:=`(L, []); `:=`(s, 0); `:=`(x, lhs(ab)); `:=`(a, lhs(rhs(ab))); `:=`(b, rhs(rhs(ab))); `:=`(d, `+`(b, `-`(a))); `:=`(s, 0); `:=`(L, []); f...
 

Associated Legendre functions expansion of a function 

The LegendreE(f, x = a..b, n, m) calling sequence computes the Associated Legendre series expansion of the expression f with respect to the variable x on the interval from a to b as folows: 

 

where d = `*`(`+`(b, `-`(a)), `/`(1, 2)), h[i] = `*`(l[i], `*`(`+`(`*`(2, `*`(i)), 1), `*`(factorial(`+`(i, `-`(m))), `*`(`/`(`+`(`*`(2, `*`(factorial(`+`(i, m)))))))))) 

f - the algebraic expression representing the function.
x - the variable name appearing in f. 

a, b - endpoints of the interval on which expansion is taken. 

n - the maximal number of expansion terms that correspond to the number of the expansion coefficients n. 

parameters (order) of the Associated Legandre function.         

It returns list of n Associated Legandre expansions of function f(x) for terms of expansion 

n=1,2,..,n. 

If m = 0 then the procedure returns Legendre polynomials expansion. 

> `:=`(LegandreE, proc (f, ab, n, m) local a, b, i, d, s, l, h, L, x; `:=`(L, []); `:=`(s, 0); `:=`(d, `+`(`*`(`/`(1, 2), `*`(b)), `-`(`*`(`/`(1, 2), `*`(a))))); `:=`(x, lhs(ab)); `:=`(a, lhs(rhs(ab)));...
`:=`(LegandreE, proc (f, ab, n, m) local a, b, i, d, s, l, h, L, x; `:=`(L, []); `:=`(s, 0); `:=`(d, `+`(`*`(`/`(1, 2), `*`(b)), `-`(`*`(`/`(1, 2), `*`(a))))); `:=`(x, lhs(ab)); `:=`(a, lhs(rhs(ab)));...
`:=`(LegandreE, proc (f, ab, n, m) local a, b, i, d, s, l, h, L, x; `:=`(L, []); `:=`(s, 0); `:=`(d, `+`(`*`(`/`(1, 2), `*`(b)), `-`(`*`(`/`(1, 2), `*`(a))))); `:=`(x, lhs(ab)); `:=`(a, lhs(rhs(ab)));...
`:=`(LegandreE, proc (f, ab, n, m) local a, b, i, d, s, l, h, L, x; `:=`(L, []); `:=`(s, 0); `:=`(d, `+`(`*`(`/`(1, 2), `*`(b)), `-`(`*`(`/`(1, 2), `*`(a))))); `:=`(x, lhs(ab)); `:=`(a, lhs(rhs(ab)));...
`:=`(LegandreE, proc (f, ab, n, m) local a, b, i, d, s, l, h, L, x; `:=`(L, []); `:=`(s, 0); `:=`(d, `+`(`*`(`/`(1, 2), `*`(b)), `-`(`*`(`/`(1, 2), `*`(a))))); `:=`(x, lhs(ab)); `:=`(a, lhs(rhs(ab)));...
`:=`(LegandreE, proc (f, ab, n, m) local a, b, i, d, s, l, h, L, x; `:=`(L, []); `:=`(s, 0); `:=`(d, `+`(`*`(`/`(1, 2), `*`(b)), `-`(`*`(`/`(1, 2), `*`(a))))); `:=`(x, lhs(ab)); `:=`(a, lhs(rhs(ab)));...
`:=`(LegandreE, proc (f, ab, n, m) local a, b, i, d, s, l, h, L, x; `:=`(L, []); `:=`(s, 0); `:=`(d, `+`(`*`(`/`(1, 2), `*`(b)), `-`(`*`(`/`(1, 2), `*`(a))))); `:=`(x, lhs(ab)); `:=`(a, lhs(rhs(ab)));...
`:=`(LegandreE, proc (f, ab, n, m) local a, b, i, d, s, l, h, L, x; `:=`(L, []); `:=`(s, 0); `:=`(d, `+`(`*`(`/`(1, 2), `*`(b)), `-`(`*`(`/`(1, 2), `*`(a))))); `:=`(x, lhs(ab)); `:=`(a, lhs(rhs(ab)));...
`:=`(LegandreE, proc (f, ab, n, m) local a, b, i, d, s, l, h, L, x; `:=`(L, []); `:=`(s, 0); `:=`(d, `+`(`*`(`/`(1, 2), `*`(b)), `-`(`*`(`/`(1, 2), `*`(a))))); `:=`(x, lhs(ab)); `:=`(a, lhs(rhs(ab)));...
`:=`(LegandreE, proc (f, ab, n, m) local a, b, i, d, s, l, h, L, x; `:=`(L, []); `:=`(s, 0); `:=`(d, `+`(`*`(`/`(1, 2), `*`(b)), `-`(`*`(`/`(1, 2), `*`(a))))); `:=`(x, lhs(ab)); `:=`(a, lhs(rhs(ab)));...
`:=`(LegandreE, proc (f, ab, n, m) local a, b, i, d, s, l, h, L, x; `:=`(L, []); `:=`(s, 0); `:=`(d, `+`(`*`(`/`(1, 2), `*`(b)), `-`(`*`(`/`(1, 2), `*`(a))))); `:=`(x, lhs(ab)); `:=`(a, lhs(rhs(ab)));...
`:=`(LegandreE, proc (f, ab, n, m) local a, b, i, d, s, l, h, L, x; `:=`(L, []); `:=`(s, 0); `:=`(d, `+`(`*`(`/`(1, 2), `*`(b)), `-`(`*`(`/`(1, 2), `*`(a))))); `:=`(x, lhs(ab)); `:=`(a, lhs(rhs(ab)));...
 

Jacobi polynomials expansion of a function 

The JacobiE(f, x = a..b, n, alpha, beta) calling sequence computes the Jacobi polynomials series expansion of the expression f with respect to the variable x on the interval from a to b  

as folows: 

 

where  

f - the algebraic expression representing the function.
x - the variable name appearing in f. 

a, b - endpoints of the interval on which expansion is taken. 

n - the maximal number of expansion terms that correspond to the number of the expansion coefficients n. 

parameters of the Jacobi polynomial.          

It returns list of n Jacobi polynomials expansions of function f(x) for terms of expansion 

n=1,2,..,n. 

If alpha then the procedure returns Legendre polynomials expansion. 

If alpha then the procedure returns Chebyshev first kind polynomials expansion. 

If alpha then the procedure returns Chebyshev second kind polynomials expansion. 

If alphathen the procedure returns Gegenbauer polynomials expansion. 

> `:=`(JacobiE, proc (f, ab, n, alpha, beta) local a, b, i, d, s, h, z, L, x; with(orthopoly, P); `:=`(L, []); `:=`(s, 0); `:=`(x, lhs(ab)); `:=`(a, lhs(rhs(ab))); `:=`(b, rhs(rhs(ab))); `:=`(d, `+`(`*`...
`:=`(JacobiE, proc (f, ab, n, alpha, beta) local a, b, i, d, s, h, z, L, x; with(orthopoly, P); `:=`(L, []); `:=`(s, 0); `:=`(x, lhs(ab)); `:=`(a, lhs(rhs(ab))); `:=`(b, rhs(rhs(ab))); `:=`(d, `+`(`*`...
`:=`(JacobiE, proc (f, ab, n, alpha, beta) local a, b, i, d, s, h, z, L, x; with(orthopoly, P); `:=`(L, []); `:=`(s, 0); `:=`(x, lhs(ab)); `:=`(a, lhs(rhs(ab))); `:=`(b, rhs(rhs(ab))); `:=`(d, `+`(`*`...
`:=`(JacobiE, proc (f, ab, n, alpha, beta) local a, b, i, d, s, h, z, L, x; with(orthopoly, P); `:=`(L, []); `:=`(s, 0); `:=`(x, lhs(ab)); `:=`(a, lhs(rhs(ab))); `:=`(b, rhs(rhs(ab))); `:=`(d, `+`(`*`...
`:=`(JacobiE, proc (f, ab, n, alpha, beta) local a, b, i, d, s, h, z, L, x; with(orthopoly, P); `:=`(L, []); `:=`(s, 0); `:=`(x, lhs(ab)); `:=`(a, lhs(rhs(ab))); `:=`(b, rhs(rhs(ab))); `:=`(d, `+`(`*`...
`:=`(JacobiE, proc (f, ab, n, alpha, beta) local a, b, i, d, s, h, z, L, x; with(orthopoly, P); `:=`(L, []); `:=`(s, 0); `:=`(x, lhs(ab)); `:=`(a, lhs(rhs(ab))); `:=`(b, rhs(rhs(ab))); `:=`(d, `+`(`*`...
`:=`(JacobiE, proc (f, ab, n, alpha, beta) local a, b, i, d, s, h, z, L, x; with(orthopoly, P); `:=`(L, []); `:=`(s, 0); `:=`(x, lhs(ab)); `:=`(a, lhs(rhs(ab))); `:=`(b, rhs(rhs(ab))); `:=`(d, `+`(`*`...
`:=`(JacobiE, proc (f, ab, n, alpha, beta) local a, b, i, d, s, h, z, L, x; with(orthopoly, P); `:=`(L, []); `:=`(s, 0); `:=`(x, lhs(ab)); `:=`(a, lhs(rhs(ab))); `:=`(b, rhs(rhs(ab))); `:=`(d, `+`(`*`...
`:=`(JacobiE, proc (f, ab, n, alpha, beta) local a, b, i, d, s, h, z, L, x; with(orthopoly, P); `:=`(L, []); `:=`(s, 0); `:=`(x, lhs(ab)); `:=`(a, lhs(rhs(ab))); `:=`(b, rhs(rhs(ab))); `:=`(d, `+`(`*`...
`:=`(JacobiE, proc (f, ab, n, alpha, beta) local a, b, i, d, s, h, z, L, x; with(orthopoly, P); `:=`(L, []); `:=`(s, 0); `:=`(x, lhs(ab)); `:=`(a, lhs(rhs(ab))); `:=`(b, rhs(rhs(ab))); `:=`(d, `+`(`*`...
`:=`(JacobiE, proc (f, ab, n, alpha, beta) local a, b, i, d, s, h, z, L, x; with(orthopoly, P); `:=`(L, []); `:=`(s, 0); `:=`(x, lhs(ab)); `:=`(a, lhs(rhs(ab))); `:=`(b, rhs(rhs(ab))); `:=`(d, `+`(`*`...
`:=`(JacobiE, proc (f, ab, n, alpha, beta) local a, b, i, d, s, h, z, L, x; with(orthopoly, P); `:=`(L, []); `:=`(s, 0); `:=`(x, lhs(ab)); `:=`(a, lhs(rhs(ab))); `:=`(b, rhs(rhs(ab))); `:=`(d, `+`(`*`...
`:=`(JacobiE, proc (f, ab, n, alpha, beta) local a, b, i, d, s, h, z, L, x; with(orthopoly, P); `:=`(L, []); `:=`(s, 0); `:=`(x, lhs(ab)); `:=`(a, lhs(rhs(ab))); `:=`(b, rhs(rhs(ab))); `:=`(d, `+`(`*`...
 

Jacobi functions expansion of a function 

The JacobiFE(f, x = a..b, n, alpha, beta) calling sequence computes the Jacobi functions series expansion of the expression f with respect to the variable x on the interval from a to b  

as folows: 


 

where  

f - the algebraic expression representing the function.
x - the variable name appearing in f. 

a, b - endpoints of the interval on which expansion is taken. 

n - the maximal number of expansion terms that correspond to the number of the expansion coefficients n. 

parameters of the Jacobi polynomial.          

It returns list of n Jacobi functions expansions of function f(x) for terms of expansion 

n=1,2,..,n. 

If alpha then the procedure returns Legendre polynomials expansion. 

If alpha then the procedure returns Chebyshev first kind functions expansion. 

If alpha then the procedure returns Chebyshev second kind functions expansion. 

If alphathen the procedure returns Gegenbauer functions expansion. 

> `:=`(JacobiFE, proc (f, ab, n, alpha, beta) local a, b, i, d, s, h, z, L, x; with(orthopoly, P); `:=`(L, []); `:=`(s, 0); `:=`(x, lhs(ab)); `:=`(a, lhs(rhs(ab))); `:=`(b, rhs(rhs(ab))); `:=`(d, `+`(`*...
`:=`(JacobiFE, proc (f, ab, n, alpha, beta) local a, b, i, d, s, h, z, L, x; with(orthopoly, P); `:=`(L, []); `:=`(s, 0); `:=`(x, lhs(ab)); `:=`(a, lhs(rhs(ab))); `:=`(b, rhs(rhs(ab))); `:=`(d, `+`(`*...
`:=`(JacobiFE, proc (f, ab, n, alpha, beta) local a, b, i, d, s, h, z, L, x; with(orthopoly, P); `:=`(L, []); `:=`(s, 0); `:=`(x, lhs(ab)); `:=`(a, lhs(rhs(ab))); `:=`(b, rhs(rhs(ab))); `:=`(d, `+`(`*...
`:=`(JacobiFE, proc (f, ab, n, alpha, beta) local a, b, i, d, s, h, z, L, x; with(orthopoly, P); `:=`(L, []); `:=`(s, 0); `:=`(x, lhs(ab)); `:=`(a, lhs(rhs(ab))); `:=`(b, rhs(rhs(ab))); `:=`(d, `+`(`*...
`:=`(JacobiFE, proc (f, ab, n, alpha, beta) local a, b, i, d, s, h, z, L, x; with(orthopoly, P); `:=`(L, []); `:=`(s, 0); `:=`(x, lhs(ab)); `:=`(a, lhs(rhs(ab))); `:=`(b, rhs(rhs(ab))); `:=`(d, `+`(`*...
`:=`(JacobiFE, proc (f, ab, n, alpha, beta) local a, b, i, d, s, h, z, L, x; with(orthopoly, P); `:=`(L, []); `:=`(s, 0); `:=`(x, lhs(ab)); `:=`(a, lhs(rhs(ab))); `:=`(b, rhs(rhs(ab))); `:=`(d, `+`(`*...
`:=`(JacobiFE, proc (f, ab, n, alpha, beta) local a, b, i, d, s, h, z, L, x; with(orthopoly, P); `:=`(L, []); `:=`(s, 0); `:=`(x, lhs(ab)); `:=`(a, lhs(rhs(ab))); `:=`(b, rhs(rhs(ab))); `:=`(d, `+`(`*...
`:=`(JacobiFE, proc (f, ab, n, alpha, beta) local a, b, i, d, s, h, z, L, x; with(orthopoly, P); `:=`(L, []); `:=`(s, 0); `:=`(x, lhs(ab)); `:=`(a, lhs(rhs(ab))); `:=`(b, rhs(rhs(ab))); `:=`(d, `+`(`*...
`:=`(JacobiFE, proc (f, ab, n, alpha, beta) local a, b, i, d, s, h, z, L, x; with(orthopoly, P); `:=`(L, []); `:=`(s, 0); `:=`(x, lhs(ab)); `:=`(a, lhs(rhs(ab))); `:=`(b, rhs(rhs(ab))); `:=`(d, `+`(`*...
`:=`(JacobiFE, proc (f, ab, n, alpha, beta) local a, b, i, d, s, h, z, L, x; with(orthopoly, P); `:=`(L, []); `:=`(s, 0); `:=`(x, lhs(ab)); `:=`(a, lhs(rhs(ab))); `:=`(b, rhs(rhs(ab))); `:=`(d, `+`(`*...
`:=`(JacobiFE, proc (f, ab, n, alpha, beta) local a, b, i, d, s, h, z, L, x; with(orthopoly, P); `:=`(L, []); `:=`(s, 0); `:=`(x, lhs(ab)); `:=`(a, lhs(rhs(ab))); `:=`(b, rhs(rhs(ab))); `:=`(d, `+`(`*...
`:=`(JacobiFE, proc (f, ab, n, alpha, beta) local a, b, i, d, s, h, z, L, x; with(orthopoly, P); `:=`(L, []); `:=`(s, 0); `:=`(x, lhs(ab)); `:=`(a, lhs(rhs(ab))); `:=`(b, rhs(rhs(ab))); `:=`(d, `+`(`*...
`:=`(JacobiFE, proc (f, ab, n, alpha, beta) local a, b, i, d, s, h, z, L, x; with(orthopoly, P); `:=`(L, []); `:=`(s, 0); `:=`(x, lhs(ab)); `:=`(a, lhs(rhs(ab))); `:=`(b, rhs(rhs(ab))); `:=`(d, `+`(`*...
 

Rect function 

> `:=`(Rect, proc (x) options operator, arrow; piecewise(`and`(`<=`(0, x), `<`(x, 1)), 1, 0) end proc); -1
 

Rect expansion of a function 

The RectE(f, x = a..b, n) calling sequence computes the Rect series expansion 

of the expression f with respect to the variable x on the interval from a to b as folows: 

 

f - the algebraic expression representing the function.
x - the variable name appearing in f. 

a, b - endpoints of the interval on which expansion is taken. 

n - the maximal number of expansion terms that correspond to the number of the expansion coefficients n. 

It returns list of n Rect expansions of function f(x) for terms of expansion n=1,2,..,n. 

> `:=`(RectE, proc (f, ab, n) local a, b, i, j, d, s, x, L; `:=`(x, lhs(ab)); `:=`(a, lhs(rhs(ab))); `:=`(b, rhs(rhs(ab))); `:=`(d, `+`(b, `-`(a))); `:=`(L, []); `:=`(s, 0); for i from 0 to `+`(n, `-`(1...
`:=`(RectE, proc (f, ab, n) local a, b, i, j, d, s, x, L; `:=`(x, lhs(ab)); `:=`(a, lhs(rhs(ab))); `:=`(b, rhs(rhs(ab))); `:=`(d, `+`(b, `-`(a))); `:=`(L, []); `:=`(s, 0); for i from 0 to `+`(n, `-`(1...
`:=`(RectE, proc (f, ab, n) local a, b, i, j, d, s, x, L; `:=`(x, lhs(ab)); `:=`(a, lhs(rhs(ab))); `:=`(b, rhs(rhs(ab))); `:=`(d, `+`(b, `-`(a))); `:=`(L, []); `:=`(s, 0); for i from 0 to `+`(n, `-`(1...
`:=`(RectE, proc (f, ab, n) local a, b, i, j, d, s, x, L; `:=`(x, lhs(ab)); `:=`(a, lhs(rhs(ab))); `:=`(b, rhs(rhs(ab))); `:=`(d, `+`(b, `-`(a))); `:=`(L, []); `:=`(s, 0); for i from 0 to `+`(n, `-`(1...
`:=`(RectE, proc (f, ab, n) local a, b, i, j, d, s, x, L; `:=`(x, lhs(ab)); `:=`(a, lhs(rhs(ab))); `:=`(b, rhs(rhs(ab))); `:=`(d, `+`(b, `-`(a))); `:=`(L, []); `:=`(s, 0); for i from 0 to `+`(n, `-`(1...
`:=`(RectE, proc (f, ab, n) local a, b, i, j, d, s, x, L; `:=`(x, lhs(ab)); `:=`(a, lhs(rhs(ab))); `:=`(b, rhs(rhs(ab))); `:=`(d, `+`(b, `-`(a))); `:=`(L, []); `:=`(s, 0); for i from 0 to `+`(n, `-`(1...
`:=`(RectE, proc (f, ab, n) local a, b, i, j, d, s, x, L; `:=`(x, lhs(ab)); `:=`(a, lhs(rhs(ab))); `:=`(b, rhs(rhs(ab))); `:=`(d, `+`(b, `-`(a))); `:=`(L, []); `:=`(s, 0); for i from 0 to `+`(n, `-`(1...
`:=`(RectE, proc (f, ab, n) local a, b, i, j, d, s, x, L; `:=`(x, lhs(ab)); `:=`(a, lhs(rhs(ab))); `:=`(b, rhs(rhs(ab))); `:=`(d, `+`(b, `-`(a))); `:=`(L, []); `:=`(s, 0); for i from 0 to `+`(n, `-`(1...
 

Haar functions  (Haar wavelets) 

The Haar(n, j, x) calling sequence computes the j-th Haar function (wavelet) 

of order n (j = 0 .. `+`(`^`(2, n), `-`(1)), n = 0, 1, 2, () .. ()) on interval [0,1). 

n - the order of the Haar function (scale of the wavelet) n = 0, 1, 2, () .. (). 

j - the Haar function number (shift of the wavelet) (j = 0 .. `+`(`^`(2, n), `-`(1))). 

x - the argument of Haar function. 

This functions are orthonormal on the interval RealRange(0, Open(1)). 

> `:=`(Haar, proc (n, j, x) options operator, arrow; piecewise(`and`(`<=`(`+`(`/`(`*`(2, `*`(j)), `*`(`^`(2, `+`(n, 1))))), x), `<`(x, `/`(`*`(`+`(`*`(2, `*`(j)), 1)), `*`(`^`(2, `+`(n, 1)))))), sqrt(`^...
 

Haar expansion of a function 

The HaarE(f, x = a..b, n) calling sequence computes the Haar series expansion 

of the expression f with respect to the variable x on the interval from a to b as folows: 

 

f - the algebraic expression representing the function.
x - the variable name appearing in f. 

a, b - endpoints of the interval on which expansion is taken. 

n - the maximal number of "expansion terms" that correspond to the number of the expansion coefficients `^`(2, n). 

It returns list of n Haar expansions of function f(x) for "terms of expansion" n=1,2,..,n. 

> `:=`(HaarE, proc (f, ab, n) local a, b, i, j, d, s, x, L; `:=`(x, lhs(ab)); `:=`(a, lhs(rhs(ab))); `:=`(b, rhs(rhs(ab))); `:=`(d, `+`(b, `-`(a))); `:=`(L, []); `:=`(s, evalf(`/`(`*`(int(f, x = a .. b)...
`:=`(HaarE, proc (f, ab, n) local a, b, i, j, d, s, x, L; `:=`(x, lhs(ab)); `:=`(a, lhs(rhs(ab))); `:=`(b, rhs(rhs(ab))); `:=`(d, `+`(b, `-`(a))); `:=`(L, []); `:=`(s, evalf(`/`(`*`(int(f, x = a .. b)...
`:=`(HaarE, proc (f, ab, n) local a, b, i, j, d, s, x, L; `:=`(x, lhs(ab)); `:=`(a, lhs(rhs(ab))); `:=`(b, rhs(rhs(ab))); `:=`(d, `+`(b, `-`(a))); `:=`(L, []); `:=`(s, evalf(`/`(`*`(int(f, x = a .. b)...
`:=`(HaarE, proc (f, ab, n) local a, b, i, j, d, s, x, L; `:=`(x, lhs(ab)); `:=`(a, lhs(rhs(ab))); `:=`(b, rhs(rhs(ab))); `:=`(d, `+`(b, `-`(a))); `:=`(L, []); `:=`(s, evalf(`/`(`*`(int(f, x = a .. b)...
`:=`(HaarE, proc (f, ab, n) local a, b, i, j, d, s, x, L; `:=`(x, lhs(ab)); `:=`(a, lhs(rhs(ab))); `:=`(b, rhs(rhs(ab))); `:=`(d, `+`(b, `-`(a))); `:=`(L, []); `:=`(s, evalf(`/`(`*`(int(f, x = a .. b)...
`:=`(HaarE, proc (f, ab, n) local a, b, i, j, d, s, x, L; `:=`(x, lhs(ab)); `:=`(a, lhs(rhs(ab))); `:=`(b, rhs(rhs(ab))); `:=`(d, `+`(b, `-`(a))); `:=`(L, []); `:=`(s, evalf(`/`(`*`(int(f, x = a .. b)...
`:=`(HaarE, proc (f, ab, n) local a, b, i, j, d, s, x, L; `:=`(x, lhs(ab)); `:=`(a, lhs(rhs(ab))); `:=`(b, rhs(rhs(ab))); `:=`(d, `+`(b, `-`(a))); `:=`(L, []); `:=`(s, evalf(`/`(`*`(int(f, x = a .. b)...
`:=`(HaarE, proc (f, ab, n) local a, b, i, j, d, s, x, L; `:=`(x, lhs(ab)); `:=`(a, lhs(rhs(ab))); `:=`(b, rhs(rhs(ab))); `:=`(d, `+`(b, `-`(a))); `:=`(L, []); `:=`(s, evalf(`/`(`*`(int(f, x = a .. b)...
`:=`(HaarE, proc (f, ab, n) local a, b, i, j, d, s, x, L; `:=`(x, lhs(ab)); `:=`(a, lhs(rhs(ab))); `:=`(b, rhs(rhs(ab))); `:=`(d, `+`(b, `-`(a))); `:=`(L, []); `:=`(s, evalf(`/`(`*`(int(f, x = a .. b)...
`:=`(HaarE, proc (f, ab, n) local a, b, i, j, d, s, x, L; `:=`(x, lhs(ab)); `:=`(a, lhs(rhs(ab))); `:=`(b, rhs(rhs(ab))); `:=`(d, `+`(b, `-`(a))); `:=`(L, []); `:=`(s, evalf(`/`(`*`(int(f, x = a .. b)...
`:=`(HaarE, proc (f, ab, n) local a, b, i, j, d, s, x, L; `:=`(x, lhs(ab)); `:=`(a, lhs(rhs(ab))); `:=`(b, rhs(rhs(ab))); `:=`(d, `+`(b, `-`(a))); `:=`(L, []); `:=`(s, evalf(`/`(`*`(int(f, x = a .. b)...
 

Walsh functions 

The Walsh(n, j, x, opt) calling sequence computes the j-th Walsh function 

of order n (j = 0 .. `+`(`^`(2, n), `-`(1)), n = 0, 1, 2, () .. ()) on interval [0,1). The set of the Walsh functions are arranged in optional opt order. 

n - the order of the Walsh function n = 0, 1, 2, () .. (). 

j - the Walsh function number (j = 0 .. `+`(`^`(2, n), `-`(1))). 

x - the argument of Walsh function.
opt - optional arranged order of the set of Walsh functions. It is used as follows. 

order=Walsh - sequency (or Walsh) order,
order=Paley - dyadic (or Paley) order,
order=Hadamard - natural (or Hadamard) order . 

By default opt  is equal to order=Walsh. 

This functions are orthonormal on the interval RealRange(0, Open(1)). 

> `:=`(Walsh, proc (n, j, x, opt) local u, v, w, i, r; `:=`(u, Bits:-Split(j, bits = n)); `:=`(w, [1]); if `or`(`<`(nargs, 4), opt = (order = Walsh)) then if n = 0 then `:=`(r, [0]) elif n = 1 then `:=`...
`:=`(Walsh, proc (n, j, x, opt) local u, v, w, i, r; `:=`(u, Bits:-Split(j, bits = n)); `:=`(w, [1]); if `or`(`<`(nargs, 4), opt = (order = Walsh)) then if n = 0 then `:=`(r, [0]) elif n = 1 then `:=`...
`:=`(Walsh, proc (n, j, x, opt) local u, v, w, i, r; `:=`(u, Bits:-Split(j, bits = n)); `:=`(w, [1]); if `or`(`<`(nargs, 4), opt = (order = Walsh)) then if n = 0 then `:=`(r, [0]) elif n = 1 then `:=`...
`:=`(Walsh, proc (n, j, x, opt) local u, v, w, i, r; `:=`(u, Bits:-Split(j, bits = n)); `:=`(w, [1]); if `or`(`<`(nargs, 4), opt = (order = Walsh)) then if n = 0 then `:=`(r, [0]) elif n = 1 then `:=`...
`:=`(Walsh, proc (n, j, x, opt) local u, v, w, i, r; `:=`(u, Bits:-Split(j, bits = n)); `:=`(w, [1]); if `or`(`<`(nargs, 4), opt = (order = Walsh)) then if n = 0 then `:=`(r, [0]) elif n = 1 then `:=`...
`:=`(Walsh, proc (n, j, x, opt) local u, v, w, i, r; `:=`(u, Bits:-Split(j, bits = n)); `:=`(w, [1]); if `or`(`<`(nargs, 4), opt = (order = Walsh)) then if n = 0 then `:=`(r, [0]) elif n = 1 then `:=`...
`:=`(Walsh, proc (n, j, x, opt) local u, v, w, i, r; `:=`(u, Bits:-Split(j, bits = n)); `:=`(w, [1]); if `or`(`<`(nargs, 4), opt = (order = Walsh)) then if n = 0 then `:=`(r, [0]) elif n = 1 then `:=`...
`:=`(Walsh, proc (n, j, x, opt) local u, v, w, i, r; `:=`(u, Bits:-Split(j, bits = n)); `:=`(w, [1]); if `or`(`<`(nargs, 4), opt = (order = Walsh)) then if n = 0 then `:=`(r, [0]) elif n = 1 then `:=`...
`:=`(Walsh, proc (n, j, x, opt) local u, v, w, i, r; `:=`(u, Bits:-Split(j, bits = n)); `:=`(w, [1]); if `or`(`<`(nargs, 4), opt = (order = Walsh)) then if n = 0 then `:=`(r, [0]) elif n = 1 then `:=`...
`:=`(Walsh, proc (n, j, x, opt) local u, v, w, i, r; `:=`(u, Bits:-Split(j, bits = n)); `:=`(w, [1]); if `or`(`<`(nargs, 4), opt = (order = Walsh)) then if n = 0 then `:=`(r, [0]) elif n = 1 then `:=`...
`:=`(Walsh, proc (n, j, x, opt) local u, v, w, i, r; `:=`(u, Bits:-Split(j, bits = n)); `:=`(w, [1]); if `or`(`<`(nargs, 4), opt = (order = Walsh)) then if n = 0 then `:=`(r, [0]) elif n = 1 then `:=`...
`:=`(Walsh, proc (n, j, x, opt) local u, v, w, i, r; `:=`(u, Bits:-Split(j, bits = n)); `:=`(w, [1]); if `or`(`<`(nargs, 4), opt = (order = Walsh)) then if n = 0 then `:=`(r, [0]) elif n = 1 then `:=`...
`:=`(Walsh, proc (n, j, x, opt) local u, v, w, i, r; `:=`(u, Bits:-Split(j, bits = n)); `:=`(w, [1]); if `or`(`<`(nargs, 4), opt = (order = Walsh)) then if n = 0 then `:=`(r, [0]) elif n = 1 then `:=`...
`:=`(Walsh, proc (n, j, x, opt) local u, v, w, i, r; `:=`(u, Bits:-Split(j, bits = n)); `:=`(w, [1]); if `or`(`<`(nargs, 4), opt = (order = Walsh)) then if n = 0 then `:=`(r, [0]) elif n = 1 then `:=`...
`:=`(Walsh, proc (n, j, x, opt) local u, v, w, i, r; `:=`(u, Bits:-Split(j, bits = n)); `:=`(w, [1]); if `or`(`<`(nargs, 4), opt = (order = Walsh)) then if n = 0 then `:=`(r, [0]) elif n = 1 then `:=`...
`:=`(Walsh, proc (n, j, x, opt) local u, v, w, i, r; `:=`(u, Bits:-Split(j, bits = n)); `:=`(w, [1]); if `or`(`<`(nargs, 4), opt = (order = Walsh)) then if n = 0 then `:=`(r, [0]) elif n = 1 then `:=`...
`:=`(Walsh, proc (n, j, x, opt) local u, v, w, i, r; `:=`(u, Bits:-Split(j, bits = n)); `:=`(w, [1]); if `or`(`<`(nargs, 4), opt = (order = Walsh)) then if n = 0 then `:=`(r, [0]) elif n = 1 then `:=`...
`:=`(Walsh, proc (n, j, x, opt) local u, v, w, i, r; `:=`(u, Bits:-Split(j, bits = n)); `:=`(w, [1]); if `or`(`<`(nargs, 4), opt = (order = Walsh)) then if n = 0 then `:=`(r, [0]) elif n = 1 then `:=`...
`:=`(Walsh, proc (n, j, x, opt) local u, v, w, i, r; `:=`(u, Bits:-Split(j, bits = n)); `:=`(w, [1]); if `or`(`<`(nargs, 4), opt = (order = Walsh)) then if n = 0 then `:=`(r, [0]) elif n = 1 then `:=`...
`:=`(Walsh, proc (n, j, x, opt) local u, v, w, i, r; `:=`(u, Bits:-Split(j, bits = n)); `:=`(w, [1]); if `or`(`<`(nargs, 4), opt = (order = Walsh)) then if n = 0 then `:=`(r, [0]) elif n = 1 then `:=`...
`:=`(Walsh, proc (n, j, x, opt) local u, v, w, i, r; `:=`(u, Bits:-Split(j, bits = n)); `:=`(w, [1]); if `or`(`<`(nargs, 4), opt = (order = Walsh)) then if n = 0 then `:=`(r, [0]) elif n = 1 then `:=`...
`:=`(Walsh, proc (n, j, x, opt) local u, v, w, i, r; `:=`(u, Bits:-Split(j, bits = n)); `:=`(w, [1]); if `or`(`<`(nargs, 4), opt = (order = Walsh)) then if n = 0 then `:=`(r, [0]) elif n = 1 then `:=`...
`:=`(Walsh, proc (n, j, x, opt) local u, v, w, i, r; `:=`(u, Bits:-Split(j, bits = n)); `:=`(w, [1]); if `or`(`<`(nargs, 4), opt = (order = Walsh)) then if n = 0 then `:=`(r, [0]) elif n = 1 then `:=`...
`:=`(Walsh, proc (n, j, x, opt) local u, v, w, i, r; `:=`(u, Bits:-Split(j, bits = n)); `:=`(w, [1]); if `or`(`<`(nargs, 4), opt = (order = Walsh)) then if n = 0 then `:=`(r, [0]) elif n = 1 then `:=`...
 

Walsh expansion of a function 

The WalshE(f, x = a..b, n) calling sequence computes the Walsh series expansion 

of the expression f with respect to the variable x on the interval from a to b as folows: 

 

f - the algebraic expression representing the function.
x - the variable name appearing in f. 

a, b - endpoints of the interval on which expansion is taken. 

n - the maximal number of "expansion terms" that correspond to the number of the expansion coefficients `^`(2, n). 

It returns list of n Walsh expansions of function f(x) for "terms of expansion" n=1,2,..,n. 

> `:=`(WalshE, proc (f, ab, n) local a, b, j, d, s, x, L; `:=`(x, lhs(ab)); `:=`(a, lhs(rhs(ab))); `:=`(b, rhs(rhs(ab))); `:=`(d, `+`(b, `-`(a))); `:=`(L, []); `:=`(s, 0); for j from 0 to `+`(`^`(2, n),...
`:=`(WalshE, proc (f, ab, n) local a, b, j, d, s, x, L; `:=`(x, lhs(ab)); `:=`(a, lhs(rhs(ab))); `:=`(b, rhs(rhs(ab))); `:=`(d, `+`(b, `-`(a))); `:=`(L, []); `:=`(s, 0); for j from 0 to `+`(`^`(2, n),...
`:=`(WalshE, proc (f, ab, n) local a, b, j, d, s, x, L; `:=`(x, lhs(ab)); `:=`(a, lhs(rhs(ab))); `:=`(b, rhs(rhs(ab))); `:=`(d, `+`(b, `-`(a))); `:=`(L, []); `:=`(s, 0); for j from 0 to `+`(`^`(2, n),...
`:=`(WalshE, proc (f, ab, n) local a, b, j, d, s, x, L; `:=`(x, lhs(ab)); `:=`(a, lhs(rhs(ab))); `:=`(b, rhs(rhs(ab))); `:=`(d, `+`(b, `-`(a))); `:=`(L, []); `:=`(s, 0); for j from 0 to `+`(`^`(2, n),...
`:=`(WalshE, proc (f, ab, n) local a, b, j, d, s, x, L; `:=`(x, lhs(ab)); `:=`(a, lhs(rhs(ab))); `:=`(b, rhs(rhs(ab))); `:=`(d, `+`(b, `-`(a))); `:=`(L, []); `:=`(s, 0); for j from 0 to `+`(`^`(2, n),...
`:=`(WalshE, proc (f, ab, n) local a, b, j, d, s, x, L; `:=`(x, lhs(ab)); `:=`(a, lhs(rhs(ab))); `:=`(b, rhs(rhs(ab))); `:=`(d, `+`(b, `-`(a))); `:=`(L, []); `:=`(s, 0); for j from 0 to `+`(`^`(2, n),...
`:=`(WalshE, proc (f, ab, n) local a, b, j, d, s, x, L; `:=`(x, lhs(ab)); `:=`(a, lhs(rhs(ab))); `:=`(b, rhs(rhs(ab))); `:=`(d, `+`(b, `-`(a))); `:=`(L, []); `:=`(s, 0); for j from 0 to `+`(`^`(2, n),...
`:=`(WalshE, proc (f, ab, n) local a, b, j, d, s, x, L; `:=`(x, lhs(ab)); `:=`(a, lhs(rhs(ab))); `:=`(b, rhs(rhs(ab))); `:=`(d, `+`(b, `-`(a))); `:=`(L, []); `:=`(s, 0); for j from 0 to `+`(`^`(2, n),...
 

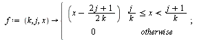
List of Slant functions 

The Slant(n) calling sequence computes the list of n Slant functions. 

This functions are orthonormal on the interval RealRange(0, Open(1)). 

> `:=`(Slant, proc (n) local f; if n = 1 then RETURN([proc (x) options operator, arrow; 1 end proc]) end if; `:=`(f, proc (k, j, x) options operator, arrow; piecewise(`and`(`<=`(`/`(`*`(j), `*`(k)), x),...
`:=`(Slant, proc (n) local f; if n = 1 then RETURN([proc (x) options operator, arrow; 1 end proc]) end if; `:=`(f, proc (k, j, x) options operator, arrow; piecewise(`and`(`<=`(`/`(`*`(j), `*`(k)), x),...
`:=`(Slant, proc (n) local f; if n = 1 then RETURN([proc (x) options operator, arrow; 1 end proc]) end if; `:=`(f, proc (k, j, x) options operator, arrow; piecewise(`and`(`<=`(`/`(`*`(j), `*`(k)), x),...
`:=`(Slant, proc (n) local f; if n = 1 then RETURN([proc (x) options operator, arrow; 1 end proc]) end if; `:=`(f, proc (k, j, x) options operator, arrow; piecewise(`and`(`<=`(`/`(`*`(j), `*`(k)), x),...
`:=`(Slant, proc (n) local f; if n = 1 then RETURN([proc (x) options operator, arrow; 1 end proc]) end if; `:=`(f, proc (k, j, x) options operator, arrow; piecewise(`and`(`<=`(`/`(`*`(j), `*`(k)), x),...
`:=`(Slant, proc (n) local f; if n = 1 then RETURN([proc (x) options operator, arrow; 1 end proc]) end if; `:=`(f, proc (k, j, x) options operator, arrow; piecewise(`and`(`<=`(`/`(`*`(j), `*`(k)), x),...
`:=`(Slant, proc (n) local f; if n = 1 then RETURN([proc (x) options operator, arrow; 1 end proc]) end if; `:=`(f, proc (k, j, x) options operator, arrow; piecewise(`and`(`<=`(`/`(`*`(j), `*`(k)), x),...
`:=`(Slant, proc (n) local f; if n = 1 then RETURN([proc (x) options operator, arrow; 1 end proc]) end if; `:=`(f, proc (k, j, x) options operator, arrow; piecewise(`and`(`<=`(`/`(`*`(j), `*`(k)), x),...
 

Slant expansion of a function 

The SlantE(f, x = a..b, n) calling sequence computes the Slant series expansion of the expression f with respect to the variable x on the interval from a to b as folows: 

 

f - the algebraic expression representing the function.
x - the variable name appearing in f. 

a, b - endpoints of the interval on which expansion is taken. 

n - the maximal number of expansion terms that correspond to the number of the expansion coefficients n. 

It returns list of n Slant expansions of function f(x) for terms of expansion n=1,2,..,n. 

> `:=`(SlantE, proc (f, ab, n) local a, b, j, d, s, x, L, g; `:=`(x, lhs(ab)); `:=`(a, lhs(rhs(ab))); `:=`(b, rhs(rhs(ab))); `:=`(d, `+`(b, `-`(a))); `:=`(L, []); `:=`(s, 0); `:=`(g, Slant(n)); for j to...
`:=`(SlantE, proc (f, ab, n) local a, b, j, d, s, x, L, g; `:=`(x, lhs(ab)); `:=`(a, lhs(rhs(ab))); `:=`(b, rhs(rhs(ab))); `:=`(d, `+`(b, `-`(a))); `:=`(L, []); `:=`(s, 0); `:=`(g, Slant(n)); for j to...
`:=`(SlantE, proc (f, ab, n) local a, b, j, d, s, x, L, g; `:=`(x, lhs(ab)); `:=`(a, lhs(rhs(ab))); `:=`(b, rhs(rhs(ab))); `:=`(d, `+`(b, `-`(a))); `:=`(L, []); `:=`(s, 0); `:=`(g, Slant(n)); for j to...
`:=`(SlantE, proc (f, ab, n) local a, b, j, d, s, x, L, g; `:=`(x, lhs(ab)); `:=`(a, lhs(rhs(ab))); `:=`(b, rhs(rhs(ab))); `:=`(d, `+`(b, `-`(a))); `:=`(L, []); `:=`(s, 0); `:=`(g, Slant(n)); for j to...
`:=`(SlantE, proc (f, ab, n) local a, b, j, d, s, x, L, g; `:=`(x, lhs(ab)); `:=`(a, lhs(rhs(ab))); `:=`(b, rhs(rhs(ab))); `:=`(d, `+`(b, `-`(a))); `:=`(L, []); `:=`(s, 0); `:=`(g, Slant(n)); for j to...
`:=`(SlantE, proc (f, ab, n) local a, b, j, d, s, x, L, g; `:=`(x, lhs(ab)); `:=`(a, lhs(rhs(ab))); `:=`(b, rhs(rhs(ab))); `:=`(d, `+`(b, `-`(a))); `:=`(L, []); `:=`(s, 0); `:=`(g, Slant(n)); for j to...
`:=`(SlantE, proc (f, ab, n) local a, b, j, d, s, x, L, g; `:=`(x, lhs(ab)); `:=`(a, lhs(rhs(ab))); `:=`(b, rhs(rhs(ab))); `:=`(d, `+`(b, `-`(a))); `:=`(L, []); `:=`(s, 0); `:=`(g, Slant(n)); for j to...
`:=`(SlantE, proc (f, ab, n) local a, b, j, d, s, x, L, g; `:=`(x, lhs(ab)); `:=`(a, lhs(rhs(ab))); `:=`(b, rhs(rhs(ab))); `:=`(d, `+`(b, `-`(a))); `:=`(L, []); `:=`(s, 0); `:=`(g, Slant(n)); for j to...
`:=`(SlantE, proc (f, ab, n) local a, b, j, d, s, x, L, g; `:=`(x, lhs(ab)); `:=`(a, lhs(rhs(ab))); `:=`(b, rhs(rhs(ab))); `:=`(d, `+`(b, `-`(a))); `:=`(L, []); `:=`(s, 0); `:=`(g, Slant(n)); for j to...
 

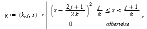
List of Piece-Linear-Quadratic functions 

The PieceLQ(n) calling sequence computes the list of n Piece-Linear-Quadratic functions. 

This functions are orthonormal on the interval RealRange(0, Open(1)). 

> `:=`(PieceLQ, proc (n) local f, g, s; if n = 1 then RETURN([proc (x) options operator, arrow; 1 end proc]) end if; `:=`(f, proc (k, j, x) options operator, arrow; piecewise(`and`(`<=`(`/`(`*`(j), `*`(...
`:=`(PieceLQ, proc (n) local f, g, s; if n = 1 then RETURN([proc (x) options operator, arrow; 1 end proc]) end if; `:=`(f, proc (k, j, x) options operator, arrow; piecewise(`and`(`<=`(`/`(`*`(j), `*`(...
`:=`(PieceLQ, proc (n) local f, g, s; if n = 1 then RETURN([proc (x) options operator, arrow; 1 end proc]) end if; `:=`(f, proc (k, j, x) options operator, arrow; piecewise(`and`(`<=`(`/`(`*`(j), `*`(...
`:=`(PieceLQ, proc (n) local f, g, s; if n = 1 then RETURN([proc (x) options operator, arrow; 1 end proc]) end if; `:=`(f, proc (k, j, x) options operator, arrow; piecewise(`and`(`<=`(`/`(`*`(j), `*`(...
`:=`(PieceLQ, proc (n) local f, g, s; if n = 1 then RETURN([proc (x) options operator, arrow; 1 end proc]) end if; `:=`(f, proc (k, j, x) options operator, arrow; piecewise(`and`(`<=`(`/`(`*`(j), `*`(...
`:=`(PieceLQ, proc (n) local f, g, s; if n = 1 then RETURN([proc (x) options operator, arrow; 1 end proc]) end if; `:=`(f, proc (k, j, x) options operator, arrow; piecewise(`and`(`<=`(`/`(`*`(j), `*`(...
`:=`(PieceLQ, proc (n) local f, g, s; if n = 1 then RETURN([proc (x) options operator, arrow; 1 end proc]) end if; `:=`(f, proc (k, j, x) options operator, arrow; piecewise(`and`(`<=`(`/`(`*`(j), `*`(...
`:=`(PieceLQ, proc (n) local f, g, s; if n = 1 then RETURN([proc (x) options operator, arrow; 1 end proc]) end if; `:=`(f, proc (k, j, x) options operator, arrow; piecewise(`and`(`<=`(`/`(`*`(j), `*`(...
`:=`(PieceLQ, proc (n) local f, g, s; if n = 1 then RETURN([proc (x) options operator, arrow; 1 end proc]) end if; `:=`(f, proc (k, j, x) options operator, arrow; piecewise(`and`(`<=`(`/`(`*`(j), `*`(...
`:=`(PieceLQ, proc (n) local f, g, s; if n = 1 then RETURN([proc (x) options operator, arrow; 1 end proc]) end if; `:=`(f, proc (k, j, x) options operator, arrow; piecewise(`and`(`<=`(`/`(`*`(j), `*`(...
`:=`(PieceLQ, proc (n) local f, g, s; if n = 1 then RETURN([proc (x) options operator, arrow; 1 end proc]) end if; `:=`(f, proc (k, j, x) options operator, arrow; piecewise(`and`(`<=`(`/`(`*`(j), `*`(...
 

Piece-Linear-Quadratic expansion of a function 

The PieceLQE(f, x = a..b, n) calling sequence computes the Piece-Linear-Quadratic series expansion of the expression f with respect to the variable x on the interval from a to b as folows: 

 

f - the algebraic expression representing the function.
x - the variable name appearing in f. 

a, b - endpoints of the interval on which expansion is taken. 

n - the maximal number of expansion terms that correspond to the number of the expansion coefficients n. 

It returns list of n Piece-Linear-Quadratic expansions of function f(x) for terms of expansion n=1,2,..,n. 

> `:=`(PieceLQE, proc (f, ab, n) local a, b, j, d, s, x, L, g; `:=`(x, lhs(ab)); `:=`(a, lhs(rhs(ab))); `:=`(b, rhs(rhs(ab))); `:=`(d, `+`(b, `-`(a))); `:=`(L, []); `:=`(s, 0); `:=`(g, PieceLQ(n)); for ...
`:=`(PieceLQE, proc (f, ab, n) local a, b, j, d, s, x, L, g; `:=`(x, lhs(ab)); `:=`(a, lhs(rhs(ab))); `:=`(b, rhs(rhs(ab))); `:=`(d, `+`(b, `-`(a))); `:=`(L, []); `:=`(s, 0); `:=`(g, PieceLQ(n)); for ...
`:=`(PieceLQE, proc (f, ab, n) local a, b, j, d, s, x, L, g; `:=`(x, lhs(ab)); `:=`(a, lhs(rhs(ab))); `:=`(b, rhs(rhs(ab))); `:=`(d, `+`(b, `-`(a))); `:=`(L, []); `:=`(s, 0); `:=`(g, PieceLQ(n)); for ...
`:=`(PieceLQE, proc (f, ab, n) local a, b, j, d, s, x, L, g; `:=`(x, lhs(ab)); `:=`(a, lhs(rhs(ab))); `:=`(b, rhs(rhs(ab))); `:=`(d, `+`(b, `-`(a))); `:=`(L, []); `:=`(s, 0); `:=`(g, PieceLQ(n)); for ...
`:=`(PieceLQE, proc (f, ab, n) local a, b, j, d, s, x, L, g; `:=`(x, lhs(ab)); `:=`(a, lhs(rhs(ab))); `:=`(b, rhs(rhs(ab))); `:=`(d, `+`(b, `-`(a))); `:=`(L, []); `:=`(s, 0); `:=`(g, PieceLQ(n)); for ...
`:=`(PieceLQE, proc (f, ab, n) local a, b, j, d, s, x, L, g; `:=`(x, lhs(ab)); `:=`(a, lhs(rhs(ab))); `:=`(b, rhs(rhs(ab))); `:=`(d, `+`(b, `-`(a))); `:=`(L, []); `:=`(s, 0); `:=`(g, PieceLQ(n)); for ...
`:=`(PieceLQE, proc (f, ab, n) local a, b, j, d, s, x, L, g; `:=`(x, lhs(ab)); `:=`(a, lhs(rhs(ab))); `:=`(b, rhs(rhs(ab))); `:=`(d, `+`(b, `-`(a))); `:=`(L, []); `:=`(s, 0); `:=`(g, PieceLQ(n)); for ...
`:=`(PieceLQE, proc (f, ab, n) local a, b, j, d, s, x, L, g; `:=`(x, lhs(ab)); `:=`(a, lhs(rhs(ab))); `:=`(b, rhs(rhs(ab))); `:=`(d, `+`(b, `-`(a))); `:=`(L, []); `:=`(s, 0); `:=`(g, PieceLQ(n)); for ...
`:=`(PieceLQE, proc (f, ab, n) local a, b, j, d, s, x, L, g; `:=`(x, lhs(ab)); `:=`(a, lhs(rhs(ab))); `:=`(b, rhs(rhs(ab))); `:=`(d, `+`(b, `-`(a))); `:=`(L, []); `:=`(s, 0); `:=`(g, PieceLQ(n)); for ...
 

Generalized Laguerre polynomials expansion of a function 

The LaguerreE(f, x, a, d, n, alpha) calling sequence computes the Generalized Laguerre polynomials series expansion of the expression f with respect to the variable x on the interval from a to infinityas folows: 

 

f - the algebraic expression representing the function.
x - the variable name appearing in f. 

a - left endpoint of the semi-infinite interval on which expansion is taken. 

d>0 - scale parameter. 

n - the maximal number of expansion terms that correspond to the number of the expansion coefficients n. 

parameter of the Generalized Laguerre polynomial.          

It returns list of Generalized Laguerre polynomials expansions of function f(x) for terms of expansion n=1,2,..,n. 

If alpha then the procedure returns Laguerre polynomials expansion. 

> `:=`(LaguerreE, proc (f, x, a, d, n, alpha) local i, s, LL; with(orthopoly, L); `:=`(s, 0); `:=`(LL, []); for i from 0 to `+`(n, `-`(1)) do `:=`(s, `+`(s, `*`(LaguerreL(i, alpha, `/`(`*`(`+`(x, `-`(a)...
`:=`(LaguerreE, proc (f, x, a, d, n, alpha) local i, s, LL; with(orthopoly, L); `:=`(s, 0); `:=`(LL, []); for i from 0 to `+`(n, `-`(1)) do `:=`(s, `+`(s, `*`(LaguerreL(i, alpha, `/`(`*`(`+`(x, `-`(a)...
`:=`(LaguerreE, proc (f, x, a, d, n, alpha) local i, s, LL; with(orthopoly, L); `:=`(s, 0); `:=`(LL, []); for i from 0 to `+`(n, `-`(1)) do `:=`(s, `+`(s, `*`(LaguerreL(i, alpha, `/`(`*`(`+`(x, `-`(a)...
`:=`(LaguerreE, proc (f, x, a, d, n, alpha) local i, s, LL; with(orthopoly, L); `:=`(s, 0); `:=`(LL, []); for i from 0 to `+`(n, `-`(1)) do `:=`(s, `+`(s, `*`(LaguerreL(i, alpha, `/`(`*`(`+`(x, `-`(a)...
`:=`(LaguerreE, proc (f, x, a, d, n, alpha) local i, s, LL; with(orthopoly, L); `:=`(s, 0); `:=`(LL, []); for i from 0 to `+`(n, `-`(1)) do `:=`(s, `+`(s, `*`(LaguerreL(i, alpha, `/`(`*`(`+`(x, `-`(a)...
`:=`(LaguerreE, proc (f, x, a, d, n, alpha) local i, s, LL; with(orthopoly, L); `:=`(s, 0); `:=`(LL, []); for i from 0 to `+`(n, `-`(1)) do `:=`(s, `+`(s, `*`(LaguerreL(i, alpha, `/`(`*`(`+`(x, `-`(a)...
`:=`(LaguerreE, proc (f, x, a, d, n, alpha) local i, s, LL; with(orthopoly, L); `:=`(s, 0); `:=`(LL, []); for i from 0 to `+`(n, `-`(1)) do `:=`(s, `+`(s, `*`(LaguerreL(i, alpha, `/`(`*`(`+`(x, `-`(a)...
`:=`(LaguerreE, proc (f, x, a, d, n, alpha) local i, s, LL; with(orthopoly, L); `:=`(s, 0); `:=`(LL, []); for i from 0 to `+`(n, `-`(1)) do `:=`(s, `+`(s, `*`(LaguerreL(i, alpha, `/`(`*`(`+`(x, `-`(a)...
 

Generalized Laguerre functions expansion of a function 

The LaguerreFE(f, x, a, d, n, alpha) calling sequence computes the Generalized Laguerre functions series expansion of the expression f with respect to the variable x on the interval from a to infinityas folows: 

 

f - the algebraic expression representing the function.
x - the variable name appearing in f. 

a - left endpoint of the semi-infinite interval on which expansion is taken. 

d>0 - scale parameter. 

n - the maximal number of expansion terms that correspond to the number of the expansion coefficients n. 

parameter of the Generalized Laguerre polynomial.          

It returns list of Generalized Laguerre functions expansions of function f(x) for terms of expansion n=1,2,..,n. 

If alpha then the procedure returns Laguerre functions expansion. 

> `:=`(LaguerreFE, proc (f, x, a, d, n, alpha) local i, s, LL; with(orthopoly, L); `:=`(s, 0); `:=`(LL, []); for i from 0 to `+`(n, `-`(1)) do `:=`(s, `+`(s, `*`(exp(`+`(`/`(`*`(`/`(1, 2), `*`(`+`(a, `-...
`:=`(LaguerreFE, proc (f, x, a, d, n, alpha) local i, s, LL; with(orthopoly, L); `:=`(s, 0); `:=`(LL, []); for i from 0 to `+`(n, `-`(1)) do `:=`(s, `+`(s, `*`(exp(`+`(`/`(`*`(`/`(1, 2), `*`(`+`(a, `-...
`:=`(LaguerreFE, proc (f, x, a, d, n, alpha) local i, s, LL; with(orthopoly, L); `:=`(s, 0); `:=`(LL, []); for i from 0 to `+`(n, `-`(1)) do `:=`(s, `+`(s, `*`(exp(`+`(`/`(`*`(`/`(1, 2), `*`(`+`(a, `-...
`:=`(LaguerreFE, proc (f, x, a, d, n, alpha) local i, s, LL; with(orthopoly, L); `:=`(s, 0); `:=`(LL, []); for i from 0 to `+`(n, `-`(1)) do `:=`(s, `+`(s, `*`(exp(`+`(`/`(`*`(`/`(1, 2), `*`(`+`(a, `-...
`:=`(LaguerreFE, proc (f, x, a, d, n, alpha) local i, s, LL; with(orthopoly, L); `:=`(s, 0); `:=`(LL, []); for i from 0 to `+`(n, `-`(1)) do `:=`(s, `+`(s, `*`(exp(`+`(`/`(`*`(`/`(1, 2), `*`(`+`(a, `-...
`:=`(LaguerreFE, proc (f, x, a, d, n, alpha) local i, s, LL; with(orthopoly, L); `:=`(s, 0); `:=`(LL, []); for i from 0 to `+`(n, `-`(1)) do `:=`(s, `+`(s, `*`(exp(`+`(`/`(`*`(`/`(1, 2), `*`(`+`(a, `-...
`:=`(LaguerreFE, proc (f, x, a, d, n, alpha) local i, s, LL; with(orthopoly, L); `:=`(s, 0); `:=`(LL, []); for i from 0 to `+`(n, `-`(1)) do `:=`(s, `+`(s, `*`(exp(`+`(`/`(`*`(`/`(1, 2), `*`(`+`(a, `-...
`:=`(LaguerreFE, proc (f, x, a, d, n, alpha) local i, s, LL; with(orthopoly, L); `:=`(s, 0); `:=`(LL, []); for i from 0 to `+`(n, `-`(1)) do `:=`(s, `+`(s, `*`(exp(`+`(`/`(`*`(`/`(1, 2), `*`(`+`(a, `-...
`:=`(LaguerreFE, proc (f, x, a, d, n, alpha) local i, s, LL; with(orthopoly, L); `:=`(s, 0); `:=`(LL, []); for i from 0 to `+`(n, `-`(1)) do `:=`(s, `+`(s, `*`(exp(`+`(`/`(`*`(`/`(1, 2), `*`(`+`(a, `-...
 

Hermite polynomials expansion of a function 

The HermiteE(f, x, a, d, n) calling sequence computes the Hermite polynomials series expansion of the expression f with respect to the variable x on the interval from `+`(`-`(infinity)) to infinity as folows: 

 

f - the algebraic expression representing the function.
x - the variable name appearing in f. 

a - shift parameter. 

d>0 - scale parameter. 

n - the maximal number of expansion terms that correspond to the number of the expansion coefficients n.        

It returns list of Hermite polynomials expansions of function f(x) for terms of expansion n=1,2,..,n. 

> `:=`(HermiteE, proc (f, x, a, d, n) local i, s, L; with(orthopoly, H); `:=`(s, 0); `:=`(L, []); for i from 0 to `+`(n, `-`(1)) do `:=`(s, `+`(s, `*`(HermiteH(i, `/`(`*`(`+`(x, `-`(a))), `*`(d))), `*`(...
`:=`(HermiteE, proc (f, x, a, d, n) local i, s, L; with(orthopoly, H); `:=`(s, 0); `:=`(L, []); for i from 0 to `+`(n, `-`(1)) do `:=`(s, `+`(s, `*`(HermiteH(i, `/`(`*`(`+`(x, `-`(a))), `*`(d))), `*`(...
`:=`(HermiteE, proc (f, x, a, d, n) local i, s, L; with(orthopoly, H); `:=`(s, 0); `:=`(L, []); for i from 0 to `+`(n, `-`(1)) do `:=`(s, `+`(s, `*`(HermiteH(i, `/`(`*`(`+`(x, `-`(a))), `*`(d))), `*`(...
`:=`(HermiteE, proc (f, x, a, d, n) local i, s, L; with(orthopoly, H); `:=`(s, 0); `:=`(L, []); for i from 0 to `+`(n, `-`(1)) do `:=`(s, `+`(s, `*`(HermiteH(i, `/`(`*`(`+`(x, `-`(a))), `*`(d))), `*`(...
`:=`(HermiteE, proc (f, x, a, d, n) local i, s, L; with(orthopoly, H); `:=`(s, 0); `:=`(L, []); for i from 0 to `+`(n, `-`(1)) do `:=`(s, `+`(s, `*`(HermiteH(i, `/`(`*`(`+`(x, `-`(a))), `*`(d))), `*`(...
`:=`(HermiteE, proc (f, x, a, d, n) local i, s, L; with(orthopoly, H); `:=`(s, 0); `:=`(L, []); for i from 0 to `+`(n, `-`(1)) do `:=`(s, `+`(s, `*`(HermiteH(i, `/`(`*`(`+`(x, `-`(a))), `*`(d))), `*`(...
`:=`(HermiteE, proc (f, x, a, d, n) local i, s, L; with(orthopoly, H); `:=`(s, 0); `:=`(L, []); for i from 0 to `+`(n, `-`(1)) do `:=`(s, `+`(s, `*`(HermiteH(i, `/`(`*`(`+`(x, `-`(a))), `*`(d))), `*`(...
`:=`(HermiteE, proc (f, x, a, d, n) local i, s, L; with(orthopoly, H); `:=`(s, 0); `:=`(L, []); for i from 0 to `+`(n, `-`(1)) do `:=`(s, `+`(s, `*`(HermiteH(i, `/`(`*`(`+`(x, `-`(a))), `*`(d))), `*`(...
 

Hermite functions expansion of a function 

The HermiteFE(f, x, a, d, n) calling sequence computes the Hermite functions series expansion of the expression f with respect to the variable x on the interval from `+`(`-`(infinity)) to infinity as folows: 

 

f - the algebraic expression representing the function.
x - the variable name appearing in f. 

a - shift parameter. 

d>0 - scale parameter. 

n - the maximal number of expansion terms that correspond to the number of the expansion coefficients n.        

It returns list of Hermite functions expansions of function f(x) for terms of expansion n=1,2,..,n. 

> `:=`(HermiteFE, proc (f, x, a, d, n) local i, s, L; with(orthopoly, H); `:=`(s, 0); `:=`(L, []); for i from 0 to `+`(n, `-`(1)) do `:=`(s, `+`(s, `*`(exp(`+`(`-`(`/`(`*`(`/`(1, 2), `*`(`^`(`+`(x, `-`(...
`:=`(HermiteFE, proc (f, x, a, d, n) local i, s, L; with(orthopoly, H); `:=`(s, 0); `:=`(L, []); for i from 0 to `+`(n, `-`(1)) do `:=`(s, `+`(s, `*`(exp(`+`(`-`(`/`(`*`(`/`(1, 2), `*`(`^`(`+`(x, `-`(...
`:=`(HermiteFE, proc (f, x, a, d, n) local i, s, L; with(orthopoly, H); `:=`(s, 0); `:=`(L, []); for i from 0 to `+`(n, `-`(1)) do `:=`(s, `+`(s, `*`(exp(`+`(`-`(`/`(`*`(`/`(1, 2), `*`(`^`(`+`(x, `-`(...
`:=`(HermiteFE, proc (f, x, a, d, n) local i, s, L; with(orthopoly, H); `:=`(s, 0); `:=`(L, []); for i from 0 to `+`(n, `-`(1)) do `:=`(s, `+`(s, `*`(exp(`+`(`-`(`/`(`*`(`/`(1, 2), `*`(`^`(`+`(x, `-`(...
`:=`(HermiteFE, proc (f, x, a, d, n) local i, s, L; with(orthopoly, H); `:=`(s, 0); `:=`(L, []); for i from 0 to `+`(n, `-`(1)) do `:=`(s, `+`(s, `*`(exp(`+`(`-`(`/`(`*`(`/`(1, 2), `*`(`^`(`+`(x, `-`(...
`:=`(HermiteFE, proc (f, x, a, d, n) local i, s, L; with(orthopoly, H); `:=`(s, 0); `:=`(L, []); for i from 0 to `+`(n, `-`(1)) do `:=`(s, `+`(s, `*`(exp(`+`(`-`(`/`(`*`(`/`(1, 2), `*`(`^`(`+`(x, `-`(...
`:=`(HermiteFE, proc (f, x, a, d, n) local i, s, L; with(orthopoly, H); `:=`(s, 0); `:=`(L, []); for i from 0 to `+`(n, `-`(1)) do `:=`(s, `+`(s, `*`(exp(`+`(`-`(`/`(`*`(`/`(1, 2), `*`(`^`(`+`(x, `-`(...
`:=`(HermiteFE, proc (f, x, a, d, n) local i, s, L; with(orthopoly, H); `:=`(s, 0); `:=`(L, []); for i from 0 to `+`(n, `-`(1)) do `:=`(s, `+`(s, `*`(exp(`+`(`-`(`/`(`*`(`/`(1, 2), `*`(`^`(`+`(x, `-`(...
 

Orthogonal Rational functions 

The Rat(j, x) calling sequence computes the j-th Orthogonal Rational function. 

j - the function number. 

x - the argument of the function. 

This functions are orthonormal on the interval `+`(`-`(infinity)), infinity. 

> `:=`(Rat, proc (j, x) options operator, arrow; `/`(`*`(`^`(`+`(1, `*`(I, `*`(x))), j)), `*`(sqrt(Pi), `*`(`^`(`+`(1, `-`(`*`(`+`(I), `*`(x)))), `+`(j, 1))))) end proc); -1
 

Orthogonal Rational expansion of a function 

The RatE(f, x, a, d, n) calling sequence computes the Orthogonal Rational series expansion of the expression f with respect to the variable x on the interval from `+`(`-`(infinity)) to infinity as folows: 

 

f - the algebraic expression representing the function.
x - the variable name appearing in f. 

a - shift parameter. 

d>0 - scale parameter. 

n - the maximal number of expansion terms that correspond to the number of the expansion coefficients 2n.        

It returns list of Orthogonal Rational expansions of function f(x) for terms of expansion n=1,2,..,n. 

> `:=`(RatE, proc (f, x, a, d, n) local i, s, L; `:=`(s, 0); `:=`(L, []); for i from 0 to `+`(n, `-`(1)) do `:=`(s, `+`(s, Re(`*`(Rat(i, `/`(`*`(`+`(x, `-`(a))), `*`(d))), `*`(evalf(`/`(`*`(int(`*`(f, `...
`:=`(RatE, proc (f, x, a, d, n) local i, s, L; `:=`(s, 0); `:=`(L, []); for i from 0 to `+`(n, `-`(1)) do `:=`(s, `+`(s, Re(`*`(Rat(i, `/`(`*`(`+`(x, `-`(a))), `*`(d))), `*`(evalf(`/`(`*`(int(`*`(f, `...
`:=`(RatE, proc (f, x, a, d, n) local i, s, L; `:=`(s, 0); `:=`(L, []); for i from 0 to `+`(n, `-`(1)) do `:=`(s, `+`(s, Re(`*`(Rat(i, `/`(`*`(`+`(x, `-`(a))), `*`(d))), `*`(evalf(`/`(`*`(int(`*`(f, `...
`:=`(RatE, proc (f, x, a, d, n) local i, s, L; `:=`(s, 0); `:=`(L, []); for i from 0 to `+`(n, `-`(1)) do `:=`(s, `+`(s, Re(`*`(Rat(i, `/`(`*`(`+`(x, `-`(a))), `*`(d))), `*`(evalf(`/`(`*`(int(`*`(f, `...
`:=`(RatE, proc (f, x, a, d, n) local i, s, L; `:=`(s, 0); `:=`(L, []); for i from 0 to `+`(n, `-`(1)) do `:=`(s, `+`(s, Re(`*`(Rat(i, `/`(`*`(`+`(x, `-`(a))), `*`(d))), `*`(evalf(`/`(`*`(int(`*`(f, `...
`:=`(RatE, proc (f, x, a, d, n) local i, s, L; `:=`(s, 0); `:=`(L, []); for i from 0 to `+`(n, `-`(1)) do `:=`(s, `+`(s, Re(`*`(Rat(i, `/`(`*`(`+`(x, `-`(a))), `*`(d))), `*`(evalf(`/`(`*`(int(`*`(f, `...
`:=`(RatE, proc (f, x, a, d, n) local i, s, L; `:=`(s, 0); `:=`(L, []); for i from 0 to `+`(n, `-`(1)) do `:=`(s, `+`(s, Re(`*`(Rat(i, `/`(`*`(`+`(x, `-`(a))), `*`(d))), `*`(evalf(`/`(`*`(int(`*`(f, `...
`:=`(RatE, proc (f, x, a, d, n) local i, s, L; `:=`(s, 0); `:=`(L, []); for i from 0 to `+`(n, `-`(1)) do `:=`(s, `+`(s, Re(`*`(Rat(i, `/`(`*`(`+`(x, `-`(a))), `*`(d))), `*`(evalf(`/`(`*`(int(`*`(f, `...
`:=`(RatE, proc (f, x, a, d, n) local i, s, L; `:=`(s, 0); `:=`(L, []); for i from 0 to `+`(n, `-`(1)) do `:=`(s, `+`(s, Re(`*`(Rat(i, `/`(`*`(`+`(x, `-`(a))), `*`(d))), `*`(evalf(`/`(`*`(int(`*`(f, `...
`:=`(RatE, proc (f, x, a, d, n) local i, s, L; `:=`(s, 0); `:=`(L, []); for i from 0 to `+`(n, `-`(1)) do `:=`(s, `+`(s, Re(`*`(Rat(i, `/`(`*`(`+`(x, `-`(a))), `*`(d))), `*`(evalf(`/`(`*`(int(`*`(f, `...
`:=`(RatE, proc (f, x, a, d, n) local i, s, L; `:=`(s, 0); `:=`(L, []); for i from 0 to `+`(n, `-`(1)) do `:=`(s, `+`(s, Re(`*`(Rat(i, `/`(`*`(`+`(x, `-`(a))), `*`(d))), `*`(evalf(`/`(`*`(int(`*`(f, `...
`:=`(RatE, proc (f, x, a, d, n) local i, s, L; `:=`(s, 0); `:=`(L, []); for i from 0 to `+`(n, `-`(1)) do `:=`(s, `+`(s, Re(`*`(Rat(i, `/`(`*`(`+`(x, `-`(a))), `*`(d))), `*`(evalf(`/`(`*`(int(`*`(f, `...
`:=`(RatE, proc (f, x, a, d, n) local i, s, L; `:=`(s, 0); `:=`(L, []); for i from 0 to `+`(n, `-`(1)) do `:=`(s, `+`(s, Re(`*`(Rat(i, `/`(`*`(`+`(x, `-`(a))), `*`(d))), `*`(evalf(`/`(`*`(int(`*`(f, `...
`:=`(RatE, proc (f, x, a, d, n) local i, s, L; `:=`(s, 0); `:=`(L, []); for i from 0 to `+`(n, `-`(1)) do `:=`(s, `+`(s, Re(`*`(Rat(i, `/`(`*`(`+`(x, `-`(a))), `*`(d))), `*`(evalf(`/`(`*`(int(`*`(f, `...
 

Generalized  sinc functions 

The Gsinc(d, a, m, j, x) calling sequence computes the j-th Generalised sinc function. 

j - the function number. 

a - shift parameter. 

d>0 - scale parameter. 

m∈ℕ - rolloff factor (for m=2 and m=3 the Generalised sinc functions are not orthogonal), 

x - the argument of the function. 

If m=1 then the procedure returns sinc function. 

This functions are orthonormal on the interval `+`(`-`(infinity)), infinity. 

> `:=`(Gsinc, proc (d, a, m, j, x) options operator, arrow; `/`(`*`(sqrt(`/`(`*`(`+`(`*`(4, `*`(m)), 4)), `*`(`+`(`*`(3, `*`(m)), 5)))), `*`(sin(`*`(Pi, `*`(`+`(`/`(`*`(`+`(x, `-`(a))), `*`(d)), `-`(`*`...
`:=`(Gsinc, proc (d, a, m, j, x) options operator, arrow; `/`(`*`(sqrt(`/`(`*`(`+`(`*`(4, `*`(m)), 4)), `*`(`+`(`*`(3, `*`(m)), 5)))), `*`(sin(`*`(Pi, `*`(`+`(`/`(`*`(`+`(x, `-`(a))), `*`(d)), `-`(`*`...
 

Generalized sinc expansion of a function 

The GsincE(f, x, a, d, m, n) calling sequence computes the Generalized sinc series expansion of the expression f with respect to the variable x on the interval from `+`(`-`(infinity))  to infinity as folows: 

 

f - the algebraic expression representing the function.
x - the variable name appearing in f. 

a - shift parameter. 

d>0 - scale parameter. 

m∈rolloff factor (if m=2 or m=3 the expansions is not orthogonal). 

If m=1 then the procedure returns sinc expansion (Whittaker-Shannon-Kotelnikov series expansion). 

n - the maximal number of expansion terms that correspond to the number of the expansion coefficients 2n-1. 

It returns list of n Generalized sinc expansions of function f(x) for terms of expansion n=1,2,..,n. 

> `:=`(GsincE, proc (f, x, a, d, m, n) local i, s, L; `:=`(L, []); `:=`(s, 0); for i from 0 to `+`(n, `-`(1)) do `:=`(s, `+`(s, `*`(eval(f, x = `+`(`*`(`/`(1, 2), `*`(i, `*`(d, `*`(`+`(m, 1))))), a)), `...
`:=`(GsincE, proc (f, x, a, d, m, n) local i, s, L; `:=`(L, []); `:=`(s, 0); for i from 0 to `+`(n, `-`(1)) do `:=`(s, `+`(s, `*`(eval(f, x = `+`(`*`(`/`(1, 2), `*`(i, `*`(d, `*`(`+`(m, 1))))), a)), `...
`:=`(GsincE, proc (f, x, a, d, m, n) local i, s, L; `:=`(L, []); `:=`(s, 0); for i from 0 to `+`(n, `-`(1)) do `:=`(s, `+`(s, `*`(eval(f, x = `+`(`*`(`/`(1, 2), `*`(i, `*`(d, `*`(`+`(m, 1))))), a)), `...
`:=`(GsincE, proc (f, x, a, d, m, n) local i, s, L; `:=`(L, []); `:=`(s, 0); for i from 0 to `+`(n, `-`(1)) do `:=`(s, `+`(s, `*`(eval(f, x = `+`(`*`(`/`(1, 2), `*`(i, `*`(d, `*`(`+`(m, 1))))), a)), `...
`:=`(GsincE, proc (f, x, a, d, m, n) local i, s, L; `:=`(L, []); `:=`(s, 0); for i from 0 to `+`(n, `-`(1)) do `:=`(s, `+`(s, `*`(eval(f, x = `+`(`*`(`/`(1, 2), `*`(i, `*`(d, `*`(`+`(m, 1))))), a)), `...
`:=`(GsincE, proc (f, x, a, d, m, n) local i, s, L; `:=`(L, []); `:=`(s, 0); for i from 0 to `+`(n, `-`(1)) do `:=`(s, `+`(s, `*`(eval(f, x = `+`(`*`(`/`(1, 2), `*`(i, `*`(d, `*`(`+`(m, 1))))), a)), `...
`:=`(GsincE, proc (f, x, a, d, m, n) local i, s, L; `:=`(L, []); `:=`(s, 0); for i from 0 to `+`(n, `-`(1)) do `:=`(s, `+`(s, `*`(eval(f, x = `+`(`*`(`/`(1, 2), `*`(i, `*`(d, `*`(`+`(m, 1))))), a)), `...
`:=`(GsincE, proc (f, x, a, d, m, n) local i, s, L; `:=`(L, []); `:=`(s, 0); for i from 0 to `+`(n, `-`(1)) do `:=`(s, `+`(s, `*`(eval(f, x = `+`(`*`(`/`(1, 2), `*`(i, `*`(d, `*`(`+`(m, 1))))), a)), `...
`:=`(GsincE, proc (f, x, a, d, m, n) local i, s, L; `:=`(L, []); `:=`(s, 0); for i from 0 to `+`(n, `-`(1)) do `:=`(s, `+`(s, `*`(eval(f, x = `+`(`*`(`/`(1, 2), `*`(i, `*`(d, `*`(`+`(m, 1))))), a)), `...
`:=`(GsincE, proc (f, x, a, d, m, n) local i, s, L; `:=`(L, []); `:=`(s, 0); for i from 0 to `+`(n, `-`(1)) do `:=`(s, `+`(s, `*`(eval(f, x = `+`(`*`(`/`(1, 2), `*`(i, `*`(d, `*`(`+`(m, 1))))), a)), `...
 

Sinc Wavelets (Shannon wavelets) 

The Sincwave(n, j, x) calling sequence computes the j-th Sinc Wavelet  

of order (scale) n on interval (`+`(`-`(infinity)) .. infinity). 

n - the order of the Sinc Wavelet (scale of the wavelet) 

j - the Sinc Wavelet number (shift of the wavelet). 

x - the argument of Sinc Wavelet. 

This functions are orthonormal on the interval `+`(`-`(infinity)), infinity. 

> `:=`(Sincwave, proc (n, j, x) options operator, arrow; `/`(`*`(`+`(sin(`+`(`*`(2, `*`(Pi, `*`(`+`(`*`(`^`(2, n), `*`(x)), `-`(j))))))), `-`(sin(`*`(Pi, `*`(`+`(`*`(`^`(2, n), `*`(x)), `-`(j)))))))), `...
 

Sinc Wavelets expansion of a function 

The SincwaveE(f, x , a, d, n) calling sequence computes the Sinc Wavelet series expansion 

of the expression f with respect to the variable x on the interval from `+`(`-`(infinity)) to infinity as folows: 

 

f - the algebraic expression representing the function.
x - the variable name appearing in f. 

a - initial shift parameter. 

d>0 - initial scale parameter. 

n - the maximal number of "expansion terms" that correspond to the number of the expansion coefficients `+`(`^`(2, `+`(n, 2)), `-`(`*`(2, `*`(n))), `-`(5)). 

It returns list of n Sinc Wavelet expansions of function f(x) for "terms of expansion" n=1,2,..,n. 

> `:=`(SincwaveE, proc (f, x, a, d, n) local i, j, s, L; `:=`(L, []); `:=`(s, 0); for i from 0 to `+`(n, `-`(1)) do for j from `+`(1, `-`(`^`(2, i))) to `+`(`^`(2, i), `-`(1)) do `:=`(s, `+`(s, `*`(eval...
`:=`(SincwaveE, proc (f, x, a, d, n) local i, j, s, L; `:=`(L, []); `:=`(s, 0); for i from 0 to `+`(n, `-`(1)) do for j from `+`(1, `-`(`^`(2, i))) to `+`(`^`(2, i), `-`(1)) do `:=`(s, `+`(s, `*`(eval...
`:=`(SincwaveE, proc (f, x, a, d, n) local i, j, s, L; `:=`(L, []); `:=`(s, 0); for i from 0 to `+`(n, `-`(1)) do for j from `+`(1, `-`(`^`(2, i))) to `+`(`^`(2, i), `-`(1)) do `:=`(s, `+`(s, `*`(eval...
`:=`(SincwaveE, proc (f, x, a, d, n) local i, j, s, L; `:=`(L, []); `:=`(s, 0); for i from 0 to `+`(n, `-`(1)) do for j from `+`(1, `-`(`^`(2, i))) to `+`(`^`(2, i), `-`(1)) do `:=`(s, `+`(s, `*`(eval...
`:=`(SincwaveE, proc (f, x, a, d, n) local i, j, s, L; `:=`(L, []); `:=`(s, 0); for i from 0 to `+`(n, `-`(1)) do for j from `+`(1, `-`(`^`(2, i))) to `+`(`^`(2, i), `-`(1)) do `:=`(s, `+`(s, `*`(eval...
`:=`(SincwaveE, proc (f, x, a, d, n) local i, j, s, L; `:=`(L, []); `:=`(s, 0); for i from 0 to `+`(n, `-`(1)) do for j from `+`(1, `-`(`^`(2, i))) to `+`(`^`(2, i), `-`(1)) do `:=`(s, `+`(s, `*`(eval...
`:=`(SincwaveE, proc (f, x, a, d, n) local i, j, s, L; `:=`(L, []); `:=`(s, 0); for i from 0 to `+`(n, `-`(1)) do for j from `+`(1, `-`(`^`(2, i))) to `+`(`^`(2, i), `-`(1)) do `:=`(s, `+`(s, `*`(eval...
`:=`(SincwaveE, proc (f, x, a, d, n) local i, j, s, L; `:=`(L, []); `:=`(s, 0); for i from 0 to `+`(n, `-`(1)) do for j from `+`(1, `-`(`^`(2, i))) to `+`(`^`(2, i), `-`(1)) do `:=`(s, `+`(s, `*`(eval...
`:=`(SincwaveE, proc (f, x, a, d, n) local i, j, s, L; `:=`(L, []); `:=`(s, 0); for i from 0 to `+`(n, `-`(1)) do for j from `+`(1, `-`(`^`(2, i))) to `+`(`^`(2, i), `-`(1)) do `:=`(s, `+`(s, `*`(eval...
`:=`(SincwaveE, proc (f, x, a, d, n) local i, j, s, L; `:=`(L, []); `:=`(s, 0); for i from 0 to `+`(n, `-`(1)) do for j from `+`(1, `-`(`^`(2, i))) to `+`(`^`(2, i), `-`(1)) do `:=`(s, `+`(s, `*`(eval...
`:=`(SincwaveE, proc (f, x, a, d, n) local i, j, s, L; `:=`(L, []); `:=`(s, 0); for i from 0 to `+`(n, `-`(1)) do for j from `+`(1, `-`(`^`(2, i))) to `+`(`^`(2, i), `-`(1)) do `:=`(s, `+`(s, `*`(eval...
`:=`(SincwaveE, proc (f, x, a, d, n) local i, j, s, L; `:=`(L, []); `:=`(s, 0); for i from 0 to `+`(n, `-`(1)) do for j from `+`(1, `-`(`^`(2, i))) to `+`(`^`(2, i), `-`(1)) do `:=`(s, `+`(s, `*`(eval...
`:=`(SincwaveE, proc (f, x, a, d, n) local i, j, s, L; `:=`(L, []); `:=`(s, 0); for i from 0 to `+`(n, `-`(1)) do for j from `+`(1, `-`(`^`(2, i))) to `+`(`^`(2, i), `-`(1)) do `:=`(s, `+`(s, `*`(eval...
`:=`(SincwaveE, proc (f, x, a, d, n) local i, j, s, L; `:=`(L, []); `:=`(s, 0); for i from 0 to `+`(n, `-`(1)) do for j from `+`(1, `-`(`^`(2, i))) to `+`(`^`(2, i), `-`(1)) do `:=`(s, `+`(s, `*`(eval...
`:=`(SincwaveE, proc (f, x, a, d, n) local i, j, s, L; `:=`(L, []); `:=`(s, 0); for i from 0 to `+`(n, `-`(1)) do for j from `+`(1, `-`(`^`(2, i))) to `+`(`^`(2, i), `-`(1)) do `:=`(s, `+`(s, `*`(eval...
`:=`(SincwaveE, proc (f, x, a, d, n) local i, j, s, L; `:=`(L, []); `:=`(s, 0); for i from 0 to `+`(n, `-`(1)) do for j from `+`(1, `-`(`^`(2, i))) to `+`(`^`(2, i), `-`(1)) do `:=`(s, `+`(s, `*`(eval...
 

>
 

Selection of function and interval of expansion 

                                 Functions for expansion: 

> `:=`(f1, proc (x) options operator, arrow; piecewise(`<`(x, -1), 0, `<`(1, x), 0, `and`(`<=`(-1, x), `<=`(x, 1)), 1) end proc); -1; `:=`(f2, proc (x) options operator, arrow; piecewise(`<`(x, -1), 0, ...
`:=`(f1, proc (x) options operator, arrow; piecewise(`<`(x, -1), 0, `<`(1, x), 0, `and`(`<=`(-1, x), `<=`(x, 1)), 1) end proc); -1; `:=`(f2, proc (x) options operator, arrow; piecewise(`<`(x, -1), 0, ...
`:=`(f1, proc (x) options operator, arrow; piecewise(`<`(x, -1), 0, `<`(1, x), 0, `and`(`<=`(-1, x), `<=`(x, 1)), 1) end proc); -1; `:=`(f2, proc (x) options operator, arrow; piecewise(`<`(x, -1), 0, ...
 

                                

Enter maximal number of expansion terms:  n[max]=Embedded component 

Enter interval for expansion from a to b:            a=Embedded component b=Embedded component 

 

Select function for expansion: 

rectangular function     Triangular function        Skewness triangular function 

 Embedded component      Embedded component      Embedded component   

 

                                         Reading of the selected parameters 

> `:=`(nmax, DocumentTools:-Do(%TextArea0)); -1; `:=`(a, DocumentTools:-Do(%TextArea1)); -1; `:=`(b, DocumentTools:-Do(%TextArea2)); -1; if DocumentTools:-Do(%RadioButton1) then `:=`(f, f1) elif Documen...
`:=`(nmax, DocumentTools:-Do(%TextArea0)); -1; `:=`(a, DocumentTools:-Do(%TextArea1)); -1; `:=`(b, DocumentTools:-Do(%TextArea2)); -1; if DocumentTools:-Do(%RadioButton1) then `:=`(f, f1) elif Documen...
`:=`(nmax, DocumentTools:-Do(%TextArea0)); -1; `:=`(a, DocumentTools:-Do(%TextArea1)); -1; `:=`(b, DocumentTools:-Do(%TextArea2)); -1; if DocumentTools:-Do(%RadioButton1) then `:=`(f, f1) elif Documen...
`:=`(nmax, DocumentTools:-Do(%TextArea0)); -1; `:=`(a, DocumentTools:-Do(%TextArea1)); -1; `:=`(b, DocumentTools:-Do(%TextArea2)); -1; if DocumentTools:-Do(%RadioButton1) then `:=`(f, f1) elif Documen...
`:=`(nmax, DocumentTools:-Do(%TextArea0)); -1; `:=`(a, DocumentTools:-Do(%TextArea1)); -1; `:=`(b, DocumentTools:-Do(%TextArea2)); -1; if DocumentTools:-Do(%RadioButton1) then `:=`(f, f1) elif Documen...
`:=`(nmax, DocumentTools:-Do(%TextArea0)); -1; `:=`(a, DocumentTools:-Do(%TextArea1)); -1; `:=`(b, DocumentTools:-Do(%TextArea2)); -1; if DocumentTools:-Do(%RadioButton1) then `:=`(f, f1) elif Documen...
`:=`(nmax, DocumentTools:-Do(%TextArea0)); -1; `:=`(a, DocumentTools:-Do(%TextArea1)); -1; `:=`(b, DocumentTools:-Do(%TextArea2)); -1; if DocumentTools:-Do(%RadioButton1) then `:=`(f, f1) elif Documen...
 

>
 

Fourier expansion 

                                      List of the expansions evaluation 

> `:=`(Elist, FourierE(f(x), x = a .. b, nmax)); -1
 

                                      Animation of expansions 

> `:=`(pf, animate(plot, [f(x), x = a .. b], n = [`$`(1 .. nmax)], frames = nmax)); -1; `:=`(pe, display(seq(plot(Elist[n], color = blue, numpoints = 500), n = [`$`(1 .. nmax)]), insequence = true)); -1...
`:=`(pf, animate(plot, [f(x), x = a .. b], n = [`$`(1 .. nmax)], frames = nmax)); -1; `:=`(pe, display(seq(plot(Elist[n], color = blue, numpoints = 500), n = [`$`(1 .. nmax)]), insequence = true)); -1...
`:=`(pf, animate(plot, [f(x), x = a .. b], n = [`$`(1 .. nmax)], frames = nmax)); -1; `:=`(pe, display(seq(plot(Elist[n], color = blue, numpoints = 500), n = [`$`(1 .. nmax)]), insequence = true)); -1...
 

Hartley expansion 

                                    List of the expansions evaluation 

> `:=`(Elist, HartleyE(f(x), x = a .. b, nmax)); -1
 

                                      Animation of expansions 

> `:=`(pf, animate(plot, [f(x), x = a .. b], n = [`$`(1 .. nmax)], frames = nmax)); -1; `:=`(pe, display(seq(plot(Elist[n], color = blue, numpoints = 500), n = [`$`(1 .. nmax)]), insequence = true)); -1...
`:=`(pf, animate(plot, [f(x), x = a .. b], n = [`$`(1 .. nmax)], frames = nmax)); -1; `:=`(pe, display(seq(plot(Elist[n], color = blue, numpoints = 500), n = [`$`(1 .. nmax)]), insequence = true)); -1...
`:=`(pf, animate(plot, [f(x), x = a .. b], n = [`$`(1 .. nmax)], frames = nmax)); -1; `:=`(pe, display(seq(plot(Elist[n], color = blue, numpoints = 500), n = [`$`(1 .. nmax)]), insequence = true)); -1...
 

Fourier-Bessel expansion 

Enter the order of Bessel function `>`(v, -`/`(1, 2)):  v=Embedded component 

> `:=`(v, DocumentTools:-Do(%TextArea3)); -1
 

                                      List of the expansions evaluation 

> `:=`(Elist, FourierBesselE(f(x), x = a .. b, nmax, v)); -1
 

                                      Animation of expansions 

> `:=`(pf, animate(plot, [f(x), x = a .. b], n = [`$`(1 .. nmax)], frames = nmax)); -1; `:=`(pe, display(seq(plot(Elist[n], color = blue), n = [`$`(1 .. nmax)]), insequence = true)); -1; display(pf, pe)...
`:=`(pf, animate(plot, [f(x), x = a .. b], n = [`$`(1 .. nmax)], frames = nmax)); -1; `:=`(pe, display(seq(plot(Elist[n], color = blue), n = [`$`(1 .. nmax)]), insequence = true)); -1; display(pf, pe)...
`:=`(pf, animate(plot, [f(x), x = a .. b], n = [`$`(1 .. nmax)], frames = nmax)); -1; `:=`(pe, display(seq(plot(Elist[n], color = blue), n = [`$`(1 .. nmax)]), insequence = true)); -1; display(pf, pe)...
 

Orthogonal Rational Tangent expansion 

Enter the form factor `<>`(p, 0):  p=Embedded component 

> `:=`(p, DocumentTools:-Do(%TextArea24)); -1
 

                                      List of the expansions evaluation 

> `:=`(Elist, RattanE(f(x), x = a .. b, nmax, p)); -1
 

                                      Animation of expansions 

> `:=`(pf, animate(plot, [f(x), x = a .. b], n = [`$`(1 .. nmax)], frames = nmax)); -1; `:=`(pe, display(seq(plot(Elist[n], color = blue, numpoints = 500), n = [`$`(1 .. nmax)]), insequence = true)); -1...
`:=`(pf, animate(plot, [f(x), x = a .. b], n = [`$`(1 .. nmax)], frames = nmax)); -1; `:=`(pe, display(seq(plot(Elist[n], color = blue, numpoints = 500), n = [`$`(1 .. nmax)]), insequence = true)); -1...
`:=`(pf, animate(plot, [f(x), x = a .. b], n = [`$`(1 .. nmax)], frames = nmax)); -1; `:=`(pe, display(seq(plot(Elist[n], color = blue, numpoints = 500), n = [`$`(1 .. nmax)]), insequence = true)); -1...
 

Associated Legandre expansion 

Enter the order of Associated Legandre function (m):  m=Embedded component 

 

If m then the procedure returns Legendre polynomials expansion. 

> `:=`(m, DocumentTools:-Do(%TextArea19)); -1
 

                                      List of the expansions evaluation 

> `:=`(_EnvLegendreCut, 1 .. infinity); 1; `:=`(Elist, LegandreE(f(x), x = a .. b, nmax, m)); -1
 

1 .. infinity (8.1)
 

                                      Animation of expansions 

> `:=`(pf, animate(plot, [f(x), x = a .. b], n = [`$`(1 .. nmax)], frames = nmax)); -1; `:=`(pe, display(seq(plot(Elist[n], color = blue, numpoints = 500), n = [`$`(1 .. nmax)]), insequence = true)); -1...
`:=`(pf, animate(plot, [f(x), x = a .. b], n = [`$`(1 .. nmax)], frames = nmax)); -1; `:=`(pe, display(seq(plot(Elist[n], color = blue, numpoints = 500), n = [`$`(1 .. nmax)]), insequence = true)); -1...
`:=`(pf, animate(plot, [f(x), x = a .. b], n = [`$`(1 .. nmax)], frames = nmax)); -1; `:=`(pe, display(seq(plot(Elist[n], color = blue, numpoints = 500), n = [`$`(1 .. nmax)]), insequence = true)); -1...
 

Jacobi expansion 

 

 

 

   Enter the parameters 

     of the polynomials  

 

`>`(alpha, -1):  alpha=Embedded component 

`>`(beta, -1):  beta=Embedded component 

  • If alpha then the procedure returns Legendre polynomials expansion.
 

  • If alpha then the procedure returns Chebyshev first kind polynomials (functions) expansion.
 

  • If alpha then the procedure returns Chebyshev second kind polynomials (functions) expansion.
 

  • If alphathen the procedure returns Gegenbauer polynomials (functions) expansion.
 

  • Otherwise the procedure returns Jacobi polynomials (functions) expansion.
 

> `:=`(alpha, DocumentTools:-Do(%TextArea4)); -1; `:=`(beta, DocumentTools:-Do(%TextArea5)); -1
 

Jacobi polynomials expansion 

                                      List of the expansions evaluation 

> `:=`(Elist, JacobiE(f(x), x = a .. b, nmax, alpha, beta)); -1
 

                                      Animation of expansions 

> `:=`(pf, animate(plot, [f(x), x = a .. b], n = [`$`(1 .. nmax)], frames = nmax)); -1; `:=`(pe, display(seq(plot(Elist[n], color = blue, numpoints = 500), n = [`$`(1 .. nmax)]), insequence = true)); -1...
`:=`(pf, animate(plot, [f(x), x = a .. b], n = [`$`(1 .. nmax)], frames = nmax)); -1; `:=`(pe, display(seq(plot(Elist[n], color = blue, numpoints = 500), n = [`$`(1 .. nmax)]), insequence = true)); -1...
`:=`(pf, animate(plot, [f(x), x = a .. b], n = [`$`(1 .. nmax)], frames = nmax)); -1; `:=`(pe, display(seq(plot(Elist[n], color = blue, numpoints = 500), n = [`$`(1 .. nmax)]), insequence = true)); -1...
`:=`(pf, animate(plot, [f(x), x = a .. b], n = [`$`(1 .. nmax)], frames = nmax)); -1; `:=`(pe, display(seq(plot(Elist[n], color = blue, numpoints = 500), n = [`$`(1 .. nmax)]), insequence = true)); -1...
 

Jacobi functions expansion 

                                      List of the expansions evaluation 

> `:=`(Elist, JacobiFE(f(x), x = a .. b, nmax, alpha, beta)); -1
 

                                      Animation of expansions 

> `:=`(pf, animate(plot, [f(x), x = a .. b], n = [`$`(1 .. nmax)], frames = nmax)); -1; `:=`(pe, display(seq(plot(Elist[n], color = blue, numpoints = 500), n = [`$`(1 .. nmax)]), insequence = true)); -1...
`:=`(pf, animate(plot, [f(x), x = a .. b], n = [`$`(1 .. nmax)], frames = nmax)); -1; `:=`(pe, display(seq(plot(Elist[n], color = blue, numpoints = 500), n = [`$`(1 .. nmax)]), insequence = true)); -1...
`:=`(pf, animate(plot, [f(x), x = a .. b], n = [`$`(1 .. nmax)], frames = nmax)); -1; `:=`(pe, display(seq(plot(Elist[n], color = blue, numpoints = 500), n = [`$`(1 .. nmax)]), insequence = true)); -1...
`:=`(pf, animate(plot, [f(x), x = a .. b], n = [`$`(1 .. nmax)], frames = nmax)); -1; `:=`(pe, display(seq(plot(Elist[n], color = blue, numpoints = 500), n = [`$`(1 .. nmax)]), insequence = true)); -1...
 

>
 

Rect expansion 

                     List of the expansions evaluation 

> `:=`(Elist, RectE(f(x), x = a .. b, nmax)); -1
 

                                      Animation of expansions 

> `:=`(pf, animate(plot, [f(x), x = a .. b], n = [`$`(1 .. nmax)], frames = nmax)); -1; `:=`(pe, display(seq(plot(Elist[n], color = blue, numpoints = 1000), n = [`$`(1 .. nmax)]), insequence = true)); -...
`:=`(pf, animate(plot, [f(x), x = a .. b], n = [`$`(1 .. nmax)], frames = nmax)); -1; `:=`(pe, display(seq(plot(Elist[n], color = blue, numpoints = 1000), n = [`$`(1 .. nmax)]), insequence = true)); -...
`:=`(pf, animate(plot, [f(x), x = a .. b], n = [`$`(1 .. nmax)], frames = nmax)); -1; `:=`(pe, display(seq(plot(Elist[n], color = blue, numpoints = 1000), n = [`$`(1 .. nmax)]), insequence = true)); -...
 

Haar expansion 

                                      List of the expansions evaluation 

> `:=`(Elist, HaarE(f(x), x = a .. b, nmax)); -1
 

                                      Animation of expansions 

> `:=`(pf, animate(plot, [f(x), x = a .. b], n = [`$`(1 .. nmax)], frames = nmax)); -1; `:=`(pe, display(seq(plot(Elist[n], color = blue, numpoints = 1000), n = [`$`(1 .. nmax)]), insequence = true)); -...
`:=`(pf, animate(plot, [f(x), x = a .. b], n = [`$`(1 .. nmax)], frames = nmax)); -1; `:=`(pe, display(seq(plot(Elist[n], color = blue, numpoints = 1000), n = [`$`(1 .. nmax)]), insequence = true)); -...
`:=`(pf, animate(plot, [f(x), x = a .. b], n = [`$`(1 .. nmax)], frames = nmax)); -1; `:=`(pe, display(seq(plot(Elist[n], color = blue, numpoints = 1000), n = [`$`(1 .. nmax)]), insequence = true)); -...
 

Walsh expansion 

                                    List of the expansions evaluation 

> `:=`(Elist, WalshE(f(x), x = a .. b, nmax)); -1
 

                                      Animation of expansions 

> `:=`(pf, animate(plot, [f(x), x = a .. b], n = [`$`(1 .. nmax)], frames = nmax)); -1; `:=`(pe, display(seq(plot(Elist[n], color = blue, numpoints = 1000), n = [`$`(1 .. nmax)]), insequence = true)); -...
`:=`(pf, animate(plot, [f(x), x = a .. b], n = [`$`(1 .. nmax)], frames = nmax)); -1; `:=`(pe, display(seq(plot(Elist[n], color = blue, numpoints = 1000), n = [`$`(1 .. nmax)]), insequence = true)); -...
`:=`(pf, animate(plot, [f(x), x = a .. b], n = [`$`(1 .. nmax)], frames = nmax)); -1; `:=`(pe, display(seq(plot(Elist[n], color = blue, numpoints = 1000), n = [`$`(1 .. nmax)]), insequence = true)); -...
 

Slant expansion 

                                    List of the expansions evaluation 

> `:=`(Elist, SlantE(f(x), x = a .. b, nmax)); -1
 

                                      Animation of expansions 

> `:=`(pf, animate(plot, [f(x), x = a .. b], n = [`$`(1 .. nmax)], frames = nmax)); -1; `:=`(pe, display(seq(plot(Elist[n], color = blue, numpoints = 500), n = [`$`(1 .. nmax)]), insequence = true)); -1...
`:=`(pf, animate(plot, [f(x), x = a .. b], n = [`$`(1 .. nmax)], frames = nmax)); -1; `:=`(pe, display(seq(plot(Elist[n], color = blue, numpoints = 500), n = [`$`(1 .. nmax)]), insequence = true)); -1...
`:=`(pf, animate(plot, [f(x), x = a .. b], n = [`$`(1 .. nmax)], frames = nmax)); -1; `:=`(pe, display(seq(plot(Elist[n], color = blue, numpoints = 500), n = [`$`(1 .. nmax)]), insequence = true)); -1...
 

Piece-Linear-Quadratic expansion 

                                    List of the expansions evaluation 

> `:=`(Elist, PieceLQE(f(x), x = a .. b, nmax)); -1
 

                                      Animation of expansions 

> `:=`(pf, animate(plot, [f(x), x = a .. b], n = [`$`(1 .. nmax)], frames = nmax)); -1; `:=`(pe, display(seq(plot(Elist[n], color = blue, numpoints = 500), n = [`$`(1 .. nmax)]), insequence = true)); -1...
`:=`(pf, animate(plot, [f(x), x = a .. b], n = [`$`(1 .. nmax)], frames = nmax)); -1; `:=`(pe, display(seq(plot(Elist[n], color = blue, numpoints = 500), n = [`$`(1 .. nmax)]), insequence = true)); -1...
`:=`(pf, animate(plot, [f(x), x = a .. b], n = [`$`(1 .. nmax)], frames = nmax)); -1; `:=`(pe, display(seq(plot(Elist[n], color = blue, numpoints = 500), n = [`$`(1 .. nmax)]), insequence = true)); -1...
 

Generalized Laguerre expansion on  

                                 Functions for expansion: 

> `:=`(f1, proc (x) options operator, arrow; exp(`+`(`-`(abs(x)))) end proc); -1; `:=`(f2, proc (x) options operator, arrow; `*`(x, `*`(exp(`+`(`-`(`*`(`/`(1, 2), `*`(`^`(x, 2)))))))) end proc); -1; `:=...
 

 

Enter maximal number of expansion terms:          n[max]=Embedded component 

Enter interval for expansion from a to infinity:                  a=Embedded component  

Enter scale parameter (d>0):                                       d=Embedded component  

Enter the parameters of the polynomials `>`(alpha, -1):  alpha=Embedded component 

( if alpha then the procedure returns 

  Laguerre polynomials (functions) expansion) 

 

Select function for expansion: 

 exp(-|x|)                      Rayleigh distribution          exp(-|x|) cos(2x) 

 Embedded component      Embedded component      Embedded component   

 

                                         Reading  of the selected parameters 

> `:=`(nmax, DocumentTools:-Do(%TextArea6)); -1; `:=`(a, DocumentTools:-Do(%TextArea7)); -1; `:=`(d, DocumentTools:-Do(%TextArea12)); -1; `:=`(alpha, DocumentTools:-Do(%TextArea8)); -1; if DocumentTools...
`:=`(nmax, DocumentTools:-Do(%TextArea6)); -1; `:=`(a, DocumentTools:-Do(%TextArea7)); -1; `:=`(d, DocumentTools:-Do(%TextArea12)); -1; `:=`(alpha, DocumentTools:-Do(%TextArea8)); -1; if DocumentTools...
`:=`(nmax, DocumentTools:-Do(%TextArea6)); -1; `:=`(a, DocumentTools:-Do(%TextArea7)); -1; `:=`(d, DocumentTools:-Do(%TextArea12)); -1; `:=`(alpha, DocumentTools:-Do(%TextArea8)); -1; if DocumentTools...
`:=`(nmax, DocumentTools:-Do(%TextArea6)); -1; `:=`(a, DocumentTools:-Do(%TextArea7)); -1; `:=`(d, DocumentTools:-Do(%TextArea12)); -1; `:=`(alpha, DocumentTools:-Do(%TextArea8)); -1; if DocumentTools...
`:=`(nmax, DocumentTools:-Do(%TextArea6)); -1; `:=`(a, DocumentTools:-Do(%TextArea7)); -1; `:=`(d, DocumentTools:-Do(%TextArea12)); -1; `:=`(alpha, DocumentTools:-Do(%TextArea8)); -1; if DocumentTools...
`:=`(nmax, DocumentTools:-Do(%TextArea6)); -1; `:=`(a, DocumentTools:-Do(%TextArea7)); -1; `:=`(d, DocumentTools:-Do(%TextArea12)); -1; `:=`(alpha, DocumentTools:-Do(%TextArea8)); -1; if DocumentTools...
`:=`(nmax, DocumentTools:-Do(%TextArea6)); -1; `:=`(a, DocumentTools:-Do(%TextArea7)); -1; `:=`(d, DocumentTools:-Do(%TextArea12)); -1; `:=`(alpha, DocumentTools:-Do(%TextArea8)); -1; if DocumentTools...
`:=`(nmax, DocumentTools:-Do(%TextArea6)); -1; `:=`(a, DocumentTools:-Do(%TextArea7)); -1; `:=`(d, DocumentTools:-Do(%TextArea12)); -1; `:=`(alpha, DocumentTools:-Do(%TextArea8)); -1; if DocumentTools...
 

Generalized Laguerre polynomials expansion 

                                       List of the expansions evaluation 

> `:=`(Elist, LaguerreE(f(x), x, a, d, nmax, alpha)); -1
 

                                      Animation of expansions 

> `:=`(pf, animate(plot, [f(x), x = a .. 6], n = [`$`(1 .. nmax)], frames = nmax)); -1; `:=`(pe, display(seq(plot(Elist[n], color = blue, numpoints = 500), n = [`$`(1 .. nmax)]), insequence = true)); -1...
`:=`(pf, animate(plot, [f(x), x = a .. 6], n = [`$`(1 .. nmax)], frames = nmax)); -1; `:=`(pe, display(seq(plot(Elist[n], color = blue, numpoints = 500), n = [`$`(1 .. nmax)]), insequence = true)); -1...
`:=`(pf, animate(plot, [f(x), x = a .. 6], n = [`$`(1 .. nmax)], frames = nmax)); -1; `:=`(pe, display(seq(plot(Elist[n], color = blue, numpoints = 500), n = [`$`(1 .. nmax)]), insequence = true)); -1...
`:=`(pf, animate(plot, [f(x), x = a .. 6], n = [`$`(1 .. nmax)], frames = nmax)); -1; `:=`(pe, display(seq(plot(Elist[n], color = blue, numpoints = 500), n = [`$`(1 .. nmax)]), insequence = true)); -1...
 

Generalized Laguerre functions expansion 

                                       List of the expansions evaluation 

> `:=`(Elist, LaguerreFE(f(x), x, a, d, nmax, alpha)); -1
 

                                      Animation of expansions 

> `:=`(pf, animate(plot, [f(x), x = a .. 6], n = [`$`(1 .. nmax)], frames = nmax)); -1; `:=`(pe, display(seq(plot(Elist[n], color = blue, numpoints = 500), n = [`$`(1 .. nmax)]), insequence = true)); -1...
`:=`(pf, animate(plot, [f(x), x = a .. 6], n = [`$`(1 .. nmax)], frames = nmax)); -1; `:=`(pe, display(seq(plot(Elist[n], color = blue, numpoints = 500), n = [`$`(1 .. nmax)]), insequence = true)); -1...
`:=`(pf, animate(plot, [f(x), x = a .. 6], n = [`$`(1 .. nmax)], frames = nmax)); -1; `:=`(pe, display(seq(plot(Elist[n], color = blue, numpoints = 500), n = [`$`(1 .. nmax)]), insequence = true)); -1...
`:=`(pf, animate(plot, [f(x), x = a .. 6], n = [`$`(1 .. nmax)], frames = nmax)); -1; `:=`(pe, display(seq(plot(Elist[n], color = blue, numpoints = 500), n = [`$`(1 .. nmax)]), insequence = true)); -1...
 

>
 

Hermite expansion on interval `+`(`-`(infinity)) .. infinity 

                                 Functions for expansion: 

> `:=`(f1, proc (x) options operator, arrow; piecewise(`<=`(x, 0), exp(`+`(`-`(abs(x)))), `<`(0, x), exp(`+`(`-`(`*`(3, `*`(abs(x))))))) end proc); -1; `:=`(f2, proc (x) options operator, arrow; `*`(x, ...
 

 

Enter maximal number of expansion terms:  n[max]=Embedded component 

Enter shift parameter:                                            a=Embedded component  

Enter scale parameter (d>0):                                d=Embedded component  

 

Select function for expansion: 

  Skewness exponent                    x exp(-x^2/2)               exp(-|x|) cos(2x) 

 Embedded component      Embedded component      Embedded component   

 

                                         Reading  of the selected parameters 

> `:=`(nmax, DocumentTools:-Do(%TextArea9)); -1; `:=`(a, DocumentTools:-Do(%TextArea13)); -1; `:=`(d, DocumentTools:-Do(%TextArea14)); -1; if DocumentTools:-Do(%RadioButton7) then `:=`(f, f1) elif Docum...
`:=`(nmax, DocumentTools:-Do(%TextArea9)); -1; `:=`(a, DocumentTools:-Do(%TextArea13)); -1; `:=`(d, DocumentTools:-Do(%TextArea14)); -1; if DocumentTools:-Do(%RadioButton7) then `:=`(f, f1) elif Docum...
`:=`(nmax, DocumentTools:-Do(%TextArea9)); -1; `:=`(a, DocumentTools:-Do(%TextArea13)); -1; `:=`(d, DocumentTools:-Do(%TextArea14)); -1; if DocumentTools:-Do(%RadioButton7) then `:=`(f, f1) elif Docum...
`:=`(nmax, DocumentTools:-Do(%TextArea9)); -1; `:=`(a, DocumentTools:-Do(%TextArea13)); -1; `:=`(d, DocumentTools:-Do(%TextArea14)); -1; if DocumentTools:-Do(%RadioButton7) then `:=`(f, f1) elif Docum...
`:=`(nmax, DocumentTools:-Do(%TextArea9)); -1; `:=`(a, DocumentTools:-Do(%TextArea13)); -1; `:=`(d, DocumentTools:-Do(%TextArea14)); -1; if DocumentTools:-Do(%RadioButton7) then `:=`(f, f1) elif Docum...
`:=`(nmax, DocumentTools:-Do(%TextArea9)); -1; `:=`(a, DocumentTools:-Do(%TextArea13)); -1; `:=`(d, DocumentTools:-Do(%TextArea14)); -1; if DocumentTools:-Do(%RadioButton7) then `:=`(f, f1) elif Docum...
`:=`(nmax, DocumentTools:-Do(%TextArea9)); -1; `:=`(a, DocumentTools:-Do(%TextArea13)); -1; `:=`(d, DocumentTools:-Do(%TextArea14)); -1; if DocumentTools:-Do(%RadioButton7) then `:=`(f, f1) elif Docum...
 

Hermite polynomials expansion 

                                     List of the expansions evaluation 

> `:=`(Elist, HermiteE(f(x), x, a, d, nmax)); -1
 

                                      Animation of expansions 

> `:=`(pf, animate(plot, [f(x), x = -6 .. 6], n = [`$`(1 .. nmax)], frames = nmax)); -1; `:=`(pe, display(seq(plot(Elist[n], color = blue, numpoints = 500), n = [`$`(1 .. nmax)]), insequence = true)); -...
`:=`(pf, animate(plot, [f(x), x = -6 .. 6], n = [`$`(1 .. nmax)], frames = nmax)); -1; `:=`(pe, display(seq(plot(Elist[n], color = blue, numpoints = 500), n = [`$`(1 .. nmax)]), insequence = true)); -...
`:=`(pf, animate(plot, [f(x), x = -6 .. 6], n = [`$`(1 .. nmax)], frames = nmax)); -1; `:=`(pe, display(seq(plot(Elist[n], color = blue, numpoints = 500), n = [`$`(1 .. nmax)]), insequence = true)); -...
`:=`(pf, animate(plot, [f(x), x = -6 .. 6], n = [`$`(1 .. nmax)], frames = nmax)); -1; `:=`(pe, display(seq(plot(Elist[n], color = blue, numpoints = 500), n = [`$`(1 .. nmax)]), insequence = true)); -...
 

Hermite functions expansion 

> `:=`(Elist, HermiteFE(f(x), x, a, d, nmax)); -1
 

                                      Animation of expansions 

> `:=`(pf, animate(plot, [f(x), x = -6 .. 6], n = [`$`(1 .. nmax)], frames = nmax)); -1; `:=`(pe, display(seq(plot(Elist[n], color = blue, numpoints = 500), n = [`$`(1 .. nmax)]), insequence = true)); -...
`:=`(pf, animate(plot, [f(x), x = -6 .. 6], n = [`$`(1 .. nmax)], frames = nmax)); -1; `:=`(pe, display(seq(plot(Elist[n], color = blue, numpoints = 500), n = [`$`(1 .. nmax)]), insequence = true)); -...
`:=`(pf, animate(plot, [f(x), x = -6 .. 6], n = [`$`(1 .. nmax)], frames = nmax)); -1; `:=`(pe, display(seq(plot(Elist[n], color = blue, numpoints = 500), n = [`$`(1 .. nmax)]), insequence = true)); -...
`:=`(pf, animate(plot, [f(x), x = -6 .. 6], n = [`$`(1 .. nmax)], frames = nmax)); -1; `:=`(pe, display(seq(plot(Elist[n], color = blue, numpoints = 500), n = [`$`(1 .. nmax)]), insequence = true)); -...
 

 

>
 

Orthogonal Rational expansion on interval `+`(`-`(infinity)) .. infinity 

                                 Functions for expansion: 

> `:=`(f1, proc (x) options operator, arrow; piecewise(`<=`(x, 0), exp(`+`(`-`(abs(x)))), `<`(0, x), exp(`+`(`-`(`*`(3, `*`(abs(x))))))) end proc); -1; `:=`(f2, proc (x) options operator, arrow; `*`(x, ...
 

 

Enter maximal number of expansion terms:  n[max]=Embedded component 

Enter shift parameter:                                            a=Embedded component  

Enter scale parameter (d>0):                                d=Embedded component  

 

Select function for expansion: 

  Skewness exponent       x exp(-x^2/2)             exp(-|x|) cos(2x) 

 Embedded component      Embedded component      Embedded component   

 

                                         Reading  of the selected parameters 

> `:=`(nmax, DocumentTools:-Do(%TextArea20)); -1; `:=`(a, DocumentTools:-Do(%TextArea21)); -1; `:=`(d, DocumentTools:-Do(%TextArea22)); -1; if DocumentTools:-Do(%RadioButton16) then `:=`(f, f1) elif Doc...
`:=`(nmax, DocumentTools:-Do(%TextArea20)); -1; `:=`(a, DocumentTools:-Do(%TextArea21)); -1; `:=`(d, DocumentTools:-Do(%TextArea22)); -1; if DocumentTools:-Do(%RadioButton16) then `:=`(f, f1) elif Doc...
`:=`(nmax, DocumentTools:-Do(%TextArea20)); -1; `:=`(a, DocumentTools:-Do(%TextArea21)); -1; `:=`(d, DocumentTools:-Do(%TextArea22)); -1; if DocumentTools:-Do(%RadioButton16) then `:=`(f, f1) elif Doc...
`:=`(nmax, DocumentTools:-Do(%TextArea20)); -1; `:=`(a, DocumentTools:-Do(%TextArea21)); -1; `:=`(d, DocumentTools:-Do(%TextArea22)); -1; if DocumentTools:-Do(%RadioButton16) then `:=`(f, f1) elif Doc...
`:=`(nmax, DocumentTools:-Do(%TextArea20)); -1; `:=`(a, DocumentTools:-Do(%TextArea21)); -1; `:=`(d, DocumentTools:-Do(%TextArea22)); -1; if DocumentTools:-Do(%RadioButton16) then `:=`(f, f1) elif Doc...
`:=`(nmax, DocumentTools:-Do(%TextArea20)); -1; `:=`(a, DocumentTools:-Do(%TextArea21)); -1; `:=`(d, DocumentTools:-Do(%TextArea22)); -1; if DocumentTools:-Do(%RadioButton16) then `:=`(f, f1) elif Doc...
`:=`(nmax, DocumentTools:-Do(%TextArea20)); -1; `:=`(a, DocumentTools:-Do(%TextArea21)); -1; `:=`(d, DocumentTools:-Do(%TextArea22)); -1; if DocumentTools:-Do(%RadioButton16) then `:=`(f, f1) elif Doc...
 

                                       List of the expansions evaluation 

> `:=`(Elist, RatE(f(x), x, a, d, nmax)); -1
 

                                      Animation of expansions 

> `:=`(pf, animate(plot, [f(x), x = -6 .. 6], n = [`$`(1 .. nmax)], frames = nmax)); -1; `:=`(pe, display(seq(plot(Elist[n], color = blue, numpoints = 500), n = [`$`(1 .. nmax)]), insequence = true)); -...
`:=`(pf, animate(plot, [f(x), x = -6 .. 6], n = [`$`(1 .. nmax)], frames = nmax)); -1; `:=`(pe, display(seq(plot(Elist[n], color = blue, numpoints = 500), n = [`$`(1 .. nmax)]), insequence = true)); -...
`:=`(pf, animate(plot, [f(x), x = -6 .. 6], n = [`$`(1 .. nmax)], frames = nmax)); -1; `:=`(pe, display(seq(plot(Elist[n], color = blue, numpoints = 500), n = [`$`(1 .. nmax)]), insequence = true)); -...
 

Generalized sinc expansion on interval `+`(`-`(infinity)) .. infinity 

                                 Functions for expansion: 

> `:=`(f1, proc (x) options operator, arrow; exp(`+`(`-`(`*`(2, `*`(abs(x)))))) end proc); -1; `:=`(f2, proc (x) options operator, arrow; `+`(`*`(4, `*`(x, `*`(exp(`+`(`-`(`*`(2, `*`(abs(x)))))))))) end...
 

 

Enter maximal number of expansion terms:  n[max]=Embedded component 

Enter shift parameter:                                            a=Embedded component  

Enter scale parameter (d>0):                                d=Embedded component  

Enter rolloff factor (m∈):                                  m=Embedded component  

If m=1 then the procedure returns sinc expansion
(
Whittaker-Shannon-Kotelnikov series expansion). 

If m=2 or m=3 the expansions is not orthogonal. 

 

Select function for expansion: 

 exp(-|x|)                       4 x exp(-2 |x|)               exp(-|x|) cos(2x) 

 Embedded component      Embedded component      Embedded component   

 

                                         Reading  of the selected parameters 

> `:=`(nmax, DocumentTools:-Do(%TextArea10)); -1; `:=`(a, DocumentTools:-Do(%TextArea15)); -1; `:=`(d, DocumentTools:-Do(%TextArea16)); -1; `:=`(m, DocumentTools:-Do(%TextArea23)); -1; if DocumentTools:...
`:=`(nmax, DocumentTools:-Do(%TextArea10)); -1; `:=`(a, DocumentTools:-Do(%TextArea15)); -1; `:=`(d, DocumentTools:-Do(%TextArea16)); -1; `:=`(m, DocumentTools:-Do(%TextArea23)); -1; if DocumentTools:...
`:=`(nmax, DocumentTools:-Do(%TextArea10)); -1; `:=`(a, DocumentTools:-Do(%TextArea15)); -1; `:=`(d, DocumentTools:-Do(%TextArea16)); -1; `:=`(m, DocumentTools:-Do(%TextArea23)); -1; if DocumentTools:...
`:=`(nmax, DocumentTools:-Do(%TextArea10)); -1; `:=`(a, DocumentTools:-Do(%TextArea15)); -1; `:=`(d, DocumentTools:-Do(%TextArea16)); -1; `:=`(m, DocumentTools:-Do(%TextArea23)); -1; if DocumentTools:...
`:=`(nmax, DocumentTools:-Do(%TextArea10)); -1; `:=`(a, DocumentTools:-Do(%TextArea15)); -1; `:=`(d, DocumentTools:-Do(%TextArea16)); -1; `:=`(m, DocumentTools:-Do(%TextArea23)); -1; if DocumentTools:...
`:=`(nmax, DocumentTools:-Do(%TextArea10)); -1; `:=`(a, DocumentTools:-Do(%TextArea15)); -1; `:=`(d, DocumentTools:-Do(%TextArea16)); -1; `:=`(m, DocumentTools:-Do(%TextArea23)); -1; if DocumentTools:...
`:=`(nmax, DocumentTools:-Do(%TextArea10)); -1; `:=`(a, DocumentTools:-Do(%TextArea15)); -1; `:=`(d, DocumentTools:-Do(%TextArea16)); -1; `:=`(m, DocumentTools:-Do(%TextArea23)); -1; if DocumentTools:...
`:=`(nmax, DocumentTools:-Do(%TextArea10)); -1; `:=`(a, DocumentTools:-Do(%TextArea15)); -1; `:=`(d, DocumentTools:-Do(%TextArea16)); -1; `:=`(m, DocumentTools:-Do(%TextArea23)); -1; if DocumentTools:...
 

                                       List of the expansions evaluation 

> `:=`(Elist, GsincE(f(x), x, a, d, m, nmax)); -1
 

                                      Animation of expansions 

> `:=`(pf, animate(plot, [f(x), x = -6 .. 6], n = [`$`(1 .. nmax)], frames = nmax)); -1; `:=`(pe, display(seq(plot(Elist[n], color = blue, numpoints = 500), n = [`$`(1 .. nmax)]), insequence = true)); -...
`:=`(pf, animate(plot, [f(x), x = -6 .. 6], n = [`$`(1 .. nmax)], frames = nmax)); -1; `:=`(pe, display(seq(plot(Elist[n], color = blue, numpoints = 500), n = [`$`(1 .. nmax)]), insequence = true)); -...
`:=`(pf, animate(plot, [f(x), x = -6 .. 6], n = [`$`(1 .. nmax)], frames = nmax)); -1; `:=`(pe, display(seq(plot(Elist[n], color = blue, numpoints = 500), n = [`$`(1 .. nmax)]), insequence = true)); -...
 

Sinc Wavelets expansion on interval `+`(`-`(infinity)) .. infinity 

                                 Functions for expansion: 

> `:=`(f1, proc (x) options operator, arrow; exp(`+`(`-`(abs(x)))) end proc); -1; `:=`(f2, proc (x) options operator, arrow; `+`(`*`(4, `*`(x, `*`(exp(`+`(`-`(`*`(2, `*`(abs(x)))))))))) end proc); -1; `...
 

 

Enter maximal number of expansion terms:  n[max]=Embedded component 

Enter initial shift parameter:                                  a=Embedded component  

Enter initial scale parameter (d>0):                      d=Embedded component  

 

Select function for expansion: 

 exp(-|x|)                       4 x exp(-2 |x|)               exp(-|x|) cos(2x) 

 Embedded component      Embedded component      Embedded component   

 

                                         Reading  of the selected parameters 

> `:=`(nmax, DocumentTools:-Do(%TextArea11)); -1; `:=`(a, DocumentTools:-Do(%TextArea17)); -1; `:=`(d, DocumentTools:-Do(%TextArea18)); -1; if DocumentTools:-Do(%RadioButton13) then `:=`(f, f1) elif Doc...
`:=`(nmax, DocumentTools:-Do(%TextArea11)); -1; `:=`(a, DocumentTools:-Do(%TextArea17)); -1; `:=`(d, DocumentTools:-Do(%TextArea18)); -1; if DocumentTools:-Do(%RadioButton13) then `:=`(f, f1) elif Doc...
`:=`(nmax, DocumentTools:-Do(%TextArea11)); -1; `:=`(a, DocumentTools:-Do(%TextArea17)); -1; `:=`(d, DocumentTools:-Do(%TextArea18)); -1; if DocumentTools:-Do(%RadioButton13) then `:=`(f, f1) elif Doc...
`:=`(nmax, DocumentTools:-Do(%TextArea11)); -1; `:=`(a, DocumentTools:-Do(%TextArea17)); -1; `:=`(d, DocumentTools:-Do(%TextArea18)); -1; if DocumentTools:-Do(%RadioButton13) then `:=`(f, f1) elif Doc...
`:=`(nmax, DocumentTools:-Do(%TextArea11)); -1; `:=`(a, DocumentTools:-Do(%TextArea17)); -1; `:=`(d, DocumentTools:-Do(%TextArea18)); -1; if DocumentTools:-Do(%RadioButton13) then `:=`(f, f1) elif Doc...
`:=`(nmax, DocumentTools:-Do(%TextArea11)); -1; `:=`(a, DocumentTools:-Do(%TextArea17)); -1; `:=`(d, DocumentTools:-Do(%TextArea18)); -1; if DocumentTools:-Do(%RadioButton13) then `:=`(f, f1) elif Doc...
`:=`(nmax, DocumentTools:-Do(%TextArea11)); -1; `:=`(a, DocumentTools:-Do(%TextArea17)); -1; `:=`(d, DocumentTools:-Do(%TextArea18)); -1; if DocumentTools:-Do(%RadioButton13) then `:=`(f, f1) elif Doc...
 

                                       List of the expansions evaluation 

> `:=`(Elist, SincwaveE(f(x), x, a, d, nmax)); -1
 

                                      Animation of expansions 

> `:=`(pf, animate(plot, [f(x), x = -6 .. 6], n = [`$`(1 .. nmax)], frames = nmax)); -1; `:=`(pe, display(seq(plot(Elist[n], color = blue, numpoints = 500), n = [`$`(1 .. nmax)]), insequence = true)); -...
`:=`(pf, animate(plot, [f(x), x = -6 .. 6], n = [`$`(1 .. nmax)], frames = nmax)); -1; `:=`(pe, display(seq(plot(Elist[n], color = blue, numpoints = 500), n = [`$`(1 .. nmax)]), insequence = true)); -...
`:=`(pf, animate(plot, [f(x), x = -6 .. 6], n = [`$`(1 .. nmax)], frames = nmax)); -1; `:=`(pe, display(seq(plot(Elist[n], color = blue, numpoints = 500), n = [`$`(1 .. nmax)]), insequence = true)); -...
 

>
 

 

Legal Notice: The copyright for this application is owned by the author. Neither Maplesoft nor the author are responsible for any errors contained within and are not liable for any damages resulting from the use of this material. This application is intended for non-commercial, non-profit use only. Contact the author for permission if you wish to use this application in for-profit activities. 

Image