Do not display this message again
Close window
Application Center - Maplesoft
お問合せ
見積もり依頼
製品
Maple
シンプルな操作性の高度数学ソフトウェア
• 教育機関向け Maple
• 学生向け Maple
• Maple Learn
• Maple Calculator App
• 企業及び官公庁向け Maple
• 個人利用向け Maple
Maple Add-Ons
• 学生向けEブック & 学習ガイド
• Maple ツールボックス
• MapleNet
• 無償版 Maple Player
Math Success Platform
定着率の向上
Maple Flow
Engineering calculations & documentation
• Maple Flow
• Maple Flow Migration Assistant
MapleSim
先進的なシステムレベルモデリング
• MapleSim
• MapleSim for Web Converting Systems
• デジタルツイン向け MapleSim
• 教育利用向け MapleSim
• アドオンのコンポーネントライブラリ
• MapleSim Insight
コンサルティングサービス
• エンジニアリングサービス
• トレーニング
• Turnkey Solutions
オンライン教育製品
Maple T.A. や Möbius をお探しですか?
Maplesoft のテクノロジーパートナーである DigitalEd が、これらの製品を提供しています。詳しくはこちらをご覧ください。
ソリューション
教育利用
• 数学教育
• 工学教育
• 高等学校・専門学校
• 学生
• オンライン学習教材
産業分野
自動車及び航空宇宙
• 電気 & ハイブリッド自動車
• パワートレイン
• 車両運動
• 重機械
• 航空機システム
• 宇宙システム
ロボティクス
• ロボティクスリサーチ
• モーション制御/メカトロニクス
マシンデザイン
& 産業オートメーション
• マシンデザイン
• マニュファクチャリング
• 鉱業・石油生産設備
• ウェブハンドリング
その他
• 電力産業
• ファイナンス
• 医療機器
• ライフサイエンス
アプリケーション
• Power Systems Engineering
• 電気・電子系エンジニアのためのMaple
• 機械系エンジニアのためのMaple
• システムシミュレーション & 解析
• バーチャルコミッショニング
• バッテリモデリング
• 伝熱モデリング
• メカニズム動解析
• 計算マネジメント
• HIL 向けモデル開発
• 振動解析
購入
製品価格
• Maple
• Maple Flow
• MapleSim
• アドオンとコネクタ
• 見積もり依頼
購入
• 今すぐ購入とダウンロード
• 最新版へアップグレード
• 営業問合せ
教育機関向け
学生ライセンス
• 仮想化
• 学生ライセンス & 配布オプション
Maplesoft Elite Maintenance (EMP)
• EMP の概要
• EMP に関するFAQ
サポート&リソース
サポート
• 技術サポート & カスタマーサービス
• よくあるご質問(FAQ
• 製品資料
• 製品アップデートのダウンロード
製品のトレーニング
• 学生向けヘルプセンター
• オンライン製品トレーニング
• オンサイトトレーニング
オンライン製品ヘルプ
• Mapleオンラインヘルプ
• MapleSim オンラインヘルプ
Webセミナー
& イベント
• ライブWebセミナー
• 録画 Web セミナー
• 今後のイベント
出版物
• テクニカルホワイトペーパー
• Eメールニュースレター
• Maple 関連書籍
• Math Matters(そこに在る数理)
コンテンツ Hub
• 教員向けリソースセンター
• 学生向けヘルプセンター
• オンライン学習教材
事例とアプリケーション
• Maple アプリケーションセンター
• MapleSim モデルギャラリー
• ユーザ事例
• 工学基礎の探求
• Maple を用いた教育利用のコンセプト
コミュニティ
• MaplePrimes
• MapleCloud
• Maple Conference
会社情報
Maplesoftについて
• 会社概要
• マネジメント
• カスタマー
• パートナーシップとOEM
メディアセンター
• メディアリリース
• ユーザ事例
• メディア掲載
ユーザコミュニティ
• MaplePrimes
• Maple アンバサダープログラム
• Maple Conference
お問合せ
• グローバルのお問合せ先詳細
• キャリア
Home
製品
Maple
Maple Add-Ons
Maple Learn
Maple Calculator App
Maple Flow
MapleSim
MapleSim Add-Ons
コンサルティングサービス
オンライン教育製品
ソリューション
教育利用
産業分野
アプリケーション領域
購入
製品価格
購入
教育機関向け学生ライセンス
Maplesoft Elite Maintenance (EMP)
サポート&リソース
サポート
製品のトレーニング
オンライン製品ヘルプ
Webセミナー & イベント
出版物
コンテンツ Hub
事例とアプリケーション
コミュニティ
会社情報
Maplesoftについて
メディアセンター
ユーザコミュニティ
お問合せ
Toggle navigation
Sign in
Register
Submit your work
Application Center
Authors
Profile
Edit Profile Picture
Roman Pearce
Member for 21 years, 7 months
0 Reputation
What is this?
1 Badges
What is this?
App Publisher
Roman Pearce has 3 apps in the Application Center
Showing the top 12.
View all
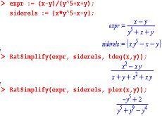
Simplification with Side Relations
Roman Pearce
3
Additional Functionality for PolynomialIdeals
Roman Pearce
2
Elliptic curve factoring method
Roman Pearce
4
cryptography
algorithm
number-theory
×
Reputation
Reputation is an indication of how other community members rate your input within MaplePrimes. When other members of MaplePrimes positively rate your content, your reputation increases.
For more details, visit
MaplePrimes
.
×
Badges
Badges are awarded for participation on a Maplesoft site, or for contributing content. For example, there is a badge awarded for submitting content to the Application Center, or for participating in the forums on
MaplePrimes
.