Binary Distillation with the McCabe-Thiele Method - Maple Help
For the best experience, we recommend viewing online help using Google Chrome or Mozilla Firefox.

Online Help

All Products    Maple    MapleSim


Home : Support : Online Help : Applications and Example Worksheets : Science and Engineering : Binary Distillation with the McCabe-Thiele Method

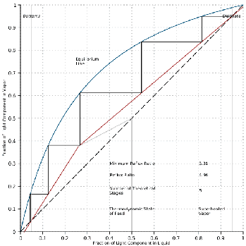
Binary Distillation with the McCabe-Thiele Method

Binary fractional distillation is a method of separating two liquid components by using a distillation column (which contains a number of trays, or stages). This application calculates the required number of theoretical stages by using the McCabe-Thiele method. It plots the classic McCabe-Thiele diagram and evaluates the minimum and actual reflux ratio, and the thermodynamic state of the feed.  

 

Operating Parameters

Mole Fraction of Light Component in Feed

Mole Fraction of Light Component in Distillate

Mole Fraction of Light Component in Bottoms

Reflux Ratio as a Multiple of Minimum Reflux Ratio

Thermodynamic State of Feed (q-value)

 

Relative Volatility of Binary Feed