CumulativeDistributionFunction - Maple Help
For the best experience, we recommend viewing online help using Google Chrome or Mozilla Firefox.

Online Help

All Products    Maple    MapleSim


Home : Support : Online Help : Education : Student Packages : Statistics : CumulativeDistributionFunction

Student[Statistics]

  

CumulativeDistributionFunction

  

compute the cumulative distribution function

  

CDF

  

compute the cumulative distribution function

 

Calling Sequence

Parameters

Description

Computation

Examples

References

Compatibility

Calling Sequence

CumulativeDistributionFunction(X, t, numeric_option, output_option, inert_option)

CDF(X, t, numeric_option, output_option, inert_option)

Parameters

X

-

algebraic; random variable

t

-

algebraic; point

numeric_option

-

(optional) equation of the form numeric=value where value is true or false

output_option

-

(optional) equation of the form output=x where x is value, plot, or both

inert_option

-

(optional) equation of the form inert=value where value is true or false

Description

• 

The CumulativeDistributionFunction function computes the cumulative distribution function of the specified random variable at the specified point.

• 

The first parameter can be a random variable or an algebraic expression involving random variables (see Student[Statistics][RandomVariable]).

• 

The inverse function of the CDF is the Quantile.

• 

If the option output is not included or is specified to be output=value, then the function will return the value of the cumulative density function of the specified random variable at the specified point. If output=plot is specified, then the function will return a plot of CDF(X,x) together with dash lines instructing the value at x = specified point. If output=both is specified, then both the value and the plot will be returned.

• 

If the option inert is not included or is specified to be inert=false, then the function will return the actual value of the result. If inert or inert=true is specified, then the function will return the formula of evaluating the actual value.

Computation

• 

By default, all computations involving random variables are performed symbolically (see option numeric below).

• 

If the second parameter is a floating point value or the option numeric is included, then the computation is done in floating point. Otherwise the computation is exact.

• 

By default, the CDF of the specified random variable at the specified point is computed according to the rules mentioned above. To always compute the value numerically, specify the numeric or numeric = true option.

Examples

withStudentStatistics:

Compute the cumulative distribution function of the beta random variable with parameters p and q.

CumulativeDistributionFunctionBetaRandomVariablep,q,t

0t<0tphypergeomp&comma;1q&comma;1+p&comma;tΒp&comma;qpt<11otherwise

(1)

Use numeric parameters.

CumulativeDistributionFunctionBetaRandomVariable3&comma;5&comma;12

35hypergeom−4&comma;3&comma;4&comma;128

(2)

CumulativeDistributionFunctionBetaRandomVariable3&comma;5&comma;12&comma;numeric

0.773437500000000

(3)

Define new random variable.

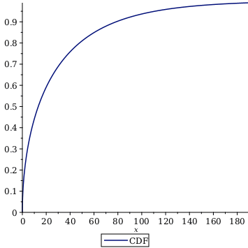
XNormalRandomVariable2&comma;52

X_R22

(4)

CDFX&comma;x

0x0erf2x10+252+erf2x102520<x

(5)

Use the inert option.

CDFX&comma;x&comma;inert

x0_t02&ExponentialE;_t+2250+&ExponentialE;_t225020_tπ0<_t&DifferentialD;_t

(6)

Use the output=plot option.

CDFX&comma;x&comma;output=plot

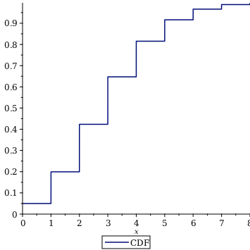
Consider the CDF of a discrete random variable and use the output=both option.

PPoissonRandomVariable3&colon;

cdf,graphCDFP&comma;x&comma;output=both&colon;

cdf

133max−1&comma;x3max−1&comma;x+1+33max−1&comma;xΓmax−1&comma;x+1&comma;33max−1&comma;x+1Γmax−1&comma;x+1

(7)

graph

References

  

Stuart, Alan, and Ord, Keith. Kendall's Advanced Theory of Statistics. 6th ed. London: Edward Arnold, 1998. Vol. 1: Distribution Theory.

Compatibility

• 

The Student[Statistics][CumulativeDistributionFunction] and Student[Statistics][CDF] commands were introduced in Maple 18.

• 

For more information on Maple 18 changes, see Updates in Maple 18.

See Also

Statistics[CDF]

Student

Student[Statistics]

Student[Statistics][RandomVariable]